
Интеллектуальная энергетика
Ключевые слова: Энергоэффективность, коммерческие потери, тарифы на электроэнергию, АСКУЭ, энергосбережение, тарификация, дифференцированные по зонам суток тарифы, тарифы на электроэнергию.
Современные технологии не стоят на месте. С каждый днём в нашу жизнь входит всё больше оборудования и технологий, которые не только позволяют облегчить жизнь человеку, но и способствуют эффективному и экономичному расходованию различных ресурсов. Одним из таких ресурсов является электрическая энергия.
При рассмотрении данного понятия стоит помнить, что рядом с ним, бок о бок, всегда идут потери. Это обусловлено тем, что по ряду причин потребитель получает не весь объём поставляемого товара (в современной энергетике электроэнергию рассматривают как товар).
Энергетики укрупнённо делят потери на две довольно обширных категории: технологические и коммерческие. В этой статье рассматривается второй вид, поскольку в формате АСКУЭ ― автоматизированной системы коммерческого учёта электроэнергии его можно считать наиболее актуальным.
Под этой аббревиатурой стоит понимать такую современную систему учёта, которая позволяет собирать, обрабатывать и передавать данные непосредственно в энергокомпании различного уровня. Это позволяет выявлять не только недобросовестных потребителей путём простейших математических расчётов, но и вовремя отслеживать, например, сломанные счётчики, поскольку с них может переставать поступать информация.
При этом стоит отметить, что помимо этого внедрение АСКУЭ актуально и с точки зрения законодательства. С 2010 года Российская Федерация активно занимается вопросами энергоэффективности. Так, например, был принят закон № 261-ФЗ «Об энергосбережении…» (на государственном уровне согласовывался годом ранее – в 2009 году), который задаёт вектор дальнейшего развития для отечественной энергетики.
Также при работе с АСКУЭ можно говорить о дифференцированной по зонам суток тарификации. Такой вид тарификации выгоден как потребителю, так и энергетической отрасли, поскольку первый экономит финансы, а вторая – улучшает свои показатели в различных областях (например, выравнивает график нагрузки энергосистемы).
Однако стоит отметить, что для реализации данной идеи необходимо отслеживание показателей в определённые промежутки времени, поэтому следует понимать, что, например, индукционный счётчик в этом случае не подойдёт из-за своих ограниченных технических возможностей.
Далее вопрос внедрения дифференцированного тарифа будет рассмотрен с точки зрения выгоды для потребителя. Примером послужила жилая 2-ух комнатная квартира в Алтайском крае. При этом данная жилплощадь имеет электрическую плиту и располагается на территории одного из городов края. Среднее потребление электроэнергии в месяц составляет 274 кВт∙ч. Тарификация выбрана на основе данных АО «Барнаульская горэлектросеть».
Расчёт произведён для дифференцированного по двум зонам суток тарифа. Стоит оговориться, что рассмотрено для наглядности три варианта. Суммарное потребление электроэнергии с заданной квартиры за месяц выбрано за 100 процентов, а минимальный шаг для изменения соотношения – 10 процентов.
Первый вариант представляет собой распределение ежемесячного потребления электроэнергии в следующих частях – 10 процентов в дневное время и 90 процентов в ночное.
Таблица 1
Тарификация электроэнергии при 10 процентах потребления в дневное время и 90 процентах в ночное

Из таблицы видно, что при заданных условиях потребитель будет существенно экономить, в частности, потенциально сэкономленных денег (разница между выбранными системами тарификации) хватит для оплаты электроэнергии более чем за три месяца при старом одноставочном тарифе.
Во втором варианте представлена наиболее негативная ситуация, поскольку «выгодные» часы используются минимально и потребитель тратит «дорогую» электроэнергию.
