
Творчество: наука, искусство, жизнь. Материалы Всероссийской научной конференции, посвященной 95-летию со дня рождения Я. А. Пономарева, ИП РАН, 24-25 сентября 2015 г.
В современной когнитивной психологии способность к творчеству предстает как способность к преобразованию (Волкова, 2011). В этом контексте перспективной представляется опора на две важнейших идеи Я. А. Пономарева: о психологическом механизме решения творческих задач и о внутреннем плане действия (Пономарев, 1999). В исследованиях Я. А. Пономарева речь идет о решении творческих задач, работы Д. Б. Богоявленской (Богоявленская, 2009) смещают акцент на стадию инициации мышления. Интеллектуальная инициатива является «недостающим звеном» в цепочке поиска психологических механизмов творчества и творческой одаренности личности. Изучение интеллектуальной инициативы, опирающейся на операцию преобразования и выражающей надситуативно-преобразовательный характер творчества, перспективно в теоретическом, практическом и прикладном аспектах.
В нашем исследовании интеллектуальная инициатива определена как способность личности к обнаружению (постановке) проблемы и самостоятельной оптимизации процесса познавательной деятельности. Внешнее проявление интеллектуальной инициативы – самостоятельная оптимизация субъектом способа познавательной деятельности на основе выявления скрытых закономерностей. Психологическая (внутренняя) сущность интеллектуальной инициативы – это движение мысли субъекта в наиболее глубокие пласты познаваемого объекта и/или ситуации с последующим преобразованием этого объекта и/или ситуации. Можно также утверждать, что речь идет о ментальной репрезентации ситуации, которая выстраивается субъектом с опорой на существенные скрытые свойства объекта (ситуации), об интеллектуальной проницательности личности, позволяющей выявлять в объекте то, что остается скрытым для других. Интеллектуальная инициатива предстает как интеграция ее внутренней сущности и внешнего поведенческого проявления, как метасистема, включающая как минимум три основных системы: личность (субъект), познаваемый объект и ситуацию взаимодействия.
Интеллектуальная инициатива – это механизм, «запускающий» интеллектуальную активность, а также фактор саморегуляции интеллектуальной активности. Переход от одного типа интеллектуальной инициативы к другому предполагает качественный скачок в глубине познания субъектом объекта и степени преобразования объекта и ситуации.
На основе разработанных Д. Б. Богоявленской принципов конструирования психодиагностических методик, образующих метод «Креативное поле», нами была создана оригинальная и экономичная авторская методика диагностики интеллектуальной инициативы личности. Методика прошла необходимую психометрическую проверку. В исследовании также использованы: «Прогрессивные матрицы» Дж. Равена сокращенный вариант (для диагностики невербального интеллекта), «Ведущий способ группировки» (ВСГ) А. П. Лобанова (с целью выявления релевантных интеллектуальных стратегий: ассоциативной и понятийной), «Стиль мышления» А. К. Белоусовой (для выявления меры представленности стратегий мышления); «Опросник творческих характеристик личности» Ф. Е. Вильямса в модификации Е. Е. Туник (для определения степени выраженности творческих личностных характеристик).
Результаты иерархического кластерного анализа (Евклидова метрика, метод объединения – метод «ближайшего соседа») на выборке 80 студентов гуманитарных специальностей свидетельствуют о том, что стратегии группировки являются наиболее близкими к интеллектуальной инициативе объектами. Выполняя задания методики ВСГ, респонденты мысленно объединяют объекты в триады с целью запоминания максимального количества слов. Следовательно, высокие суммарные значения количества релевантных задаче группировок (ассоциативных и понятийных) свидетельствуют о развитом внутреннем плане действий.
Типы интеллектуальной инициативы (стимульно-продуктивный, эвристический и креативный), стратегии группировки материала (ассоциативная и понятийная) и стили мышления (инициативный, критический, управленческий и практический) объединяются в один крупный кластер познавательных стратегий. Полученный результат подтверждает правомерность отнесения типов интеллектуальной инициативы к подструктуре познавательных стилей в структуре индивидуального ментального опыта субъекта (как это представлено в модели интеллекта М. А. Холодной) (Холодная, 2002).
