
Бюджетная политика субъектов Российской Федерации

Бюджетная политика субъектов Российской Федерации
Ответственный редактор Н.В. Голованова
Проект выполнен в рамках тематики экспертного совета при Правительственной комиссии по повышению устойчивости развития российской экономики
Ответственный редактор Н.В. Голованова
Авторы:
Р.С. Афанасьев (раздел 6), Ю.В. Герасимова (раздел 7), Н.В. Голованова (разделы 3–6, 8), А.Н. Дерюгин (раздел 3), А. В. Мацкевич (разделы 5, 7), М.В. Мильчаков (разделы 1–2), Г. Г. Покатович (раздел 5)
Введение
В 2009 г. регионы столкнулись с последствиями финансового кризиса, что поставило под угрозу стабильность их бюджетов. Резкое сокращение доходов вынудило субъекты РФ изменять бюджетную политику в соответствии с внешними факторами. Стали актуальны такие меры, как оптимизация расходов бюджетов и активная долговая политика. Подчиняясь необходимости в первую очередь финансировать текущие расходы, регионы вынуждены были сокращать капитальные расходы, ограничивать расходы на государственное управление, пересматривать подходы к системе социальной защиты населения. В условиях неопределенности многие регионы отказались от трехлетнего планирования, вернувшись к составлению бюджета на один год.
Поскольку субъекты РФ сильно различаются по уровню развития и структуре доходной базы, степени изношенности бюджетной сферы и степени дотационности, влияние кризиса на бюджетную систему оказалось неодинаково для различных регионов. Однако на основе уровня развития и структуры экономики можно выделить группы регионов, влияние кризиса в которых приводит к схожим последствиям.
Хотя набор инструментов региональной бюджетной политики в России ограничен по сравнению с возможностями, имеющимися в распоряжении субъектов федерации государств Северной Америки и Европы, федеративное устройство государства дает уникальную возможность опробовать варианты бюджетной политики на территории разных регионов и выбрать наиболее действенные, которые могут затем использоваться органами власти других регионов и поддерживаться федеральными органами власти.
Федеральный центр может поддерживать использование региональных инструментов бюджетной политики как косвенным образом, подавая пример собственными действиями, так и напрямую, стимулируя действия регионов при помощи целевых трансфертов. Поэтому для сохранения сбалансированности консолидированной бюджетной системы Российской Федерации в условиях кризиса так важна координация политики федеральных, региональных и местных органов власти, направленная на оздоровление экономики, повышение эффективности бюджетных расходов и ориентации действий органов власти на потребности населения России.
1. Оценка уровня социально-экономического развития субъектов РФ
Типологизация субъектов Российской Федерации по уровню экономического развития и отраслевой структуреХотя кризис по-разному сказался на бюджетной системе субъектов Федерации, для целей анализа бюджетной политики можно выделить группы регионов, влияние кризиса на экономику которых привело к схожим последствиям.
В основу типологии субъектов для целей последующего анализа легли такие критерии, как уровень социально-экономического развития территории и отраслевая структура региональной экономики. Безусловно, предложенная группировка субъектов РФ носит условный характер, поскольку ряд регионов можно отнести одновременно к нескольким группам. Однако методика группировки субъектов была построена таким образом, чтобы выделить наиболее существенные признаки той или иной территории в контексте кризисных явлений.
Было выделено девять типов регионов (табл. 1.1).
Таблица 1.1
Типология регионов для анализа воздействия экономического кризиса на социально-экономическое положение субъектов Российской Федерации


Девять типов регионов были объединены в три группы. Традиционно наиболее многочисленной оказалась группа среднеразвитых регионов (36 субъектов), 29 регионов характеризуются максимальным уровнем социально-экономического развития, 18 субъектов отнесены к группе слаборазвитых и слабо освоенных территорий.
К группе наиболее развитых регионов были отнесены четыре вида субъектов РФ. Регионы данной группы характеризуются повышенным уровнем ВРП надушу населения, более высоким уровнем жизни населения и повышенными бюджетными расходами. Эти регионы объединяет меньшая зависимость консолидированного регионального бюджета от трансфертов из федерального центра.
Агломерации городов федерального значения характеризуются максимальной концентрацией экономической активности, емким региональным рынком, высокой платежеспособностью населения. Бюджетно-финансовое состояние Москвы и Санкт-Петербурга в существенной степени зависит от финансового положения крупных холдинговых структур, зарегистрированных на территории этих регионов. Московская и Ленинградская области специализируются на обслуживании федеральных столиц (пищевая промышленность, строительная индустрия, транспорт и логистика), что делает их зависимыми от ситуации в городах федерального значения. Повышенные риски имеет Ленинградская область с более высокой долей промышленного сектора и транспорта, более низким уровнем жизни, а также с наличием монопрофильных городов, в которых проживает 21 % населения. У Московской области дополнительным обременением является повышенный уровень долговой нагрузки, образовавшейся в связи с заимствованиями инвестиционного характера.
Таблица 1.
Агломерации городов федерального значения