Таблица 2
Тарификация электроэнергии при 90 процентах потребления в дневное время и 10 процентах в ночное

Разница между выбранными системами тарификации составляет 1131,072 рублей, что говорит о том, что выбранный вариант крайне неэффективен для потребителя, поскольку он, упрощённо можно сказать, оплачивает ещё и «тринадцатый месяц» (959 рублей стоит ежемесячная оплата при одноставочной тарификации).
Таблица 3
Тарификация электроэнергии при 50 процентах потребления в дневное время и 50 процентах в ночное

Аналогично первому и второму вариантам рассматривается третий, который включает равное процентное соотношение между дневными и ночными часами.
Как видно из таблицы, из трёх вариантов данный является наиболее оптимальным, поскольку сочетает в себе более разумное распределение потребления электроэнергии за сутки, а также приводит к экономической выгоде для потребителя.
Таким образом, можно сделать вывод, что АСКУЭ является актуальным системой, которая способствует эффективному расходованию энергоресурсов. Помимо борьбы с коммерческими потерями, она выступает активным элементом при внедрении дифференцированных по зонам суток тарифов электроэнергии.
В упрощённом виде на рассмотренном примере было выявлено, что наиболее оптимальный вариант данной дифференцированной тарификации представляет собой равное распределение потребление электроэнергии между дневными и ночными часами.
Список используемой литературы1. Об энергосбережении и о повышении энергетической эффективности, и о внесении изменений в отдельные акты Российской Федерации: Федеральный закон № 261-ФЗ: [принят Государственной думой 11 ноября 2009 года: одобрен Советом Федерации 18 ноября 2009 года]: (с изменениями на 26 июля 2019 года). – Доступ из справ. – правовой системы «КонсультантПлюс» (дата обращения: 10.11.2020). – Текст: электронный.
2. Барнаульская горэлектросеть: [сайт]. – Барнаул, 2019 —. – URL: http://bges.ru/ (дата обращения: 07.11.2020). – Текст: электронный.
Информация об авторахХомутов С. О. – д.т.н., профессор, Рассохина Е. О. – студент группы 8Э-01, ФГБОУ ВО «Алтайский государственный технический университет им. И. И. Ползунова», РФ, Алтайский край, г. Барнаул.
Методика формирования математических моделей для расчёта удельной мощности для помещений промышленного и общественного назначения
Тюрина Наталья Александровна, turinanatalie@yandex.ru
Грибанов Алексей Александрович, diread@mail.ru
Аннотация:
В статье подробно рассмотрен метод регрессионного моделирования для формирования математической модели расчета для последующего расчета удельной мощности для проектирования освещения в помещениях промышленного и общественного назначений. Также в статье представлен подробный расчет относительной погрешности модели.
Ключевые слова: метод удельной мощности, математическая модель, регрессионное моделирование, освещенность, источники света.
Расчет электрических нагрузок является основополагающим этапом проектирования систем электроснабжения. Электрические нагрузки подразделяются на силовые и осветительные. На сегодняшний день существуют три наиболее популярных метода расчета осветительных нагрузок: метод удельной мощности, точечный метод, метод коэффициента использования. Метод удельной мощности наиболее часто используется проектировщиками для приближенного расчета мощности осветительного оборудования, отличается простотой использования и сравнительно малым объемом исходных данных, что значительно расширяет круг его использования. Значения удельной мощности были получены в середине двадцатого столетия и, к сожалению, их использование для современных светодиодных и люминесцентных источников некорректно[1]. В ходе эксперимента мною были получены актуальные значения для таких источников.
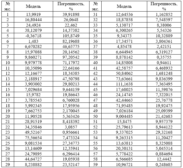
В рамках исследования было проведено 830 экспериментов путем расчета в среде Dialux evo, рассмотрено 29 расчетных случаев. Расчетный случай – это помещение общественного и промышленного назначения, для которых определялись нормируемая освещенность, высота подвеса источников света, площадь. Помимо этого, для каждого расчетного случая было отобрано 6 источников света. Всего в эксперименте участвовало 49 источников света.