Невербальный интеллект располагается ближе к интеллектуальной инициативе, чем творческие личностные черты, что подтверждает преимущественно интеллектуальную природу интеллектуальной инициативы.
По результатам проведенного исследования можно сделать следующие выводы:
1. Интеллектуальная инициатива основывается на операции преобразования.
2. Творческие способности, определяемые через интеллектуальную инициативу, имеют преимущественно интеллектуальную природу.
3. В структуре индивидуального ментального опыта личности интеллектуальная инициатива может быть отнесена к подструктуре познавательных стилей.
4. Для проявления интеллектуальной инициативы важна стратегичность мышления личности, основанная на развитом внутреннем плане действия.
* * *Богоявленская Д. Б. Психология творческих способностей. Самара: ИД «Федоров», 2009.
Богоявленская Д. Б., Сусоколова И. А. Зарубежные исследования психологии творчества: Постгилфордовский период (ч. 1) // Психол. наука и образование. 2007. № 3. C. 97–107.
Волкова Е. В. Интеллект, креативность и продуктивность освоения профессиональной деятельности // Психол. журн. 2011. № 4. С. 83–94.
Корнилова Т. В. Толерантность к неопределенности и интеллект как предпосылки креативности // Вопросы психологии. 2010. № 5. С. 3–13.
Кыштымова И. М. Психосемиотическая методика диагностики вербальной креативности // Психол. журн. 2008. № 6. С. 56–65.
Поддьяков А. Н. Типы соотношений интеграции и дифференциации в развивающихся системах // Теория развития: дифференционно-интеграционная парадигма / Сост. Чуприкова Н. И. М.: Языки славянских культур, 2009. С. 91–102.
Пономарев Я. А. Психология творения М.: МПСИ; Воронеж: Модэк, 1999.
Холодная М. А. Психология интеллекта: парадоксы исследования. СПб.: Питер, 2002.
Чуприкова Н. И. Всеобщий универсальный дифференционно-интеграционный закон развития как основа междисциплинарной парадигмальной теории развития // Теория развития: дифференционно-интеграционная парадигма / Сост. Чуприкова Н. И. М.: Языки славянских культур, 2009. C. 7–16.
И. Ю. Владимиров[29], Т. Н. Ермакова[30]
Исследование особенностей инсайтного решения на примере задач, содержащих лингвистическую неоднозначность[31]
Ярославский государственный университет им. П. Г. Демидова (Ярославль)
Институт общественных наук Российской академии народного хозяйства и государственной службы при президенте Российской федерации (Москва)
Значительный объем исследований в психологии занимает изучение творчества в различных его аспектах. Суть творческого процесса определяется разными авторами как «реорганизация опыта по формированию на его основе новых комбинаций» (Матейко А.), «создание с помощью действия нового продукта» (Роджерс К.) и др. Ключевым моментом в определении творческого процесса является создание в результате некоторых действий качественно нового продукта.
Стадии творческого процесса, выделенные в результате исследований А. Я. Пономаревым имеют следующую последовательность: 1) сперва субъект осознает наличие проблемы 2) анализируя данные конкретной ситуация и соотнося их с опытом субъект выдвигает гипотезы по ее разрешению 3) дальнейшим этапом выступает проверка выдвинутых ранее гипотез и разрешение проблемы. Многие психологи выделяли существование особенного переживания в ходе решения – переживание инсайта (Walles, 1926; Gruber, 1988; Davidson, 1990). Способом изучения фаномена инсайта является анализ решения особого рода творческих задач.
Роль инсайта в решении инсайтных творческих задач велика, без переживания данного феномена невозможно решить задачу. Творческая инсайтная задача не может быть решена при использовании алгоритма решения, оно приходит к решающему внезапно. После нахождения решения у испытуемого наблюдается бурная эмоциональная реакция («Ага»-реакция).
Для решения инсайтной творческой задачи важна правильная ее репрезентация. Прежний опыт может затруднять решение задачи и выражаться в следующих эффектах: функциональная фиксированность, эффект Лачинсов, эффект прайминга. Все они являются эффектами имплицитной памяти.
