
Управление персоналом: теория и практика. Оценка экономической и социальной эффективности управления персоналом организации

А. Я. Кибанов
Управление персоналом: теория и практика
Оценка экономической и социальной эффективности управления персоналом организации
Учебно-практическое пособие
Под редакцией доктора экономических наук, профессора А. Я. Кибанова

1. ПОКАЗАТЕЛИ ЭКОНОМИЧЕСКОЙ ЭФФЕКТИВНОСТИ
Экономическая эффективность управления организацией – многофакторное комплексное понятие. При оценке эффективности управления следует исходить из поставленных перед системой управления целей и результатов производства. Судить об эффективности управления нужно не только по эффективности системы управления, но и по эффективности производственной системы организации-производителя и организации, эксплуатирующей (использующей) изделие или услугу.
Поэтому экономический эффект от совершенствования управления организацией образуется в сфере управления, в сфере производства и в сфере эксплуатации продукции (услуги).
Сказанное выше в полной мере относится к совершенствованию управления персоналом организации.
Экономический эффект в сфере управления достигается за счет снижения трудоемкости выполнения функций управления в результате избавления от излишних, несвойственных и дублируемых функций, связей, документации; излишних затрат в результате выбора наиболее экономичных способов выполнения функций; осуществления ряда функций с применением персональных компьютеров и других технических средств управления и т. п.
Экономический эффект в сфере производства образуется за счет уменьшения простоев в производстве, непроизводительных расходов, снижения сверхурочных часов работы, устранения сверхнормативных запасов материальных ресурсов, снижения себестоимости продукции (услуг), повышения производительности труда, качества продукции (услуг) и т. п.
Экономический эффект в сфере эксплуатации продукции (услуг) образуется за счет уменьшения текущих издержек по использованию продукции (например, удельных расходов на ремонт, расходование горючего) и т. п.
При оценке экономической эффективности совершенствования службы управления персоналом (принятии решения об экономической целесообразности осуществления проекта, выборе лучшего варианта) могут быть использованы следующие обобщающие показатели.
1. Чистый дисконтированный доход (ЧДД), или интегральный экономический эффект (Эинт), определяется как сумма текущих экономических эффектов за весь период, приведенная к начальному шагу (начальному году расчетного периода) или как превышение интегральных экономических результатов над интегральными затратами. Его величина вычисляется по формуле:

где P – экономические результаты осуществления мероприятий за расчетный период, руб.;
K – затраты на осуществление мероприятий за расчетный период, руб.;
tn – начальный шаг (начальный год расчетного периода);
tк – конечный шаг (конечный год расчетного периода);
Pt – экономические результаты, достигаемые на t-м шаге (в t-м году расчетного периода), руб.;
Kt – затраты, осуществляемые на t-м шаге (в t-м году расчетного периода), руб.;
αt – коэффициент дисконтирования (коэффициент приведения разновременных затрат и экономических результатов к расчетному году).
В качестве начального года расчетного периода принимается год начала финансирования мероприятий по совершенствованию управления персоналом, включая проведение научных исследований.
Конечный год расчетного периода определяется моментом завершения всего жизненного цикла мероприятий по совершенствованию службы управления персоналом, включающего разработку, внедрение, а также использование результатов осуществления мероприятий на практике. Конечный год расчетного периода может определяться плановыми или нормативными сроками.
Интегральный экономический эффект от совершенствования службы управления персоналом складывается из трех составляющих, поэтому формулу расчета Эинт можно написать в виде:

где Эy1 – экономический эффект в сфере управления;
Эy2 – экономический эффект в сфере производства;
Эy3 – экономический эффект в сфере эксплуатации продукции;
ΣKy1t – предпроизводственные затраты в t-м году расчетного периода.

где Py1t – экономические результаты – экономия текущих расходов на управление в t-м году расчетного периода в результате осуществления мероприятий;
Ky1t – затраты – капитальные вложения в управление, связанные с внедрением мероприятий в t-м году расчетного периода.

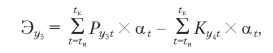
где Py2t – экономические результаты – экономия текущих расходов на производство в t-м году расчетного периода в результате осуществления мероприятий;
Ky3t – затраты – капитальные вложения в производство, связанные с внедрением мероприятий в t-м году расчетного периода.

где Py3t – экономические результаты – экономия текущих издержек при использовании продукции, производимой после осуществления мероприятий (без учета амортизационных отчислений на реновацию) в t-м году расчетного периода;
Конец ознакомительного фрагмента.
Текст предоставлен ООО «ЛитРес».
Прочитайте эту книгу целиком, купив полную легальную версию на ЛитРес.
Безопасно оплатить книгу можно банковской картой Visa, MasterCard, Maestro, со счета мобильного телефона, с платежного терминала, в салоне МТС или Связной, через PayPal, WebMoney, Яндекс.Деньги, QIWI Кошелек, бонусными картами или другим удобным Вам способом.
Приобретайте полный текст книги у нашего партнера:

