
Физиология и гигиена летчика в экстремальных условиях
В заключение необходимо остановиться на возможных причинах существенных различий, полученных в наших исследованиях и в исследованиях А. Н. Ажаева с соавт. (Ажаев А. Н., Зорилэ В. И., 1980, Ажаев А. Н., Зорилэ В. И., 1988). Сравнительный анализ в качестве ведущих причин позволяет выделить следующие: 1) общая продолжительность загрузки испытателей решением задач операторского профиля, составившая 70–80% времени против 16–20% у А. Н. Ажаева с соавт. (Ажаев А. Н., Зорилэ В. И., 1980); 2) более интенсивное воздействие радиационного тепла в кабине разработанного нами стенда-тренажера РДМ-2 по сравнению с РСБК, что объясняется более чем 3–4-кратным различием расстояния нагретых металлических поверхностей от тела оператора; 3) различия в используемых комплектах одежды. В частности, использование в наших экспериментах защитного шлема (ЗШ) приводило к опережающему «дискомфорту» области головы, что в целом и явилось лимитирующим дальнейшее пребывание при 45°С и 60°С признаком, несмотря на различие по другим показателям теплового состояния. Неблагоприятное влияние ЗШ на функциональное состояние организма объясняется, по-нашему мнению, во-первых, отсутствием теплоотдачи за счет потоотделения с поверхности головы, способного отводить до 30% теплонакопления (Shvartz E., 1970), во-вторых, вторичным, в условиях существенного нагрева металлических частей ЗШ, радиационном излучении в непосредственной близости от волосистой части головы.
Таким образом, результаты проведенных исследований позволяют заключить, что при изученных уровнях температурных воздействий, характерных для условий микроклимата на рабочих местах летчиков возможно ухудшение психофизиологического состояния человека, определяющего его уровень работоспособности. Поэтому практически с первых минут пребывания в названных условиях следует ожидать ухудшение работоспособности летного состава, выполняющего полеты в жаркий период года.
Сравнительный анализ объективно регистрируемых параметров качества выполнения деятельности по отношению к значениям субъективной оценки испытателей степени ухудшения выполнения задач, свидетельствует о достоверности последней только в случае выраженного ухудшения работоспособности или самочувствия. Вследствие этого результаты анкетного опроса летчиков, если и можно использовать, то только как ориентировочные, так как в ряде случаев они часто были завышенными по отношению к реальным значениям.
Выявленные изменения в структуре психофизиологического состояния человека-оператора, подвергающегося воздействию высоких температур, обладают достаточной информативностью и, наряду с общепринятыми критериями теплового состояния, могут быть использованы при оценке средств индивидуальной защиты летчика от воздействия высоких температур, изыскания средств и методов прогноза тепловой устойчивости человека-оператора, определения эффективности методов повышения тепловой устойчивости человека-оператора. При этом, учитывая однотипный характер изменения психофизиологического и теплового состояния человека-оператора при обоих видах тепловых воздействий, в дальнейших исследованиях в качестве тестовой тепловой нагрузки мы сочли возможным использовать температуру, равную 60°С. Предпочтительность последней, наряду с ее достаточной информативностью, определяется меньшим временем необходимым для ее проведения, что имеет немаловажное значение при осуществлении массовых тестовых нагрузок. Большая эффективность апробированной нагрузки перед ранее используемыми положительными физическим нагрузками нашла достаточное подтверждение также при сравнительной оценке распределения тепла при пребывании испытателей в состоянии покоя.
Таким образом, результаты проведенных исследований позволяют заключить, что:
1) снижение работоспособности человека-оператора при температуре окружающей среды 45 и 60°С и влажности 10–15% отмечается при незначительных физиологических изменениях;
2) ведущим показателем снижения работоспособности при изученных микроклиматических условиях является превышение температуры кожных покровов над ректальной температурой, нарушающее баланс «температурного образа» интегративных систем организма человека-оператора;
3) выявленные изменения в структуре психофизиологического состояния человека-оператора обладают достаточной информативностью и наряду с общепринятыми критериями теплового состояния могут быть использованы в гигиене труда человека, работающего в условиях воздействия высоких температур.