Эмпирическая часть исследованияИзучая творческие текстовые задачи мы заметили, что важную часть решения многих из них составляет разрешение лингвистической неопределенности ключевого элемента задачи. К примеру, слово «хирург» подразумевает как врача-женщину, так и врача-мужчину, но для решения важен первый вариант трактования. Мы предположили, что воздействовать на выбор той или иной трактовки можно с помощью прайминга.
Мы выделили из текстовых задач 15 таких, решение которых состояло в том, чтобы проинтерпретировать ключевой момент условия непривычным способом. Далее 34 испытуемым предъявлялось предложение из задачи и предлагалось оценить как они его понимают.
С помощью применения критерия Вилкоксона выделились 4 задачи: 2 из них являются однозначно затрудняющими решение (однозначность направлена на неверную трактовку) и 2 амбивалентно затрудняющих решения (испытуемые выделяли оба варианта трактовки с одинаковой частотой).
Для выделенных задач были составлены тексты, содержащие в себе прайминг. Тексты представляли из себя краткие путеводители по 4 м странам. Предложения с праймингом повторялись несколько раз в течение одного текста.
Мы использовали 4 условия: нейтральный прайминг (не настраивающий ни на один, ни на другой способ трактования условий), верный и не верный прайминг, четвертым был вариант предъявления задачи без прайминга. В данной работе последнее условие не анализируется. Праймингом служили определенные слова, которые по нашему предположению должны были настроить испытуемого определенным образом.
При решении испытуемые высказывали любое свои гипотезы по поводу решения вслух и их предположения записывались на диктофон. Каждый испытуемый решил каждую из 4 задач с разными видами прайминга. Эксперимент проводился на 36 испытуемых (без пересекания с группой первого этапа исследования). После решения каждой задачи испытуемый заполнял опросник на определение инсайтности задачи (Ellis, Glaholt, Reingold, 2011).
Гипотезы:
1. Решение задач с верно настраивающим праймингом будет быстрее, чем решение задач с неверно настраивающим и нейтральным праймингом. Задачи будут восприниматься как более инсайтные, если они решаются после отвлекающего прайма и наоборот.
2. Решение задач подтипа затрудняющих амбивалентно будет быстрее в условиях положительного прайминга, поскольку значение ключевого момента неравновесно и может быть легко сдвинуто, негативный же прайминг будет более существенно осложнять решение амбивалентных задач по той же причине. Оценка инсайтности ожидается более высокой для задач, однозначно затрудняющих.
Результаты исследованияВ результате статистической обработки полученных данных не выявлено ни одного значимого эффекта, что может говорить о неверно выбранном способе предъявления прайминга, конструирования текстов или о выборе не уравненных иным не учитываемым нами признакам задач.
Первая гипотеза близка к подтверждению: задания с положительным праймингом решаются быстрее на уровне тенденции. По результатам исследования решение задач с условиями, затрудняющими однозначно, в целом требует меньше времени, чем решение тех задач, условие которых затрудняется амбивалентно, но негативный прайминг увеличивает время решения именно однозначной задачи, что расходится с нашей второй гипотезой.
Что касается оценки инсайтности мы также не получили выраженного результата (F(1, 70)=0,61, p=0,44) (результат между условиями отвлекающего и подсказывающего праймов). Степень однозначности ключевого момента на оценке она не сказалась вовсе.

Рис. 1. Влияние однозначности и типа прайма

Рис. 2. Влияние однозначности и типа прайма на время решения на оценку «инсайтности»
Анализ результатов
Несмотря на то, что затрудняющие однозначно задачи сами по себе настраивают решающего на неверное решение, часто задача даже не воспринималась как задача, ответ давался сразу после прочтения условий. Возможно, на быстрое решение задач повлиял выраженный прагматический компонент, содержащийся в условии задач. Он отражает социальные условия и особенности среды, в которой функционирует человек. С другой стороны, семантические пространства ключевых слов для решения задач могут содержать разные элементы, помогающие или затрудняющие нахождение решения.
Нами были проанализированы понятия, ключевые по нашему мнению для решения задач. С помощью лингвистического онлайн-тезауруса РуТез мы проанализировали отношения в семантических пространствах этих понятий.