В ходе исследования были получены математические модели, для каждой из которых посчитаны относительная погрешность источника света и относительная погрешность для расчетного случая. Значения относительных погрешностей лежат в допустимом диапазоне, что позволяет в дальнейшем рассчитывать мощность источников света для проектирования освещения в помещениях промышленного и общественного назначений для входных параметров, не участвовавших в эксперименте.
Общий вид математической модели (1):
𝑊=𝑎∙𝑆4+𝑏∙𝐸4+𝑐∙𝑆3+𝑑∙𝐸3+𝑒∙𝑆3𝐸+𝑓∙𝑆3𝐻𝑝+𝑔∙𝐸3𝐻𝑝+ℎ∙
𝐸3𝑆+𝑖∙𝐻𝑝2+𝑗∙𝑆2+𝑘∙𝐸2+𝑙∙𝐻𝑝2𝑆+𝑚∙𝐻𝑝2𝑆2+𝑛∙𝐻𝑝2𝐸2+𝑜∙𝑆2𝐸2+𝑝∙
𝐻𝑝2𝐸+𝑞∙𝑆2𝐻𝑝+𝑟∙𝑆2𝐸+𝑠∙𝐸2𝑆+𝑡∙𝐸2𝐻𝑝+𝑢∙𝐻𝑝2∙𝑆∙𝐸+𝑣∙𝐻𝑝∙𝑆2∙𝐸+
𝑤∙𝐻𝑝∙𝑆∙𝐸2+𝑥∙𝐻𝑝+𝑦∙𝑆+𝑧∙𝐸+𝛼∙𝐻𝑝∙𝑆+𝛽∙𝐻𝑝∙𝐸+γ∙𝑆∙𝐸+𝛿∙𝐻𝑝∙𝑆+𝜀
(1)
где – значение удельной мощности осветительной нагрузки на единицу площади помещения, Вт/м2;
a, b, c, d, e, f, g, h, i, j,k, l, m, n, o, p, q, r, s, t, u, v, w, x, y, z, 𝛼,𝛽,γ,𝛿,𝜀 – коэффициенты регрессионного уравнения, которые необходимо определить.
Для определения значения уровня варьирования применялась следующая формула (2):

где 𝑋пр𝑖 – значение параметра, приведённое к шкале от −1 до +1;
𝑋𝑖 – текущее значение параметра, абс. ед.;
𝑋𝑚𝑎𝑥 – максимальное значение параметра, абс. ед.;
𝑋𝑚𝑖𝑛 – минимальное значение параметра, абс. ед.
Уровни варьирования для использовавшихся в экспериментах параметров ниже приведены в таблице 1.
Таблица 1
Уровни варьирования параметров

Для определения коэффициентов уравнения приведем результаты расчётного эксперимента к табличному виду. В дальнейших таблицах для упрощения введён параметр X0=1, соответствующий свободной переменной, перед которой стоит коэффициент.
Данные эксперимента для источника света ULV-R24J представлены в таблице 2.
Таблица 2
Таблица эксперимента для источника света ULV-R24J







Для определения коэффициентов уравнения была составлена матрица Х, включающая в себя закодированные условия эксперимента (столбцы 2-32 таблицы 2) и матрица Y, включающая в себя результаты эксперимента (столбец 33 таблицы 2). Далее матрица Х транспонируется и умножается на исходную матрицу Х, получается матрица Xт ·X. Матрица Y также умножается на транспонированную матрицу X, получается матрица Xт ·Y. Затем для матрицы Xт ·X вычисляется обратная матрица матрицы Xт·X-1. Перемножив обратную матрицу Xт ·X-1 и матрицу Xт ·Y получим матрицу коэффициентов уравнения. Аналогичные действия были проведены и для других источников. Коэффициенты уравнения представлены в таблице 3.