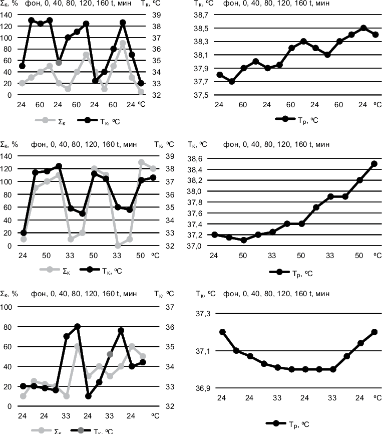
3.4. Определение влияния воздействия высоких температур на человека-оператора в интермиттирующем режиме
Данное направление исследований представляет научный и практический интерес. С научной точки зрения использование переменного выполнения работы в условиях высоких (50°С и 60°С) и комфортных (относительно дискомфортных температур – 33°С) могло бы объективизировать и более наглядно подтвердить или опровергнуть факт ухудшения качества выполнения деятельности в условиях воздействия высоких температур. С практической точки зрения в реальной авиационной практике наиболее часто встречается именно такой режим тепловой нагрузки на летный состав.
Исследования выполнены с участием 10 испытателей, проведено 3 серии исследований. В первой серии испытатели работали 3-кратно по 30 минут при температуре 24°С и 60°С, во второй – по 40 минут при 33°С и 50°С, в третьей – по 40 минут при 24°С и 33°С.
Результаты выполненных исследований суммированы на рис. 3.12.

Рисунок 3.12 – Динамика изменения средневзвешенной температуры кожи (Тк), ректальной температуры тела (Тр) и качества управления на тренажере (Σк) при интермиттирующем воздействии высоких температур различной направленности
На рисунке видно, что несмотря на относительно линейный прирост ректальной температуры во время работы при 24–60°С и 33–50°С и отсутствие такового при 24–33°С, динамика изменения качества деятельности практически полностью повторяет динамику изменения средневзвешенной температуры кожи. Так, переход из кабины, в которой поддерживались относительно комфортные условия, в условия тепловой нагрузки, равные 60°С, на фоне прироста средневзвешенной температуры кожи отмечается ухудшение точности пилотирования тренажером. После окончания выполнения деятельности в условиях 60°С и перехода в кабину, в которой температурные условия соответствовали 24°С, снижение температуры кожи сопровождалось практически полным восстановлением качества операторской деятельности. Ректальная температура после перегревания при 60°С в относительно комфортных условиях в течение 10–12 минут нарастала и затем в последующий 20-минутный период наблюдения снижалась до финальных значений пребывания в условиях воздействия высоких температур. Все сказанное свидетельствует о том, что и в этой серии исследований не подтвердилась зависимость точности выполнения операторской деятельности от уровня прироста ректальной температуры.
Исследования, выполненные при переменном режиме воздействия температур в диапазоне 33–50°С и 24–33°С привели к неожиданным результатам. В частности, материалы, полученные в обеих сериях исследования, свидетельствуют о том, что важна не конкретная цифра прироста температуры кожных покровов, а вектор изменения кожных температур.
Так, при переходе из комфортных условий в условия, соответствующие 50°С, качество деятельности как и в предшествующей серии исследований при 60°С повторяет динамику изменения средневзвешенной температуры кожи. Однако, если в предшествующей серии в 24°С последняя практически восстанавливалась до исходного уровня, то во второй серии при 33°С температура кожи не снижалась ниже 35°С, а работоспособность нормализовалась и даже улучшалась по сравнению с фоновыми данными.
Таким образом, результаты выполненных исследований подтвердили значимость изменения температуры кожных покровов для качественного выполнения операторской деятельности. При этом применительно к реальным условиям риск снижения точности пилотирования летчиком в большей степени вероятен при снижении и заходе на посадку, когда отмечается рост температуры в кабине летательного аппарата и, соответственно, температуры кожных покровов.
Глава 4. Установление дифференцированных нормативов температуры воздуха для кабин летательных аппаратов
Вопросы гигиенического нормирования факторов окружающей среды занимают ведущее место в профилактической медицине (Измеров Н. Ф., Капцов В. А., 1993, Измеров Н. Ф., Саноцкий И. В., 1976, Карнаух Н. Г., Шабленко С. М., 1983, Terano T., 1982).
В качестве основных методологических подходов при разработке гигиенических регламентов факторов производственной среды гигиенисты опираются на следующие принципы (Власов В. В. 1994, Кустов В. В., Тиунов Л. А., 1975, Методические рекомендации, 1983):
• пороговость действия всех факторов при соответствующих критериях вредности;
• установление безопасных уровней воздействия;
• ориентация на медицинские показатели, а не на техническую достижимость или экономическую целесообразность установления гигиенических нормативов;
• законодательный характер гигиенических нормативов.
Наряду с названными подходами, при разработке гигиенических нормативов применительно к конкретным физическим или химическим факторам производственной среды используются также специфические методические принципы, обусловленные особыми свойствами нормируемого фактора.