В семантических пространствах ключевых слов для решения затрудняющих однозначно задач очень близки понятия, отражающие суть решения. К примеру, решением одной задачи было понять, что поверхность озера покрыта льдом. Анализ понятия «поверхностные воды» позволил выяснить, что понятие «ледник» является его ассоциацией. Ассоциация понятия в контексте РуТез подразумевает близкую связь, онтологическую зависимость, следовательно невозможность одного понятия существовать без другого в субъективном семантическом пространстве. Испытуемым требовалось мало времени, чтобы пройти путь от ключевого понятия задачи к связанному с ним ведущему к решению понятию – задача решалась быстро. И верный, и неверный прайминг находятся вблизи к ключевому слову и испытуемому не требуется много времени для нахождения решения. Нейтральный прайминг в задачах такого типа замедлял решение, возможно, из-за того, что испытуемым требовалось время выделить главное понятие для решения в тексте задачи для его анализа.
В семантических пространствах ключевых понятий решений задач с условиями, затрудняющими амбивалентно, нет понятий, ведущих к правильному решению. Понятия отождествляются с иными, затрудняя ход решения. Найти конструкт, который послужит подсказкой для решения задачи можно только перейдя к другим смежным семантическим пространствам, что требует временных затрат.
Задачи с однозначно затрудняющими условиями время решения было одинаково быстрым в случае с «верным» и «неверным» праймингом, в то время как нейтральный прайминг увеличивал время, необходимое для поиска решения. Отметим, что для корректной проверки наших гипотез необходимо будет дополнительное исследование, спланированное с учетом выявленного в ходе анализа возможного дополнительного механизма, возможно также оказывающего влияние на решение инсайтных текстовых задач.
* * *Пономарев Я. А. Психология творчества. М.: Наука, 1976.
Фаликман М. В., Койфман А. Я. Виды прайминга в исследованиях восприятия и перцептивного внимания. Часть 1 // Вестник Московского университета. 2005. Сер. 14. Психология. № 3. С. 86–97.
Федорова О. В. Основы экспериментальной психолингвистики: синтаксический прайминг. Учеб. пособие. М.: Спутник+, 2009. 77 с.
Ellis J. J., Glaholt M. G., Reingold E. M. Eye movements reveal solution knowledge prior to insight // Consciousness and cognition. 2011. V. 20. № 3. P. 768–776. doi:10.1016/j.concog.2010.12.007.
И. Ю. Владимиров[32], П. Н. Маркина[33]
Ослабление сознательного контроля на стадии тупика как специфический механизм инсайтного решения[34]
Ярославский государственный университет им. П. Г. Демидова(Ярославль)
Институт общественных наук Российской академии народного хозяйства и государственной службы при президенте Российской федерации (Москва)
Вопрос о специфике инсайтного решения является одним из ключевых в психологии мышления. Одним из возможных механизмов, лежащих в основе специфического инсайтного решения, является отключение функций осознаваемого контроля процесса решения (Jarosz, Colflesh, Wiley, 2010; Lavric, Forstmeier, Rippon, 2000; Reverberi et al., 2005).
