
Молодые ученые – экономике. Выпуск 9

Молодые ученые – экономике
Сборник работ молодежной научной школы
Девятый выпуск
© ВНКЦ ЦЭМИ РАН, 2009
Все права защищены. Никакая часть электронной версии этой книги не может быть воспроизведена в какой бы то ни было форме и какими бы то ни было средствами, включая размещение в сети Интернет и в корпоративных сетях, для частного и публичного использования без письменного разрешения владельца авторских прав.
Исследователями не рождаются

Г.В. ЛЕОНИДОВА, заместитель директора – зав. отделом подготовки научных кадров ВНКЦ ЦЭМИ РАН, к.э.н.
Развивающемуся обществу нужны образованные, предприимчивые, нравственные люди, которые могут самостоятельно принимать решения в ситуации выбора, способны к сотрудничеству, отличаются мобильностью, динамизмом, конструктивностью, обладают чувством ответственности за судьбу страны и умеют оперативно работать с постоянно обновляющейся информацией. Соответствуют этим высоким требованиям сегодня лишь те, кто владеет навыками научного мышления[1].
Как отмечает академик А.Д. Некипелов, «сейчас и в системе образования, и системе академической науки наблюдается очень важная позитивная тенденция – научное исследование становится ведущей составляющей образовательного процесса»[2].
Основная задача Научно-образовательного центра экономики и информационных технологий при ВНКЦ ЦЭМИ РАН, основанного на объединении образовательного и научного потенциалов академического научного центра РАН и высших учебных заведений, и состоит как раз в создании условий для развития исследовательских способностей обучающихся, поиске одаренных детей и талантливой молодежи с целью подготовки специалистов с глубокими фундаментальными знаниями, инновационно-ориентированным мышлением.
Проведение конкурсов научно-исследовательских работ – одна из важнейших форм обучения в НОЦ на всех его ступенях от школы до аспирантуры.
Научно-исследовательская работа позволяет выявлять способности обучаемых и часто побуждает к самооткрытию собственных способностей и возможностей и к самореализации личности. Весьма важно, что выработка исследовательской позиции по отношению к миру, к другим, к самому себе происходит во взаимосвязи с условиями развития личности, в ходе осуществления ее деятельности. В решении этой проблемы действенными оказываются такие образовательные технологии, как исследовательские практикумы, эвристические системы занятий, творческие «погружения», диалоговые методы, ситуации выбора, моделирование реальной действительности.
Конкретными формами использования этих технологий в НОЦ являются конкурсы научно-исследовательских работ, научно-практические конференции, научные семинары.
В НОЦ созданы условия для эффективного включения молодых ученых в научную деятельность во время обучения в аспирантуре. Аспиранты и молодые специалисты ведут исследования в рамках плана научно-исследовательских работ ВНКЦ ЦЭМИ РАН, являясь соисполнителями разделов либо ответственными исполнителями, участвуют в выполнении работ по грантам и хозяйственным договорам. Тематика диссертационных исследований аспирантов и соискателей, как правило, близка к тематике плана НИР, что способствует более глубокой проработке исследуемых проблем.
Молодые специалисты участвуют не только в научном, но и в образовательном процессе (чтение лекций, семинарские и практические занятия). Подобная практика позволяет им углублять и систематизировать свои знания, приобретать опыт публичных выступлений и работы с аудиторией, навыки, необходимые для высококвалифицированных специалистов сферы науки и образования.
Среди научной молодежи в ВНКЦ ЦЭМИ РАН ежегодно организуются конкурсы научно-исследовательских работ, их результаты обсуждаются на научно-практической конференции «Молодые ученые – экономике региона». В декабре 2008 года состоялась уже 11-я по счету конференция, на которой было представлено более 25 докладов. Лучшие из них опубликованы в этом сборнике.
Еще большее значение имеет развитие исследовательской деятельности в студенческой среде. Как правило, молодые люди, получающие высшее образование, стремятся реализовывать свои таланты, ищут способы приложения сил и способностей. Задача Научно-образовательного центра – предоставить студентам возможность самореализации. В то же время научное исследование учит молодых людей понимать важность и ценность служения обществу, гражданской ответственности и этики. Студенты НОЦ вовлекаются в научную деятельность и через непосредственную работу в научных подразделениях ВНКЦ ЦЭМИ РАН, выполняя анализ экономической информации. Выступая на конференциях наравне с молодыми учеными, студенты совершенствуют умение отстаивать свою точку зрения, грамотно и акцентированно представлять результаты исследований.
В сборнике опубликованы также материалы выступлений студентов на конференции научной молодежи.
Раздел I
Конкурсные работы молодых ученых в области экономики
Е.А. Чекмарева
Баланс спроса и предложения на рынке труда Вологодской области: долгосрочный прогноз[3]
Введение
Чекмарева Елена Андреевна – сотрудник ВНКЦ ЦЭМИ РАН
Согласно Концепции долгосрочного социально-экономического развития Российской Федерации, «в 2015–2020 годах Россия должна войти в пятерку стран-лидеров по объему ВВП» [1]. Возможности повышения ВВП, в свою очередь, во многом определяются количеством и качеством трудовых ресурсов, соответствием их структуры и численности потребностям экономики. Обеспечением отраслей экономики квалифицированными кадрами занимается система профессионального образования трех уровней: начального, среднего и высшего. В настоящее время существует значительный дисбаланс между подготовкой кадров региональной системой образования и потребностью в кадрах регионального рынка труда. Поэтому задача прогнозирования предложения и спроса на выпускников системы профессионального образования становится чрезвычайно актуальной.