Состояние экономию! регионов с развитым нефтегазовым сектором коррелирует с конъюнктурой мировых цен на энергоносители и динамикой внешнего спроса. Несмотря на существенный спад цен на углеводороды (-75 %) после максимума в июле 2008 г., имело место достаточно быстрое восстановление цен на нефть. По состоянию на октябрь – ноябрь 2009 г. уровень цен на нефть марки «Юралс» составлял около 55 % от июльского максимума 2008 г. и был сопоставим с уровнем июля – сентября 2007 г. Монопрофильность экономики при высокой волатильности цен сохраняет уязвимость этих регионов на длительную перспективу. Кроме того, эти субъекты характеризуются повышенной долей населения, проживающего в моногородах. Данная группа регионов за счет прибыльности нефтегазового бизнеса и его мультипликативного эффекта будет сохранять высокий на общефедеральном фоне уровень жизни, но, возможно, уже на более низком стационарном уровне (табл. 1.3).
Таблица 1.3
Субъекты РФ с повышенной долей нефтегазовой промышленности в структуре ВРП

Регионы с промышленностью, диверсифицированной за счет многофункциональности хозяйственного комплекса и разнообразия выпускаемой продукции, обладают большей экономической устойчивостью (табл. 1.4). Такие регионы характеризуются следующими факторами конкурентоспособности: наличие базовых активов крупного бизнеса в ряде секторов, наличие города-миллионера (Самара, Нижний Новгород, Пермь, Уфа, Казань, Омск, Новосибирск), наличие собственной ресурсной базы (Пермский край – нефть и калийные соли, Белгородская область – железные руды, Оренбургская область и Республика Татарстан – нефтегазовое сырье). Для некоторых регионов важную роль играют особые взаимоотношения с федеральным центром (Республики Татарстан и Башкортостан). В ряде случаев региональные риски существенно повышаются по причине наличия узкоотраслевой специализации (например, производство минеральных удобрений в Пермском крае, которое зависит от внешнего спроса).
Таблица 1.4
Субъекты РФ с диверсифицированной промышленностью

Экономика регионов с развитой металлургической отраслью (табл. 1.5) характеризуется ориентацией на экспорт, т. е. повышенной зависимостью от внешних рынков и внешнеэкономической конъюнктуры. Базовые активы металлургических предприятий в разной степени успели пройти реконструкцию, повысив тем самым свою конкурентоспособность. В результате благоприятной экономической ситуации, приведшей к росту доходов по налогу на прибыль, и при отсутствии законодательной возможности создания резервных фондов регионы данной группы в годы, предшествовавшие кризису, значительно увеличили объем расходов бюджета. Восстановление экономики этих регионов будет зависеть от темпов подъема мировой экономики и восстановления внешних рынков.
Таблица 1.5
Регионы с повышенной долей черной металлургии в структуре ВРП

Республика Хакасия и Кемеровская область характеризуются более низкой долей металлургии в структуре ВРП, однако в этих регионах существенную роль играют отрасли, обеспечивающие функционирование металлургического сектора: в Хакасии 11,6 % приходится на распределение электроэнергии, газа и воды (гидрогенерация), а в Кемеровской области 23,4 % ВРП составляет добыча полезных ископаемых (уголь).
Группу среднеразвитых регионов характеризуют отсутствие крупных экспортно-ориентированных производств, относительно невысокие доходы населения и собственные доходы бюджетов в расчете на душу населения при более высокой доле межбюджетных трансфертов в структуре доходов. Большинство регионов данной группы объединяют развитый сектор обрабатывающих производств, уровень численности населения и хозяйственной активности. Повышенный уровень ВРП в ряде случаев объясняется наличием сырьевых производств. Особняком стоит Приморский край с экономикой, обслуживающей экспортно-импортные операции, в том числе ввоз и дистрибуцию автотранспортных средств. Инвестиционная активность в Приморье будет поддерживаться за счет реализации проектов в рамках подготовки к саммиту АТЭС 2012 г.
Экономическое положение этой группы регионов в дальнейшем будет определяться как отраслевыми рисками, так и степенью поддержки бюджетов со стороны федерального центра (табл. 1.6).
Таблица 1.6
Регионы со средним уровнем развития

