
Молодые ученые – экономике. Выпуск 12
В методику вошли следующие показатели (критериальные признаки): возраст матери при рождении ребенка; социальное положение матери и ее образование; виды физической активности ребенка; регулярность потребления основных видов продуктов питания; информированность родителей о весе своего ребенка; оценка родителями своих знаний по физиологии и гигиене ребенка, вопросам здорового образа жизни. Было выделено 3 категории оценки критериальных признаков, которым соответствовало три названия: «оптимальный», «субоптимальный», «неоптимальный». Например, для «оптимального» критерия возраст матери при рождении ребенка должен быть до 30 лет, для «субоптимального» – от 30 до 40 лет, для «неоптимального» – свыше 40 лет.
Расчет проводился по следующей формуле:

где N – общее число критериальных признаков, отклонения которых влияют на исследуемый интегральный показатель (N=12); k – количество категорий оценки критериальных признаков (k=3); i – номер категории; ni – число значений для i-категории.
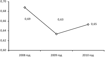
На основе исследования получены следующие результаты. За период с 2008 по 2010 г. наблюдается снижение интегрального показателя, характеризующего образ жизни детей. В 2010 г. образ жизни детей соответствовал «оптимальному» только на 65 % (рис. 3).
При этом следует отметить, что значение интегрального показателя уменьшается с возрастом, что можно видеть из рисунка 4 на примере двух когорт (1995 и 1998 годов рождения).

Рисунок 3. Интегральный показатель соответствия образа жизни детей «оптимальному»

Рисунок 4. Интегральный показатель соответствия образа жизни детей «оптимальному» (на примере когорт 1995, 1998 гг.)
Так, в 2010 г. в когорте 1995 г. в среднем образ жизни детей соответствовал оптимальному на 63 %, снизившись за три года на 5 %. Такая же тенденция прослеживается и в когорте 1998 г. рождения: за трехлетний период показатель снизился на 7 % и в среднем образ жизни детей соответствует «оптимальному» только на 64 %.
Данные интегрального показателя позволили сделать вывод о том, что большинство родителей недостаточно внимания уделяют формированию здорового образа жизни ребенка, в частности привитию навыков физической культуры, правильному и рациональному питанию. По мере взросления ребенка внимание к его здоровью со стороны родителей также ослабевает.
Нужно повышать мотивацию родителей на формирование здорового образа жизни в семье. Для этого очень важно улучшение социально-экономической ситуации в регионе и создание в обществе позитивной установки на здоровьесберегающее поведение, приобретение навыков здорового образа жизни. В связи с этим стоит подчеркнуть, что проблема формирования здорового образа жизни является не только медицинской и находится на стыке здравоохранения и социальной политики государства.
Заключение
Таким образом, исследование позволило сделать следующие выводы:
1. Выявлена устойчивая тенденция сокращения общей численности и доли детского населения. За последние 11 лет (с 2000 по 2010-й) удельный вес детей в общей численности населения Вологодской области сократился с 23,3 до 18,3 %.
2. Несмотря на позитивные изменения в динамике младенческой смертности, ее уровень в нашей стране и в области в 2 раза выше, чем в экономически развитых европейских странах.
3. Увеличивается нагрузка пожилыми людьми на трудоспособное население, что доказывает тенденцию постарения населения. В дальнейшем это может привести к углублению демографического кризиса в стране.
4. Растет заболеваемость детского населения. В области за период с 2000 по 2009 г. заболеваемость детей (в возрасте от 0 до 14 лет) увеличилась на 41 %, подростков (от 15 до 17 лет) – на 27 %.
5. В сознании подавляющего большинства семей (86 %) «здоровье ребенка» как ценность вместе с ценностью «семьи» (83 %) занимает 1–2 место среди других важнейших социальных ценностей. Это говорит о положительных установках на сохранении здоровья своего ребенка.