Так, при гигиеническом нормировании микроклимата производственных помещений основными принципами являются:
• оценка метеорологических условий по абсолютным величинам температуры, относительной влажности и подвижности воздуха (принцип раздельного нормирования компонентов микроклимата);
• оценка воздействия на организм человека комбинации метеофакторов с учетом категории тяжести выполняемой работы, и на этой основе установление допустимых пределов параметров микроклимата для легкой, средней тяжести и тяжелой работы;
• учет адаптации и акклиматизации человека к климатическим условиям и сезонам года, что обуславливает дифференцированность переходного и теплого периодов года.
Наличие существенных особенностей, отличающих объекты военной техники от промышленных предприятий, а также характер учебно-боевой работы личного состава Вооруженных Сил, требует творческого подхода в применении общих принципов гигиенического нормирования физических и химических факторов, определяющих условия обитаемости военно-технических объектов. В полной мере это относится и к микроклимату, как одному из ведущих факторов обитаемости.
В свете сказанного, специалистами военной гигиены сформулированы положения о динамическом, дифференцированном, многоуровневом, комплексном нормировании факторов обитаемости (Медведев В. И., 1974).
Динамическое нормирование предполагает определение величины нормируемого показателя в зависимости от длительности воздействия фактора, частоты воздействия, соотношения интервалов действия с длительностью периодов отсутствия воздействий и так далее.
Дифференцированное нормирование учитывает особенности и сложность психофизиологической структуры деятельности, режимов труда, а также специфические требования, предъявляемые к конкретной деятельности военных специалистов.
Многоуровневое нормирование осуществляется на основе критериев, определяющих допустимые изменения гомеостатического регулирования в организме человека-оператора и предполагает разработку допустимых, оптимальных, предельно допустимых и предельно переносимых нормативов.
Определение понятий оптимальных, предельно допустимых и предельно переносимых значений факторов внешней среды (гигиенических норм) содержится в ГОСТе 21035–75.
В настоящее время успешно развивается и совершенствуется также принцип комплексного нормирования факторов обитаемости военной техники. Это относится, прежде всего, к факторам внешней среды, обладающим однонаправленным действием на организм, совместное действие которых приводит к изменению вредного влияния каждого из них.
Кроме названных, разработка нормативов предполагает учет специфики назначения, эксплуатационные характеристики, способы и условия использования образцов военной техники, а также возможностей человека в системе «человек – машина» и особенностей условий труда военных специалистов.
Решающим условием для осуществления нормирования является выбор критериев, которые позволяют разграничить уровни воздействия нормируемых факторов.
К ним в первую очередь относятся (Ломов О. П., 1989, Садиков Г. Н., Азонова Е. К., 1982, Jampietro P. E., 1972 352, Vanggaard L., 1977):
• показатели, характеризующие уровень напряжения функциональных систем организма и степень опасности для здоровья;
• показатели, характеризующие влияние факторов среды на психофизиологическое состояние человека и его возможности выполнять целенаправленную деятельность;
• субъективные ощущения специалиста.
4.1. Обзор литературы
Актуальность защиты членов экипажей от неблагоприятных температурных воздействий в кабинах летательных аппаратов появилась практически с возникновением авиации. Первоначально эта проблема, как справедливо отмечает А. Н. Ажаев (1979), решалась главным образом путем изыскания средств защиты летчика от низких температур, ветра и атмосферных осадков. Однако совершенствование авиационной техники, быстрый рост скорости и практического потолка самолетов, создание герметических кабин выдвинуло на первый план вопросы разработки средств индивидуальной и коллективной защиты летных экипажей и пассажиров от экстремальных воздействий факторов обитаемости в кабинах ЛА. Возникла необходимость обоснования гигиенических нормативов для основных физических и химических факторов, воздействующих на человека в полете, в том числе температурного режима. Для ЛА военного назначения они содержатся в таких нормативно-технических документах, как «Общие технические требования ВВС 1986 года к объектам авиационной техники» (ОТТ ВВС-86), часть 8, «Требования к средствам жизнеобеспечения, спасения и защиты экипажей летательных аппаратов» и также в ГОСТе 21952–76 «Система “человек – машина”. Микроклимат на рабочем месте оператора. Предельно допустимые значения». В обоих документах требования к температуре воздуха в кабинах ЛА сводятся к необходимости поддержания уровня температуры в пределах 20 ± 5°С (293 ± 5°К). При этом экипажу должна быть обеспечена возможность устанавливать температуру воздуха в кабинах (в зоне нахождения людей) на любом значении от 15 до 25°C с последующим автоматическим поддержанием ее на заданном уровне. Отклонение температуры воздуха от заданной не должно превышать ±3°С независимо от режима полета и режима работы двигателей. Необходимо отметить, что требования к температурному режиму в кабинах ЛА представлены вне зависимости от продолжительности полетов, используемых комплектов полетной одежды и спецснаряжения, без учета уровня эмоционального стресса, испытываемого членами летных экипажей и характера выполняемого ими полетного задания. Данные требования не учитывают также степень напряжения физиологических систем терморегуляции у членов летных экипажей как в диапазоне регламентируемых температур, так и за его пределами в течение различных временных интервалов с учетом комбинированного действия других факторов полета. Это не позволяет судить об опасности температурных флюктуаций, возникающих при неустановившихся режимах полета, в случаях отказов бортовых систем кондиционирования воздуха в процессе полета и в других обстоятельствах. Все вышесказанное дает основания для заключения, что существующие гигиенические нормативы температурного режима в кабинах ЛА нуждаются в уточнении.