Экономика регионов с повышенной долей машиностроения в структуре ВРП (табл. 1.7) характеризуется зависимостью от внутреннего потребительского и инвестиционного спроса. Значительная часть предприятий машиностроительного профиля изначально относилась к военно-промышленному комплексу, спрос на продукцию которого существенно сократился в 90-е гг. Возможности экспортной переориентации были ограниченны, а конверсия и выстраивание новых технологических цепочек требовали времени. Это крайне негативно отразилось на экономическом положении многих регионов данной группы. В начале 2000-х гг. начался компенсационный подъем, повысился инвестиционный спрос со стороны сырьевого сектора, часть регионов демонстрировала существенный рост ВРП. Однако значительная доля предприятий машиностроения сохраняла низкую конкурентоспособность, так как характеризовалась низким уровнем модернизации и технологической отсталостью. В регионах с высокой долей машиностроения в структуре экономики кризис получит затяжной характер, траектория ВРП ряда регионов будет иметь L-образный тренд. Бюджетные риски этой группы регионов ниже, чем в развитых регионах, поскольку доля налога на прибыль в структуре консолидированных региональных бюджетов относительно невелика, но дополнительные риски связаны с повышенной трудоемкостью машиностроения.
Таблица 1.7
Регионы с повышенной долей машиностроения в структуре ВРП

Общей особенностью крупных аграрно-индустриальных регионов (табл. 1.8) является специализация на сельском хозяйстве и пищевой промышленности. Эти отрасли экономики оказались затронуты кризисом в наименьшей степени: в январе – сентябре 2009 г. по сравнению с аналогичным периодом прошлого года спад в сельском хозяйстве составил лишь 0,8 % (-10,4 % по итогам первого полугодия по экономике в целом), в пищевой промышленности в январе – сентябре снижение составило 2 % (по обрабатывающим производствам в целом —19,1 %). В этих регионах кризис ощущался в более мягких формах. Основные риски связаны с возможными сбоями системы платежей в товаропроводящих цепочках. Кроме того, ситуация может ухудшиться при усугублении проблем в машиностроительном секторе (в Алтайском крае, Воронежской области).
Таблица 1.8
Крупные аграрно-индустриальные регионы

К группе слаборазвитых и слабо освоенных регионов были отнесены два типа субъектов РФ: регионы со слабой собственной экономической базой (республики Северного Кавказа и юга Сибири) и ресурсные слабо освоенные регионы Сибири и Дальнего Востока. Отличительной особенностью этих территорий является высокая доля федеральных трансфертов, которая в первом случае обусловлена слабостью региональной экономики и особой политикой федерального центра на Северном Кавказе, во втором – высокой стоимостью бюджетных услуг в условиях слабой освоенности территории и высоких транспортных издержек. Данные субъекты РФ пострадают от кризиса в меньшей степени, если федеральный бюджет будет в состоянии поддерживать уровень оказываемой финансовой помощи[1]. Менее стабильными могут оказаться регионы, где осуществляется добыча сырья, спрос на которое обеспечивают предприятия металлургии (например, уголь в Забайкальском крае). Наличие добычи специфических ресурсов – золота (Магаданская, Амурская области) и алмазов (Якутия) – может обеспечить стабилизирующий эффект.
Регионы со слабой собственной экономической базой (табл. 1.9) характеризуются наличием бюджетной экономики, в которой повышенную роль играют федеральные трансферты, а также обширным теневым сектором. В Республиках Алтай и Тыва сохраняется традиционный уклад, экономическая деятельность имеет локализованный характер (рудники, карьеры, турбазы) на фоне полунатурального сельского хозяйства. Регионы данной группы обладают национальной спецификой.
Таблица 1.9
Регионы со слабой собственной экономической базой

Ресурсные слабо освоенные регионы Сибири и Дальнего Востока имеют сырьевой потенциал (руды, нефть, уголь, рыба), использование которого ограничено в связи с транспортной удаленностью, слабым развитием инфраструктуры, снижением численности населения, экстремальными климатическими условиями. Экономика этих субъектов РФ отличается пониженной долей обрабатывающих отраслей в структуре ВРП и стратегической ролью транспорта (табл. 1.10). Регионы, поставляющие сырье предприятиям черной металлургии, имеют более высокие отраслевые риски, регионы, на территории которых ведется добыча драгоценных металлов, – более низкие. Изменение курса валют (рубль – юань) будет влиять на объем приграничной торговли с Китаем. Позитивное воздействие на экономику может оказать реализация федеральных проектов на территории регионов.
Таблица 1.10
Ресурсные слабо освоенные регионы Сибири и Дальнего Востока