Целью настоящего исследования является прогнозирование баланса спроса и предложения на рынке труда Вологодской области до 2020 года в разрезе уровней профессионального образования.
Задачи исследования:
1. Изучение методики прогнозирования спроса и предложения рабочей силы.
2. Прогнозирование спроса на рынке труда Вологодской области на период до 2020 года (прогноз потребностей экономики в выпускниках системы профессионального образования).
3. Прогнозирование предложения на рынке труда Вологодской области на период до 2020 года (прогноз потоков выпусков из учреждений профессионального образования).
4. Анализ баланса спроса и предложения на рынке труда Вологодской области на период до 2020 года.
В представляемой работе описываются методика и основные результаты прогнозирования предложения и спроса на выпускников образовательных учреждений (ОУ) высшего (ВПО), среднего (СПО) и начального профессионального образования (НПО) на рынке труда Вологодской области до 2020 года.
Общие теоретико-методологические основы прогнозирования спроса и предложения на региональном рынке трудаВ настоящее время существует большое количество методов прогнозирования рынка труда. Многие из них в той или иной мере повторяют друг друга в зависимости от используемого инструментария. Поэтому, не пытаясь охватить всего многообразия методов, остановимся лишь на основных подходах к прогнозированию, выделенных С.Ю. Алашеевым и др. [6].
Нормативный подход базируется на вычислении необходимых трудовых ресурсов исходя из норм выработки, производительности труда на конкретных рабочих местах. Рассматриваемый подход в полной мере относится лишь к бюджетному сектору, где применяются директивно установленные нормативы.
Динамический подход, поиск тенденций, опирается на анализ тенденций изменения технико-экономических показателей, использует многофакторные экономико-математические модели (корреляционно-регрессионный анализ). При этом возможны искажения в прогнозировании на перспективу, связанные со сложившимися в ретроспективный период деформациями в кадровом составе (избыток рабочих мест, скрытая безработица и т. д.). Рассматриваемый подход целесообразен в условиях устойчивых состояний системы.
Программы развития и опросный метод строятся на оценках тенденций изменения интегрированных экономических показателей, базируются на использовании различных федеральных, региональных и отраслевых программ развития. Из указанных источников информации отбираются экономические показатели, коррелирующие с показателями численности специалистов. Определение значения этих показателей в перспективе осуществляется методами экстраполяции, моделирования, экспертных оценок или различных их сочетаний.
Нормативный и динамический подход плюс экспертные оценки основываются на анализе тенденций изменения насыщенности специалистами отраслей экономики, реализуются в виде расчета доли специалистов различного уровня образования в общей численности работающих. Данный подход целесообразен для отраслей материального производства, в которых использование нормативного подхода (особенно в условиях рынка) затруднено. При этом расчеты оправданно проводить раздельно по каждой отрасли экономики. Определить значение коэффициента насыщенности можно либо путем экстраполяции, либо на основании аналога.
По аналогии с другими странами. Этот метод используется в основном как метод эталонного образца (например, для международных сопоставлений). Вместе с тем и этот метод не всегда применим, поскольку он ориентирован на позитивную экономическую динамику (одновременный рост ВВП и доли занятых в сфере услуг) [6].
Таким образом, каждый из пяти основных подходов имеет свои достоинства и недостатки, которые необходимо учитывать при расчетах, и обычно не применяется в чистом виде. При этом выбор методики прогнозирования должен осуществляться в зависимости от целей конкретного исследования и доступной статистической информации.
В рамках нашей работы наиболее приемлемым является подход к моделированию сложной динамической системы «экономика – рынок труда – профессиональное образование», предложенный учеными Петрозаводского государственного университета[4] (он имеет общие черты со вторым, третьим и четвертым основными подходами). Именно этот подход выбран нами в качестве теоретической основы исследования.
Объектом моделирования являются материальные живые потоки людей, т. е. переменные модели имеют размерность – «человек». Модель строится в плоскости именно человеческого ресурса; влияние энергетических, финансовых, природных и прочих ресурсов не рассматривается. Элементами модели служат такие подсистемы, как рынок труда, рынок образовательных услуг, экономика, – те поля, где взаимодействуют люди – участники исследуемой системы. Внешним воздействием, заставляющим систему двигаться, предполагается демографическая составляющая – вектор рождаемости [13].
Взаимодействие между системами «демографический фактор – общее образование – профессиональное образование – рынок труда – экономика» представлено структурной моделью (рис. 1).
Используемая для прогноза математическая модель получена при слиянии двух моделей из методик «Анализ потребностей региональных экономик в выпускниках системы профессионального образования» и «Распределение потоков выпускников школ по профессиональным образовательным учреждениям Российской Федерации», подробно описанных в монографии [11]. Обе методики были модифицированы нами в соответствии с целью исследования.
Рисунок 1. Структурная модель динамической системы «экономика – рынок труда – профессиональное образование» [7]