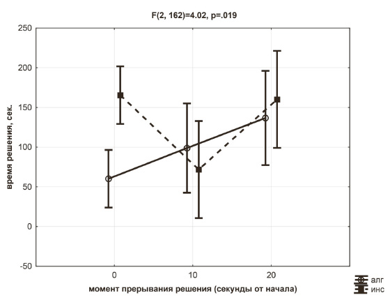
Одной из удачных моделей, на материале которой исследуется процесс инсайтного решения, является серия задач со спичками, предложенная С. Ольссоном. В данном типе задач для нахождения правильного ответа нужно сделать верным равенство, записанное римскими цифрами. (Knoblich et al., 1999; Wong, 2009). Этот класс задач был представлен следующими группами: A – где для решения нужно переместить палочку из одного числа в другое, B – где палочка перемещается из арифметического знака в число и наоборот и C – где для решения задачи из X нужно сделать V и наоборот. Только последний тип задач был отнесён к инсайтым, потому что для решения такого примера нужно применить декомпозицию чанка, что не является стандартным ходом в решении подобных задач и предполагает некий выход за границы условий задачи (Knoblich et al., 1999). В первой серии нашего эксперимента каждый из 24 испытуемых решал 8 задач, по 2 каждого вида. Во второй серии 20 человек решали те же задачи, но после 10 или 20 секунд после предъявления задачи, решение прерывалось (экспериментатор отбирал запись условия задачи) и давалась вторая задача. Было 8 дополнительных задач двух видов: алгебраические примеры и пространственные задачи со спичками. Все дополнительные задачи выкладывались из спичек. Время прерывания решения, тип основной и вторичной задач были подвергнуты экспериментальному смешению. Время решения дополнительных заданий не учитывалось. Для удобства изложения данных представим только данные по сопоставлению серий решения арифметических задач решаемых по алгоритму и инсайтных задач. Укажем, что два типа заданий (задания серий А и В), которые Олльсоном и коллегами рассматривались как алгоритмизируемые, а Вонгом как инсайтные (Knoblich et al., 1999; Wong, 2009) в нашем случае решаются подобно настоящим инсайтным.
Наиболее вероятен следующий вариант объяснения того, что решение инсайтных (и квазиинсайтных) задач, прерванное через 10 секунд после предъявления, занимает меньшее время, нежели решение без прерывания или с прерыванием, но через 20 секунд после начала.
Для решения алгоритмизированных задач необходим исполнительский контроль – порядок действий в задаче заранее понятен, но требуется отслеживание хода решения. Как уже упоминалось, рядом авторов контроль рассматривается как процесс не нужный и даже затрудняющий при инсайтном решении (Jarosz, Colflesh, Wiley, 2010; Lavric, Forstmeier, Rippon, 2000; Reverberi et al., 2005). Поэтому мы ожидали, что прерывание решения таких задач не окажет воздействия на время их решения. Так и происходит в случаях, когда дополнительная задача дается испытуемым после 20 секунд решения. Также с данной моделью согласуются результаты, показывающие, что прерывание решения над задачей через 10 секунд ускоряло решение. Возможно, что именно через 10 секунд после начала решения задач со спичками люди заходили в тупик. Состояние тупика усугублялось решением новой задачи, блок контроля перегружался и задача решалась быстрее.

Рис. 1. Зависимость времени решения инсайтных и алгоритмизированных задач от момента прерывания процесса решения
Также есть вероятность, что вовремя (в нашем случае – через 10 секунд) отвлеченный от решения человек сможет избегнуть фиксированности и не потратит на ее преодоление дополнительного времени. Если верно это или предыдущее предположение, тогда мы можем говорить, что фаза тупика при решении задач семейства Ольссона наступает приблизительно через 10 секунд после предъявления задачи.
Предложенные варианты интерпретации уточняют модель специфических механизмов инсайта и позволяют предположить, что одним из таковых является отключение процессов сознательного контроля при достижении решателем фазы тупика, что помогает испытуемому избавиться от реализации неадекватного алгоритма вычисления и фиксированности на нерелевантных компонентах задачи. Описанный механизм, впрочем, по всей вероятности не является единственным, определяющим специфику инсайтного решения. В частности, наши данные не позволяют сделать выводов или даже предположений, о процессах поиска решения, следующих за преодолением фиксированности и отказом от неадекватных алгоритмов решения и неверных репрезентаций задачи. Выявление данных механизмов может стать предметов дальнейших исследований специфики инсайтного решения.
* * *Jarosz A. F., Colflesh G. J. H., Wiley J. The effects of alcohol use on creative problem solving // S. Ohlsson, R. Catrambone (Eds). Proceedings of the 32nd Annual Conference of the Cognitive Science Society. Austin, TX: Cognitive Science Society, 2010. P. 563.
Knoblich G., Ohlsson S., Haider H., Rhenius D. Constraint relaxation and chunk decomposition in insight problem solving // Journal of Experimental Psychology: Learning, Memory and Cognition. 1999. V. 25 (6). P. 1534–1556.
Lavric A., Forstmeier S., Rippon G. Differences in working memory involvement in analytical and creative tasks: An ERP study // Cognitive Neuroscience. 2000. V. 11. P. 1613–1618.