Влияние экономического кризиса на социально-экономическое положение субъектов Российской Федерации
Состояние экономики большинства субъектов РФ можно оценить на основе индекса промышленного производства и отдельных его компонент (рис. 1.1). Ретроспективный анализ изменения данных индексов свидетельствует о том, что наиболее сложная ситуация в экономике наблюдалась в январе – мае 2009 г. Во второй половине 2009 г. в целом отмечалось улучшение, однако устойчивого положительного тренда не сложилось: наблюдались колебательные изменения индексов в зоне меньших величин спада. Таким образом, делать вывод о том, что экономика находится на этапе выхода из кризиса, не приходится.
Кризис по-разному воздействует на различные отрасли. В наибольшей степени пострадало машиностроение (рис. 1.2), объемы производства в котором сократились на 30–40 %. Экономический кризис еще раз привлек внимание к низкой конкурентоспособности отечественного машиностроения. Если не будут приняты адекватные меры по санации неэффективных производств, оптимизации численности персонала, обновлению технологий, то велик риск того, что регионы с высокой долей машиностроения в структуре экономики будет ожидать длительный спад, который может перейти в затяжную депрессию. Наиболее устойчивыми оказались отрасли производства товаров потребительского спроса (продуктов питания, одежды и нефтепродуктов).

Рис. 1.1. Динамика отдельных видов экономической деятельности по разделу «Промышленность», месяц к месяцу соответствующего года, %

Рис 1.2. Уровень промышленного производства по основным видам обрабатывающих производств, январь – октябрь 2009 г. к январю – октябрю 2008 г., %
Для аграрных территорий мощным стабилизирующим фактором стало сельское хозяйство, которое сохранило объем производства на уровне 2008 г., а также абсорбировало часть высвободившихся работников в весенне-летний сезон.
Отраслевое измерение кризиса, в свою очередь, влияет на глубину спада экономики в субъектах РФ.
Группа экономически сильных регионов во второй половине 2009 г. демонстрировала восстановление объемов промышленного производства (рис. 1.3). Это было связано с восстановлением уровня цен на сырьевые группы товаров, частичным восстановлением внешнего спроса, целевой федеральной помощью (Самарская область). Быстрые темпы восстановления демонстрировали регионы металлургии и нефтегазового сектора. Таким образом, по группе экономически развитых регионов, имеющих базовые активы крупного бизнеса, экспортно-ориентированные производства, наблюдалась V-образная динамика преодоления пройденного этапа кризиса. Однако следует иметь в виду, что при ухудшении ситуации на международных рынках может произойти быстрый откат назад.
Сложная ситуация сложилась в группе среднеразвитых регионов (рис. 1.4). Наиболее затяжной и глубокий спад наблюдался в регионах, специализирующихся в машиностроении. Максимальное падение промышленного производства наблюдается в Калужской области, Чувашской Республике, Ульяновской области. В подгруппе регионов со средним уровнем развития отмечается дифференциация: выявились устойчивые аутсайдеры (Орловская область) и субъекты, которые восстанавливаются за счет специфических активов (например, Курская область – добыча железной руды, наличие АЭС). Среди индустриально-аграрных территорий наиболее глубокий спад произошел в Ростовской области, где высока доля машиностроения в структуре обрабатывающих производств (34,3 %). В регионах, специализирующихся на машиностроении, особенно четко проявляется L-образная динамика прохождения кризиса с повышенным риском затяжного спада.

Рис. 1.3. Уровень промышленного производства по группе экономически сильных территорий, месяц к месяцу соответствующего года, %