Имеющиеся немногочисленные материалы об опыте нормирования температур в кабинах ЛА за рубежом также свидетельствуют о целесообразности более гибкого подхода к решению этой проблемы. Так, например, военный стандарт США (Military specifcation, 1971) в качестве регламентируемого параметра рассматривает среднюю температуру в кабине, уровень которой должен составлять 21,1°С (70°F). При переходных режимах в течение до 30 минут допускается средняя температура 26,7°С (80°F). Датчик температуры в кабине должен быть рассчитан на диапазон температур от 4,4 до 32,2°С (от 40 до 90°F), при этом в установившемся режиме регуляторы должны поддерживать заданную среднюю температуру в отсеке в пределах ±1,7°С (±3°F). Разность температур в двух точках замкнутого объема, занимаемого сидящим персоналом, не должна отклоняться более чем на 2,8°С (5°F) от средней температуры в кабине. Температура в зонах временного пребывания членов экипажа не должна отклоняться более, чем на 5,56°С (10°F) от средней температуры в кабине. Скорость воздушных потоков в зоне размещения экипажа или пассажиров не должна превышать 1,52 м/с (300 футов/мин).
Таким образом, отличительной чертой температурных требований, изложенных в данном документе, является прежде всего их дифференциация в зависимости от режима полета и наличие допусков существенных отклонений температурного уровня от оптимума, ограниченных временными пределами.
Другой особенностью является более широкий диапазон регулируемых температур (от 4 до 32°С), а также достаточно узкие пределы допустимых отклонений при автоматическом регулировании заданного уровня температуры (±1,7°С). Выполнение этих требований обеспечивает возможность выбора летным составом такого температурного режима в кабине, который был бы наиболее оптимальным с учетом характера и длительности полета, а также экипировки членов экипажа.
Британские нормы летной годности гражданских самолетов в качестве параметра, характеризующего температурный режим в кабинах самолетов принимают температуру, определяемую шаровым термометром и зависящую от температурного излучения окружающих поверхностей, температуры воздуха, солнечной радиации и конвекционной теплопередачи. Этот документ предъявляет требования, чтобы при полете в нормальных условиях члены экипажа могли бы выбирать и поддерживать температуру в пределах от +15 до +30°С. Минимальный уровень температуры допускается +5°С. Для высоких уровней температуры, возникновение которых возможно при неполадках в системе кондиционирования воздуха, даются температурно-временные зависимости, регламентирующие максимально допустимые пределы времени экстремальных температурных воздействий.
Таким образом, учитывая особенности значений факторов среды обитания в кабинах летательных аппаратов, не всегда соответствующих нормативным уровням, можно заключить, что совершенствование температурных требований к кабинам летательных аппаратов предполагает разработку многоуровневых, дифференцированных нормативов.
В настоящее время предлагается определять следующие значения факторов внешней среды на рабочем месте специалиста-оператора военного профиля:
• оптимальное – обеспечивающее оптимальную динамику работоспособности оператора, хорошее самочувствие и сохранение его здоровья;
• предельно допустимое – обеспечивающее в течение определенного интервала времени заданную работоспособность и сохранение здоровья, но вызывающее у человека-оператора неприятные субъективные ощущения и функциональные изменения, не выходящие за пределы физиологической нормы;
• предельно переносимое – значение фактора, которое приводит к снижению работоспособности человека-оператора и вызывает функциональные изменения, выходящие за пределы физиологической нормы, но не ведущие к патологическим нарушениям.