Прогнозирование спроса и предложения на рынке труда Вологодской области
1. Спрос. Прогнозирование потребностей экономики Вологодской области в выпускниках системы профессионального образования осуществлялось в пять этапов:
> анализ данных о развитии региональной экономики в базовый период;
> оценка необходимой численности занятых в экономике до 2020 г.;
> распределение занятых по уровням профессионального образования;
> расчет коэффициента ротации кадров;
> оценка количества специалистов различных уровней образования, которых необходимо подготовить для покрытия потребности экономики в кадрах.
Прогноз численности занятых в экономике сводился к нахождению корреляции между численностью населения в трудоспособном возрасте и численностью занятых в экономике в базовый период. Для этого на основе анализа ретроспективных данных методом наименьших квадратов вычислялся усредненный коэффициент пропорциональности


где Wtot (i) – численность занятых в экономике; Lab(i) – численность населения в трудоспособном возрасте; i – индекс дискретного времени, обозначающий год [13].
Численность населения трудоспособного возраста Lab(i) на период до 2020 года определялась путем построения общего демографического прогноза и выделения соответствующей возрастной группы. В качестве методики прогнозирования использован классический метод «подвижки возрастов» с учетом вероятности дожития каждой возрастной группы до следующей, более старшей [8]. При расчетах предполагалось, что на протяжении всего периода прогнозирования структура естественного воспроизводства останется неизменной и сохранятся возрастные коэффициенты смертности и рождаемости, характерные для 2007 г. Прогностическая оценка среднегодовой численности занятых в экономике для i-го года была получена по формуле:

Далее, зная процентную долю лиц с высшим, средним и начальным профессиональным образованием edV, edS, edN, оценку численности занятых в экономике по уровню образования мы рассчитывали как результат произведения:
WV (i) = Wtot (i) edV,
WS (i) = Wtot (i) edS,
WN (i) = Wtot (i) edN,
где WV (i), WS (i), WN (i) – оценка занятых в экономике лиц любого возраста к i году с ВПО, СПО, НПО соответственно [14].
Для определения коэффициентов ротации учеными Петрозаводского государственного университета разработана специальная методика [11]. Однако в нашей работе допускалось начальное тождество коэффициентов ротации по уровням образования, причем они считались константами и численно приравнивались к 25. Смысл этого значения сводится к тому, что в среднем специалист с профессиональным образованием работает в экономике 25 лет, или, что то же самое, ежегодно 1/25 занятых в экономике нуждается в замене [14].
Таким образом, RV (i) = RS (i) = RN (i) = R (i) = R ≈ 25,
где RV (i), RS (i), RN (i) – соответствующие коэффициенты ротации.
После вычисления коэффициентов ротации оценка потребностей экономики в выпускниках системы профессионального образования рассчитывалась по формулам:
TrV (i) = WV (i) / RV (i),
TrS (i) = WS (i) / RS (i),
TrN (i) = WN (i) / RN (i),
где TrV (i), TrS (i), TrN (i) – потребности экономики к i году в выпускниках учреждений ВПО, СПО и НПО соответственно.
Оценка численности занятых в экономике Вологодской области в долгосрочном горизонте планирования показала, что при сохранении существующих тенденций к 2015 году значение этого показателя сократится до 544 тыс. чел., а к 2020 – до 501 тыс. чел., и это будет происходить одновременно с сокращением общей численности населения и численности населения в трудоспособном возрасте (табл. 1).
Таблица 1. Прогноз* численности занятых в экономике Вологодской области, чел.

На базе прогноза численности занятых в экономике была получена оценка распределения занятых по уровню профессионального образования. После чего с учетом доли ежегодно обновляемого персонала за счет вновь обученных кадров (коэффициент ротации) построен прогноз численности молодых специалистов различных уровней профессионального образования, которых необходимо подготовить для покрытия потребности экономики Вологодской области в кадрах до 2020 года (табл. 2).
Согласно полученным результатам, на протяжении всего периода до 2020 г. наиболее востребованными в экономике Вологодской области будут выпускники образовательных учреждений среднего профессионального образования. Насколько эта потребность покроется численностью подготовленных выпускников, позволяет оценить методика, описанная ниже.
Таблица 2. Прогноз* спроса на выпускников системы профессионального образования Вологодской области, чел.

2. Предложение. Прогнозирование предложения на региональном рынке труда осуществлялось на базе математической модели из методики «Распределение потоков выпускников школ по профессиональным образовательным учреждениям Российской Федерации».
Основные допущения модели:
1. Выпускникам 9-х и 11-х классов школ и гражданам с общим средним образованием в поисках возможности получения профессионального образования доступны всего три альтернативы:
> ОУ НПО со сроком обучения 2 года;
> ОУ СПО со сроком обучения 4 года;
> ОУ ВПО со сроком обучения 5 лет.
2. Желающие учиться не могут одновременно поступить в два или более образовательных учреждения.
3. События, реально существующие, но не связанные с поступлением и приемом в ОУ, не рассматриваются в рамках данной модели [13].
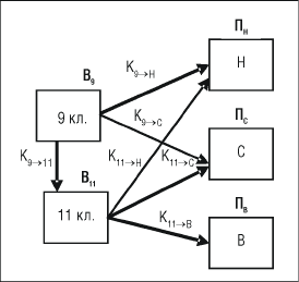
Используемая модель является многоуровневой. Моделью первого уровня служит Базовая модель взаимодействия потоков учащейся молодежи, учитывающая распределение выпускников 9-х и 11-х классов школ только текущего года выпуска и только внутри одного субъекта Федерации (рис. 2).
Рисунок 2. Базовая модель взаимодействия потоков учащейся молодежи [11]