Таблица 3
Значения коэффициентов уравнения для источника света ULV-R24J

Подставив в уравнение регрессионной модели значение коэффициентов получим расчетные значения удельной мощности. Для проверки модели необходимо определить погрешность по следующей формуле (3):

где 𝛿- относительная погрешность модели;
Э-значение, полученное экспериментальным путем
Р- значение, полученной в ходе расчетов.
Погрешность модели представлена в таблице 4.
Таблица 4
Погрешность модели

Средняя относительная погрешность модели рассчитывается по формуле (4):

1. СП52 13330.2016. Естественное и искусственное освещение. Общее положение: дата ведения 1996-01-01. – Москва: Стандартинформ, 2017. – 135с.
Информация об авторахГрибанов А. А. – к. т. н., доцент, Тюрина Н. А. – студент группы 8Э-01, ФГБОУ ВО «Алтайский государственный технический университет им. И. И. Ползунова», РФ, Алтайский край, г. Барнаул.
Средства повышения качества электрической энергии в магистральных электрических сетях
Белицын Игорь Владимирович, b_i_w@mail.ru
Попов Андрей Николаевич, oleandr78@mail.ru
Попов Константин Павлович, kotik5637@mail.ru
Аннотация:
Одной из важнейших задач электроэнергетики является повышение качества электрической электроэнергии. В работе произведен анализ нормативных документов регламентирующих показатели качества электрической энергии. Рассмотрены основные технические мероприятия позволяющие повысить качество электроэнергии.
Ключевые слова: качество электрической энергии, импульсные напряжения, система электроснабжения, компенсация реактивной мощности, регулирование напряжения.
MEANS OF IMPROVING THE QUALITY OF ELECTRIC ENERGY IN MAIN ELECTRIC NETWORKS
Belitsyn Igor Vladimirovich, Associate Professor, b_i_w@mail.ru
Popov Andrey Nikolaevich, oleandr78@mail.ru
Popov Konstantin Pavlovich, kotik5637@mail.ru
Abstract:
One One of the most important tasks of the electric power industry is to improve the quality of electric power. The paper analyzes the normative documents regulating the quality indicators of electric energy. The main technical measures to improve the quality of electricity are considered.
Keywords: quality of electrical energy, pulse voltages, power supply system, reactive power compensation, voltage regulation.
Снижение качества электроэнергии является неотъемлемой частью цикла производства и потребления. На всех стадиях электроэнергия претерпевает изменения, поэтому получение идеальной синусоидальной трехфазной системы напряжений задача труднореализуемая. Поэтому основной задачей является именно минимизация влияния всех ступеней электроэнергетической системы на качество энергии.
Если говорить о системе генерации, то реализация задачи повышения качества упирается в совершенствование конкретных силовых машин, а именно генераторов, более точная подгонка деталей, использование новых магнитных материалов, работа с системами стабилизации генераторов, по типу АРВ, во время возникновения крупных аварий.
Поэтому еще на стадии генерации мы получаем синусоиду отличную от идеально, но наибольшее искажение электроэнергия претерпевает именно в системах передачи, распределения и потребления. Большая часть энергии просто теряется в линиях электропередач, переходя в тепло, а форма кривой напряжения искажается нагрузкой.
Все это негативно сказывается на системе в целом, и на потребителях этой самой энергии в первую очередь.
В понятие качества электроэнергии входит большое количество параметров, которые регламентируются стандартами ГОСТ 32144-2013.
К параметрам качества электроэнергии относят:
– Отклонение частоты;
– Отклонение напряжения;
– Суммарный коэффициент гармонических составляющих напряжения;
– Колебания напряжения и фликер;
– Несинуидальность напряжения;
– Несимметрия напряжения;
– Провалы напряжения и перенапряжения;
– Импульсные напряжения;
– Максимальное значение и длительность перенапряжения.
Также параметры качества электроэнергии принято делить на две группы: длительные и кратковременные.