Рис. 1.4. Уровень промышленного производства по группе среднеразвитых регионов, месяц к месяцу соответствующего года, %
При анализе индексов промышленного производства по группе слаборазвитых и слабо освоенных территорий следует учитывать меньшую роль промышленного производства в структуре экономики (например, доля промышленного производства в структуре ВРП Кабардино-Балкарской Республики составляет 15,2 %, Республики Калмыкия – 8, Республики Алтай – 8,9; по Российской Федерации – 33,2 % в 2007 г.). Национальные республики Северного Кавказа и юга Сибири имеют аграрно-бюджетный тип экономики, поэтому они менее восприимчивы к изменениям в промышленном секторе. В ряде случаев отмечаются значительные амплитуды изменения индексов, что может объясняться эффектом низкой базы или неустойчивостью моносырьевых производств, что особенно характерно для регионов северо-востока России: Чукотский автономный округ, Магаданская область, Республика Якутия (рис. 1.5). Следует отметить, что для дальневосточных регионов, прежде всего для имеющих выход на Транссибирскую магистраль, особую роль в экономике играет транспорт, который также ощутимо пострадал в ходе кризиса (в январе – октябре 2009 г. по отношению к январю – октябрю 2008 г. грузооборот снизился на 15 %). Несмотря на значительную региональную неоднородность, практически все слаборазвитые и слабо освоенные регионы объединяет более позднее по сравнению с остальными субъектами РФ проявление кризисных явлений, т. е. в данном случае имеется определенная лаговость в следовании общероссийским трендам.

Рис. 1.5. Уровень промышленного производства по группе слаборазвитых и слабо освоенных регионов, месяц к месяцу соответствующего года, %
Примечание. Чукотский автономный округ на графике не представлен ввиду значительной амплитуды колебаний индекса промышленного производства по причине эффекта низкой базы (от -15,3 % в августе до 450 % в октябре).
Кризисные явления в экономике, бюджетном секторе существенно сократили объем инвестиций в основной капитал (рис. 1.6). В январе – сентябре 2009 г. по сравнению с январем – сентябрем 2008 г. уровень инвестиций в экономике сократился примерно на 20 %. Сокращение инвестиций является одним из наиболее значимых последствий кризиса, поскольку это негативным образом отразится на состоянии инженерной и социальной инфраструктуры в последующих периодах, отсрочит процесс модернизации производства и технического перевооружения. Рост инвестиций в основной капитал произошел в регионах, получавших крупные вливания из федерального бюджета или госкорпораций. Снижение инвестиций демонстрировали субъекты РФ с развитой металлургией, нефтегазовым сектором, т. е. экономически развитые регионы. Среднеразвитые регионы, имевшие относительно невысокий исходный уровень частных инвестиций, в результате снижения инвестиционных расходов в период экономического спада могут еще более снизить свою конкурентоспособность.
Негативные процессы в экономике регионов влияют на социальное положение населения, в том числе на уровень безработицы. В ходе экономического кризиса пик безработицы пришелся на февраль 2009 г., когда количество безработных, определенное по методологии МОТ, достигло 7,1 млн человек (рис. 1.7). Затем наблюдалось сезонное снижение безработицы, которая в осенние месяцы стабилизировалась на уровне 5,8 млн человек. Ожидавшегося экспертами увеличения безработицы в осенний сезон не произошло. Вероятно, увеличение трудовых ресурсов за счет высвободившихся после полевых работ и окончивших вузы было частично компенсировано развернувшейся деятельностью по привлечению потерявшего работу населения к общественным работам и увеличением скрытой безработицы (за счет перевода на неполную рабочую неделю и отправки в отпуска).


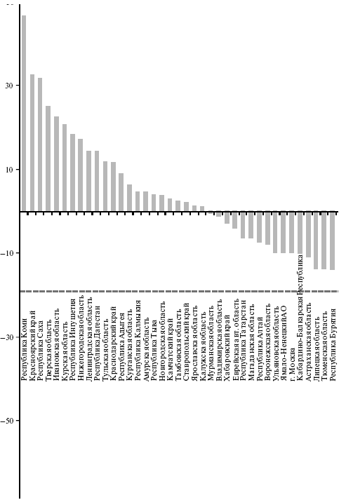
Рис. 1.6. Изменение объема инвестиций в основной капитал в январе – сентябре 2009 г. в % к январю – сентябрю 2008 г.
Примечание. На графике не показаны субъекты Российской Федерации с максимальным ростом инвестиций в основной капитал – Чеченская Республика (+220 %), Чукотский автономный округ (+180 %), Приморский край (+120 %).

Рис. 1.7. Изменение численности безработных, определенной по методологии МОТ, и зарегистрированных безработных, июнь 2008 г. – октябрь 2009 г., млн чел.
По группе экономически сильных регионов самый низкий уровень безработицы сохранился в агломерациях Москвы и Санкт-Петербурга (рис. 1.8). По другим подгруппам регионов выявились свои лидеры роста безработицы. Некоторые полифункциональные территории и регионы, в экономике которых высокую долю занимает металлургия, имевшие изначально низкий уровень безработицы, демонстрировали большие темпы роста безработицы в период экономического кризиса (например, Челябинская и Нижегородская области).