6. Родители уделяют недостаточно внимания правильному и рациональному питанию своего ребенка. Половина детей ежедневно балуются сладостями, не каждый день получают овощи.
7. Слабая мотивация на проведение закаливающих и укрепляющих семейных мероприятий может являться причиной ухудшения здоровья детей. Так, 14 % родителей проводят закаливающие процедуры с детьми и только 36 % детей занимаются спортом и физической культурой вне школы.
8. Если в семье есть практика распространенности вредных привычек (табакокурение, потребление алкоголя), то вероятность развития этих качеств у детей возрастает в разы по сравнению с детьми, родители которых не курят и не употребляют алкоголь.
9. В обследованных семьях образ жизни детей только на 65 % соответствует «оптимальному». Это позволило сделать вывод о недостаточности уделяемого внимания большинством родителей формированию здорового образа жизни ребенка, в частности привитию навыков физической культуры, правильному и рациональному питанию. По мере взросления ребенка внимание к здоровью детей со стороны родителей ослабевает.
Исходя из вышесказанного и учитывая, что количественные показатели мало поддаются управлению, больше внимания необходимо уделять качественной составляющей детского населения. Поэтому формирование и укрепление здоровья детей – это первоочередная задача нашего государства.
В целях укрепления и формирования здоровья детей предлагаются следующие мероприятия:
1. Поскольку в Вологодской области, как и в России, нет комплексных программ, направленных на охрану здоровья детей, нужно создавать проекты по оздоровлению и профилактике наиболее распространенных болезней на основе создания детям условий жизни, необходимых для нормального роста и развития.
2. Прогнозирование и предупреждение негативного влияния на состояние здоровья детей неблагоприятных социально-экономических и других условий и факторов. Для этого необходимо проводить мониторинг, с целью выявления наиболее уязвимых групп населения.
3. Создание новых социальных институтов, направленных на формирование социальной среды и личной мотивации людей на ведение здорового образа жизни. Разработка программ обучения здоровому поведению, здоровому жизненному стилю.
4. Формирование культуры питания. Необходимо сформировать у взрослых членов семьи понимание важности и значения правильного питания для здоровья ребенка и их собственного здоровья, расширить их осведомленность в этой области. Для этого организовывать лектории, клубы для родителей, выступление медиков, диетологов.
5. Развитие семейного спорта: совместные занятия родителей и их детей физической культурой и спортом.
6. Социальная реклама должна быть направлена на формирование у детей установки на ведение здорового образа жизни.
7. Государственная социальная политика должна быть ориентирована на создание соответствующих условий для ведения здорового образа жизни.
Литература
1. Государственный доклад о состоянии здоровья населения и деятельности учреждений здравоохранения в Вологодской области в 2009 году [Текст] / под ред. к.м.н. А.А. Колинько. – Вологда, 2010. – 85 с.
2. Дубэева, Т.Б. Социальные функции семьи в процессе формирования здорового образа жизни учащейся молодежи [Текст]: автореф. дис. … канд. соц. наук / Т.Б. Дубэева. – Улан-Удэ, 2008. – 24 с.
3. Европейская база данных «Здоровье для всех» [Электронный ресурс]. – Режим доступа: http//www.euro.who
4. Ионцев, В.А. Демографический фактор в развитии современной России [Текст] / В.А. Ионцев, И.А. Алешковский // Демографические перспективы России / под ред. Осипова Г.В., Рязанцева С.В. – М.: Экон-Информ, 2008. – С. 105–126.
5. Калинина, Т.В. Медико-социальная характеристика факторов, влияющих на формирование общественного здоровья [Текст] / Т.В. Калинина, И.В. Малахова // Вопросы организации и информатизации здравоохранения. – 2010. – № 2. – С. 4–9.
6. Лисицин, Ю.П. Здоровье и общественное здравоохранение [Текст] / Ю.П. Лисицын. – М., 2004. – 235 с.