Возникновение кратковременных изменений параметров качества электроэнергии, как правило, обусловлено коммутацией нагрузки большой мощности, грозовой активностью, авариями в сети.
Например, появление кратковременных перенапряжений может быть вызвано ударами молний вблизи линий электропередач или подстанций. Провалы напряжения могут быть следствием возникновения коротких замыканий, или включение в сеть мощной нагрузки.
Причины длительных отклонений параметров качества могут быть обусловлены особой нагрузкой, либо структурой сети, проектными ошибками, связанными с выбором оборудования или уровней напряжения, либо возрастающим уровнем нагрузки в сети, дисбалансом активной и реактивной мощности. Также сюда можно отнести длительные ненормальные режимы в распределительных сетях.
Со стороны потребителя выделяют приемники с нелинейной вольтамперной характеристикой, или несимметричной пофазной нагрузкой.
К нелинейной нагрузке относятся вентильные преобразователи, электродуговые сталеплавильные печи, установки дуговой и контактной сварки. Работа таких устройств вызывает возникновение высших гармонических составляющих, которые накладываются на основную частоту кривой напряжения, искажая ее. В преобразователях могут возникать гармоники вплоть до 25-го порядка, в печах это гармоники с 3 по 7, в сварке с 5 по 11.
Искажение формы кривой напряжения приводит к возникновению дополнительных потерь активной мощности во всех элементах сети: линиях электропередач, трансформаторах, электрических машинах, поскольку их сопротивление зависит от частоты. Также может возникать перегрев обмоток двигателей из-за возникновения паразитных полей, ускорение процесса старения изоляции в кабелях, трансформаторах и электрических машинах.
Несимметричная нагрузка обладает фазными токами, отличающимися своими величинами, что приводит к различным потерям напряжения в разных фазах. Несимметрия напряжений в сети вызывает перегрев обмоток асинхронных двигателей, в синхронных машинах возникают опасные вибрации.
Большое влияние на качество электроэнергии оказывает сама структура сетей и их топология. Говоря о совокупности сетей и качества электроэнергии обычно говорят о проблеме больших потерь электроэнергии. Поскольку наибольших уровень потерь, а именно, более 60 % от общего числа приходится именно на передачу электроэнергии по линиям электропередач и еще около 17 % приходится на эффект возникновения коронного разряда в магистральных сетях высокого напряжения. В распределительных сетях большие потери обусловлен высоким уровнем морального и технического устаревания сетевого комплекса.
Большие потери снижают общий уровень экономичности сетей и качества электроэнергии в целом, приводя к снижению питающего напряжения на шинах потребителя. От пониженного уровня напряжения в первую очередь страдают асинхронные двигатели, увеличивая свой потребляемый ток, что приводит к перегреву обмоток и старению изоляции. В целом работа на напряжении ниже номинального для всех видов нагрузок приводит к уменьшению их срока службы, а иногда и полному выходу из строя.
Для повышения качества электроэнергии используются различные технические мероприятия.
Традиционно, для повышения качества электроэнергии в электрических сетях применяют следующие технические мероприятия:
– Регулирование напряжения;
– Компенсация реактивной мощности;
– Установка фильтров;
– Оптимизация схем и режимов работы сети;
– Установка вольтодобавочных трансформаторов.
– Применение динамических компенсаторов искажения напряжения;
– Выравнивание нагрузок фаз;
Список используемой литературы1. ГОСТ 32144–2013 Электрическая энергия. Совместимость технических средств электромагнитная. Нормы качества электрической энергии в системах электроснабжения общего назначения. – Введ. 2014–07–01. – М.: Стандартинформ, 2014. – 19 с.
2. Железко. Ю. С. Потери электроэнергии. Реактивная мощность. Качество электроэнергии: Руководство для практических расчетов. М.: ЭНАС, 2009. – 456 с.