Принятые обозначения:
В9 – выпуск текущего года из 9-х классов школ субъекта Федерации;
В11 – выпуск текущего года из 11-х классов школ;
ПН, ПС, ПВ – прием текущего года в ОУ НПО, СПО, ВПО соответственно;
КX→Y – коэффициенты оттока из X в Y, т. е. доля лиц из потока X, которые вливаются в поток Y, в частности:
К9→11 – коэффициент оттока из 9-го класса в 11-й класс, т. е. доля от общего выпуска девятиклассников, которые составили выпуск 11-го класса;
К9→Н – доля от выпуска 9-классников в приеме в ОУ НПО текущего года;
К9→С – доля от выпуска 9-классников в приеме в ОУ СПО текущего года;
К11→Н, К11→С, К11→В – доля от выпуска 11-классников в приеме в ОУ НПО, СПО, ВПО текущего года соответственно.
На основе Базовой модели с дополнительным включением в число абитуриентов выпускников школ прежних лет, а также выпускников ОУ НПО, СПО и ВПО строится общая Базовая модель, которая с учетом миграции выпускников школ в федеральные образовательные мегаполисы и соседние регионы преобразуется в Интегральную модель взаимодействия потоков учащейся молодежи. Функциональные связи Интегральной модели реализуются в виде динамической, зависящей от предыдущих состояний, математической модели, которая с высокой степенью адекватности описывает динамику приема и выпуска образовательных учреждений всех субъектов Российской Федерации в среднесрочном горизонте планирования [13].
Потоки выпусков и приемов образовательных учреждений связаны соотношениями:
VV (i) = KVOUPV (i – 5),
VS (i) = KSOUPS (i – 4),
VN (i) = KNOUPN (i – 2),
где VV (i), VS (i), VN (i) – выпуск в i году из ОУ ВПО, СПО, НПО соответственно;
KVOU, KSOU, KNOU – коэффициенты отсева для трех уровней образования соответственно;
PV (i), PS (i), PN (i) – прием в i году в ОУ ВПО, СПО, НПО соответственно [11].
Для определения коэффициентов отсева используется официальная статистика приемов в образовательные учреждения профессионального образования и выпусков из них с соответствующими временными сдвигами, для расчетов применяется метод наименьших квадратов и усреднение по тренду времени.
Математическая модель распределения потоков выпускников для каждого субъекта Федерации содержит 21 индивидуальный коэффициент, связывающий три искомых значения приемов текущего года со значениями выпусков за текущий и предыдущий годы [13].
Согласно используемой методике на основе векторов рождаемости и анализа ретроспективы нами построен прогноз численности выпускников 9-х и 11-х классов школ Вологодской области (табл. 3). Рост и снижение прогнозируемых показателей будет происходить наряду с ростом и снижением рождаемости с запаздыванием на 15 и 17 лет соответственно.
Прогностические оценки приемов в ОУ НПО, СПО и ВПО Вологодской области рассчитаны с учетом долевого распределения по данным учреждениям потоков выпускников школ. Далее, используя передаточные функции (коэффициенты отсева) и временные сдвиги, мы построили прогноз численности выпускников всех учреждений профессионального образования (табл. 4).
3. Баланс. Прогноз предложения и спроса в отношении выпускников системы профессионального образования позволяет оценить баланс на региональном рынке труда в долгосрочной перспективе.
Таблица 3. Прогноз* численности выпускников 9-х и 11-х классов школ Вологодской области, чел.

Таблица 4. Прогноз* численности выпускников системы профессионального образования Вологодской области, чел.

Анализ баланса спроса и предложения квалифицированной рабочей силы на рынке труда Вологодской области показывает, что при сохранении существующих тенденций будет наблюдаться следующее:
> нехватка выпускников с начальным и средним профессиональным образованием и переизбыток выпускников с высшим профессиональным образованием – на протяжении всего периода прогнозирования;
> наибольший дефицит выпускников ОУ НПО (1456 чел.) – в 2013 г.;
> наибольший дефицит выпускников ОУ СПО (2615 чел.) – в 2014 г.;
> наибольший переизбыток выпускников ОУ ВПО – в начале периода прогнозирования; постепенное снижение – к 2020 г. (табл. 5).
Таблица 5. Прогноз* баланса предложения и спроса на выпускников системы профессионального образования Вологодской области, чел.**

Такой дисбаланс отрицательно скажется на темпах экономического развития области и качестве производимых товаров и услуг, поскольку работодатели вынуждены будут замещать свободные рабочие места кадрами с несоответствующим уровнем профессиональной подготовки.