7. Мировая статистика здравоохранения [Электронный ресурс]. – Женева: ВОЗ, 2010. – Режим доступа: http://www.who.int/whosis/whostat/2010/ru/index.html.
8. Молодежь в России. 2010 [Текст]: стат. сб. / ЮНИСЭФ; Росстат. – М.: ИИЦ «Статистика России», 2010. – 166 с.
9. Основные показатели деятельности учреждений здравоохранения Вологодской области за 2009 год [Текст]: стат. сб. – Вологда: Департамент здравоохранения Вологодской области, ГУЗ ДЗ ВО «МИАЦ», 1999–2010.
10. Регионы России. Социально-экономические показатели. – 2010 [Текст]: стат. cб. / Росстат. – М., 2010.
11. Репродуктивный потенциал населения региона: состояние, тенденции, перспективы [Текст] / кол. авт. под рук. д.э.н., проф. В.А. Ильина. – Вологда: ВНКЦ ЦЭМИ РАН, 2005. – 208 с.
12. Россия: рано умирать [Текст]: доклад Всемирного банка. – 2005, декабрь.
13. Сбор, обработка и порядок представления информации для гигиенической диагностики и прогнозирования здоровья детей в системе «Здоровье – среда обитания» [Текст]: Инструкция 2.4.2.11–14–26–2003: Постановление Главного гос. врача Республики Беларусь № 152 / М-во здравоохранения. – Минск, 2003. – 46 с.
14. Улумбекова, Г.Э. Здравоохранение в России. Что надо делать: научное обоснование «Стратегии развития здравоохранения РФ до 2020 года» [Текст] / Г.Э. Улумбекова. – М.: ГЕОТАР-Медиа, 2010. – 592 с.
15. Федеральная служба государственной статистики [Электронный ресурс]. – Режим доступа: http://www.gks.ru
16. Database PRED 3.0. – New York: UN, DESA, Population Division, 2002.
17. Halfon, N. Life course health development: an integrated framework for developing health, policy, and research / N. Halfon, M. Hochstein. – Milbank Q., 2002. – P. 433–479.
Н.А. Маланичева
Тенденции и особенности общественного здоровья в крупных городах[4]
Актуальность темы исследования. Стремительный переход людей от сельского образа жизни к городскому, наблюдавшийся в России на протяжении всего ХХ века, привёл к значительному росту численности населения урбанизированных территорий. Сегодня в крупных городах живёт большая часть населения и сосредоточен основной экономический потенциал страны. Крупные города, концентрируя основной производственный, квалификационный и интеллектуальный потенциал общества, являются сформировавшимися зонами инновационного и социально-экономического развития.
По данным Росстата на 1 января 2010 г., доля городского населения составила 73 % [23]. В Северо-Западном федеральном округе 83 % населения проживало в городской местности, в Вологодской области – 69 %.
Интенсивное развитие крупных городских систем с высоким качеством среды обитания и человеческим потенциалом является одним из приоритетов федеральной политики и рассматривается как фактор устойчивого экономического роста и один из ресурсов конкурентоспособности страны [18]. Большие города приобретают новую функцию – стимулятора новых производств, а потому они становятся принципиальным фактором фокусировки и интеграции народнохозяйственной деятельности. По данным ООН, города обеспечивают 60 % внутреннего валового продукта и 80 % экономического роста.

Н.А. Маланичева
Однако высокая концентрация производства, транспорта и большое количество людей на сравнительно небольших территориях обостряют ряд проблем, одной из которых является ухудшение показателей демографического развития и снижение потенциала здоровья населения. В то время как здоровье служит обязательным условием благосостояния и хорошего качества жизни, а также предпосылкой устойчивого экономического роста.
Новизна. В работе определена значимость различных факторов, оказывающих влияние на состояние здоровья населения крупных городов.
Предмет исследования: здоровье населения крупных городов.
Целью данного исследования является изучение основных проблем и тенденций общественного здоровья в крупных городах на основании социологических и статистических данных.