3. Жежеленко, И. В… Высшие гармоники в системах электроснабжения промпредприятий / Жежеленко И. В. – М.: Энергоатомиздат, 2000.
4. Belitsyn I.V. The quality of electric power as a complex index / I.V. Belitsyn // International Conference «Process Management and Scientific Developments», Birmingham, United Kingdom, September. 2017. pp. 113–121.
5. Белицын, И. В. Оптимальный параметр регуляризации для определения электромагнитной совместимости линии электропередачи / И. В. Белицын // III международная научно-практическая конференция «Европейские научные исследования», Пенза, МЦНС «Наука и просвещение», 2017. С 48–53.
6. Белицын, И. В. Качество электрической энергии, проблемы нормативной базы / И. В. Белицын // Международная научно-практическая конференция «Прикладные и теоретические исследования», Самара, ЦНИК «Наука и просвещение», 2017. С 24–27.
Информация об авторахБелицын И. В. – к. п. н., доцент, Попов А. Н. – к. т. н., доцент, Попов К. П. – студент группы 8Э-91, ФГБОУ ВО «Алтайский государственный технический университет им. И. И. Ползунова», РФ, Алтайский край, г. Барнаул.
Разработка оптимальной конструкции автоматического пункта секционирования для воздушных электрических сетей напряжением 6-10 кв
Попов Андрей Николаевич, popov.a.n@mail.altstu.ru
Прийма Дмитрий Игоревич, priyma_dima@mail.ru
Аннотация:
С целью повышения надежности электроснабжения в электрических сетях используются автоматические пункты секционирования (АПС), которые разделяют (секционируют) линию на участки, что приводит к значительному сокращению времени отключенного состояния потребителей в случае возникновения аварии. Наиболее часто технологические нарушения происходят в сетях напряжением 6 – 10 кВ и приводят к большому недоотпуску электрической энергии. Наиболее протяженные фидеры, которые имеют длинные ответвления или ответственных потребителей, делят на части (секционируют), где и ставится автоматический пункт секционирования.
Наличие большого количества функций реклоузера приводит к усложнению конструкции, и в следствии этого, высокой стоимости. Установка дорогостоящих реклоузеров на воздушную линию напряжением 6 – 10 кВ не даёт положительного экономического эффекта на большинстве линий, а, следовательно, проблема с большим количеством недоотпуска электроэнергии в сетях 6 – 10 кВ остается нерешенной. Целью данной работы является разработка оптимальной конструкции автоматического пункта секционирования, использование которого позволит повысить эффективность процессов передачи и распределения электрической энергии путем совершенствования системы секционирования электрических сетей напряжением 6 – 10 кВ в условиях существующих линий электроснабжения и тем самым повысить надежность электроснабжения и сократить время перерывов в электроснабжении потребителей. В данной статье приводится описание предложенных вариантов оптимизации конструкции реклоузера для электрических сетей напряжением 6 – 10 кВ.
Ключевые слова: автоматический пункт, надежность, секционирование, конструкция, эффект, цифровизация, электроснабжение, блок управления.
Наиболее эффективным способом повышения надежности электроснабжения в воздушных электрических сетях среднего напряжения является секционирование линии коммутационными аппаратами (разъединителями, управляемыми разъединителями, пунктами секционирования). В существующих схемах построения распределительных сетей чаще всего используется ручной подход к управлению аварийными режимами.
Исследования специалистов свидетельствуют о том, что одним из наиболее эффективных способов повышения надежности электроснабжения в воздушных распределительных сетях является реализация автоматического подхода к управлению аварийными режимами, при котором обеспечивается полная независимость работы пунктов секционирования от внешнего управления. Этот подход также получил название децентрализованного. Каждый отдельный аппарат, являясь интеллектуальным устройством, анализирует режимы работы электрической сети и автоматически производит ее реконфигурацию в аварийных режимах, то есть локализацию места повреждения и восстановление электроснабжения потребителей неповрежденных участков сети [1].