Reverberi C., Toraldo A., D’Agostini S., Skrap M. Better without (lateral) frontal cortex? Insight problems solved by frontal patients // Brain. 2005. V. 128. P. 2882–2890.
Wong T. J. Capturing ‘Aha!’ moments of puzzle problems using pupillary responses and blinks. University of Pittsburgh, 2009.
И. Ю. Владимиров[35], О. В. Павлищак[36]
Инсайтное решение как результат преодоления фиксированности[37]
Многие задачи, с которыми сталкивается человек в своей повседневной жизни, требуют творческого подхода. В отличие от привычных стереотипных ситуаций, которые человек имеет тенденцию решать при помощи алгоритма, для решения творческих задач он должен выйти за рамки наиболее очевидных или характерных подходов к решению, рассмотреть широкий круг более отдаленных возможностей или альтернативных представлений (Пономарев, 1976). Такой «выход за пределы», инсайт, уже почти столетие как остается одной из основных загадок психологии мышления.
Во многих работах, посвященных проблеме инсайтного решения, встречается указание на то, что одним из механизмов инсайта можно считать преодоление фиксированности. Будь то фиксированность на схеме решения или на структуре поля задачи, или на средствах, предоставляемых в ее условии (Андерсон, 2001; Дункер, 1965; Ollinger, Jones, Knoblich, 2008; и мн. др.).
В работах М. Олингера, Г. Джонса и Г. Кноблиха (Ollinger, Jones, Knoblich, 2008) речь идет об одном из путей возникновения фиксированности – о механизме серии (mental set). Х. Хелсон в своих работах указывает на то, что в качестве серии могут рассматриваться как пробы непосредственно предшествующие контрольной – короткие серии, так и последовательность проб, имеющая место на протяжении длительного промежутка времени – длинные серии (Helson, Nash, 1960). Механизм серии увеличивает вероятность отбора определенной стратегии решения, потому что это неоднократно имело успех в непосредственном прошлом (короткие серии по Х. Хелсону). Предварительные знания касаются изначальной вероятности процедуры отбора, и, таким образом, независимы от эффекта сета (длинные серии по Х. Хелсону).
Несмотря на очевидность связи инсайта и фиксированности, систематизированных исследований этих двух феноменов в паре практически нет. Х. Г. Бирч и Х. С. Рабинович были фактически единственными авторами, которые исследовали mental set и инсайт вместе. Они пришли к заключению, что предварительные знания под влиянием контекста задачи могут стать установкой к определенной деятельности (Birch, Rabinowitz, 1951). Следует также отметить, что краткосрочная фиксированность может возникать не только в результате серии предварительных решений (mental set), но и в результате однократного предшествования события (prime) (Фаликман, Койфман, 2005).
Сложность преодоления фиксированности заключается в том, что созданный ей алгоритм плохо осознается и слабо произвольно контролируется. Инсайтное решение же может являться переходом на интуитивный уровень функционирования и представляет собой разрушение механизмов сознательного контроля, что было показано нами в предыдущих исследованиях (Владимиров, Ченяков, 2012; Коровкин, Владимиров, Савинова, 2012).
Идея нашего эксперимента состояла в создании кратковременной фиксированности. Основная цель – поиск ответа на вопрос, может ли являться преодоление такой фиксированности механизмом инсайта. В рамках эксперимента была выбрана задача, имеющая два качественно разных решения. К каждому из этих решений была разработана своя серия-подводка, прохождение которой делает данные решения потенциально алгоритмизированными. После такого решения задачи (алгоритмизированным способом) испытуемому предлагается найти качественно другое решение, которое должно было быть потенциально инсайтным. В качестве критерия типа решения (инсайтное/алгоритмизируемое) нами использовались объективные критерии инсайта: время (инсайтные задачи решаются чаще всего дольше) и данные мониторинга динамики мыслительных процессов. В качестве монитора параллельно с решением основной задачи испытуемым предлагалось выполнение задания-зонда. Данным способом, были показаны различия в протекании решения инсайтных и алгоритмизируемых задач (Коровкин, Владимиров, Савинова, 2012).