Применительно к задаче нормирования температурного фактора один из ведущих специалистов авиационной медицины А. Н. Ажаев (1979) предлагает подход, в котором содержатся элементы всех вышеизложенных точек зрения. Автор предлагает считать оптимальными такие условия, при которых не требуется включения компенсаторно-приспособительных механизмов терморегуляции. Допустимыми предполагается считать такие условия, при которых наблюдается определенное напряжение механизмов гомеостатического регулирования температуры тела, однако отсутствуют изменения работоспособности и явления кумуляции при повторном действии, а также опасность для здоровья. Предельно допустимыми условиями автор считает такие, при которых значительное напряжение компенсаторно-приспособительных механизмов не обеспечивает полного приспособления организма к воздействию внешней среды. При этом наступает снижение работоспособности, но нет опасности для здоровья и не происходит кумуляции при повторных воздействиях. Кроме того, он выделяет еще критические (предельно переносимые) условия, которые характеризуются срывом физиологической терморегуляции, снижением работоспособности и возникновением опасности для здоровья при длительном или повторном действии неблагоприятных температур.
Аналогичным образом Ю. И. Приемский (1978) предлагает установить три уровня гигиенических нормативов: оптимальный, допустимый (эксплуатационный) и предельно допустимый. В качестве основных автор предлагает использовать оптимальные и допустимые температуры, как не требующие регламентирования по времени, при этом:
• оптимальными являются такие тепловые воздействия, при которых изменение теплосодержания в организме человека не превышает 50 кДж/м2, и не происходит заметного напряжения терморегуляторных реакций;
• допустимыми можно признать такие тепловые воздействия при которых изменение теплосодержания в организме за счет изменения температуры тканей оболочки тела не превышает 100 кДж/м2, а также не происходит нарушения психофизиологических функций и работоспособности оператора при умеренном напряжении физиологических механизмов терморегуляции;
• предельно допустимыми являются такие тепловые воздействия, при которых изменение теплосодержания в периферических тканях организма составляет от 110 до 170 кДж/м2 при выраженном напряжении терморегуляторных механизмов, и имеет место умеренное изменение психофизиологических функций, лежащих в основе операторской деятельности, но сама деятельность не нарушена;
• предельно переносимые – это такие тепловые воздействия, которые, несмотря на максимальное напряжение физиологических механизмов терморегуляции, вызывают накопление тепла в организме свыше 170 кДж/м2 с повышением температуры как «оболочки», так и сердцевины тела. При этом происходит нарушение качества профессиональной деятельности оператора и возникает угроза патологического состояния на фоне резко выраженного ухудшения самочувствия.
В целом, считая правомочными приведенные точки зрения на уровни воздействующих на летчика температур, мы исходили прежде всего из того факта, что они не должны снижать показатели работоспособности и переносимости пилотажных перегрузок и кроме того минимизировать ухудшение функционального состояния при повторных нагрузках.
В качестве исходной посылки нами рассматривается также несколько уровней интенсивности микроклиматических факторов среды обитания:
• оптимальный, гарантирующий сохранение здоровья и работоспособность летчика при неограниченном времени воздействия;
• допустимый, обеспечивающий сохранение здоровья и работоспособность при условии многократного или непрерывного действия факторов в течение определенного времени;
• предельно допустимый – уровень (в случае нештатной ситуации), при котором на фоне сохранения работоспособности допускается временное ухудшение состояния здоровья с полным восстановлением его в послеполетном периоде;
• предельно переносимый – это уровень, допускающий снижение работоспособности летчика и обратимые изменения в состоянии здоровья в экстремальных условиях.
Как видно из предлагаемых нами подходов, оптимальный уровень микроклиматических условий может быть несколько отличным от существующего и равного 20 ± 5,0°С, а также предлагаемый Ю. И. Приемским допустимый уровень, соответствующий 29°С, следует ограничивать по продолжительности действия. Кроме того, установленные на настоящий момент нормативы составлены без учета таких факторов, как отягощающее действие защитного снаряжения, степень эмоционального состояния, измененное функциональное состояние.
Исходя из сказанного, целью настоящего раздела работы является определение дифференцированных требований к микроклиматическим условиям применительно к температуре воздуха кабин военных самолетов с учетом продолжительности их воздействия.
Для решения поставленной задачи необходимо было определить:
• информативность психофизиологических показателей человека-оператора при действии высоких температур;
• отягощающее действие некоторых видов защитного снаряжения, используемого летным составом, без вентиляции пододежного пространства;
• изменение психофизиологического состояния человека-оператора в условиях эмоционального стресса;
• изменение показателей работоспособности в реальном полете у летчиков при выполнении полетного задания в контролируемых неблагоприятных условиях среды обитания вертолета МИ-26.