Для реализации поставленной цели необходимо решить следующие задачи:
1. рассмотреть теоретико-методологические подходы к исследованию здоровья;
2. выявить основные тенденции современного расселения населения и состояния его здоровья;
3. определить основные детерминанты здоровья для городского населения;
4. сформировать меры оптимизации здоровья населения в крупных городах.
Информационной базой исследования являются данные Всемирной организации здравоохранения, Федеральной службы государственной статистики и её Территориального органа по Вологодской области, Медицинского информационно-аналитического центра г. Вологды, данные социологического опроса в Северо-Западном федеральном округе и данные мониторинга здоровья населения в Вологодской области.
Концептуальные основы исследования здоровья населения Социально-экономическая сущность здоровья
Здоровье населения всегда рассматривалось как показатель благополучия нации, как системообразующий фактор, увязывающий культуру, экономику, экологию, просвещение, политику, био– и ноосферу, духовную жизнь человека. Ещё Ф. Бекон говорил, что здоровье – это одно из основных благ, которым человек обладает от рождения.
В настоящее время «максимально достижимый уровень здоровья» признаётся одним из неотъемлемых прав человека и народа, выступает как важнейшее условие и средство, как одна из конечных целей общественного развития. Наоборот, низкий уровень здоровья населения осознаётся как прямая угроза национальной безопасности любого государства, как препятствие его социально-экономическому прогрессу [11].
Здоровье зависит от различных внешних факторов: природных, эколого-гигиенических, производственных, но в первую очередь – социально-экономических. На зависимость общественного здоровья от социально-экономических условий ещё в XIX–XX вв. указывали выдающиеся врачи А.П. Доброславин, Е.А. Осипов, В.О. Португалов, Ф.Ф. Эрисман. Эрисман считал, что все главные факторы экономической жизни сильно влияют на состояние общественного здоровья и что нередко в них кроется ключ к объяснению чрезмерной болезненности и смертности народонаселения [14]. На данный факт неоднократно указывали и эксперты международных организаций. Так, на 52-й сессии Всемирной организации здравоохранения (ВОЗ) было подчеркнуто, что «все основные детерминанты здоровья связаны с социально-экономическими факторами… связь между состоянием здоровья и занятостью, уровнем доходов, социальной защитой, жилищными условиями и образованием четко прослеживается во всех европейских государствах» [5].
Здоровье – это сложная социально-экономическая категория, тесно взаимосвязанная с развитием общества. С одной стороны, высокий уровень экономического развития государства позволяет инвестировать в развитие человеческого капитала, в том числе в здравоохранение и охрану здоровья населения, что способствует повышению продолжительности жизни и укреплению здоровья. Для стран с развитыми экономиками характерны лучшие показатели здоровья населения.
Однако существует и обратная связь: состояние здоровья населения, его демографические характеристики оказывают влияние на потенциал экономического развития. Качество населения (человеческий капитал), характеризуемое показателями общественного здоровья и профессиональной квалификации, является главным двигателем и ограничителем развития любой экономики. Будучи важнейшим свойством трудовых ресурсов общественное здоровье оказывает огромное влияние на социально-экономическое развитие, приобретая наряду с такими качественными характеристиками рабочей силы, как образование, квалификация, роль ведущего фактора экономического роста. Сущность здоровья как социально-экономической категории проявляется и в том, что любая потеря здоровья приводит к неизбежным расходам на его восстановление и экономическим потерям, обусловленным снижением возможностей осуществления общественно полезной деятельности.
Крепкое здоровье и высокая продолжительность жизни являются залогом повышения уровня экономического развития страны в целом и отдельных её регионов. Экспертами Всемирной организации здравоохранения доказано, что улучшение качества и увеличение продолжительности жизни населения ведёт к ускорению экономического развития государства, росту его валового национального продукта [8].
Социально-экономические условия, выраженные в уровне доходов населения, качестве жизни, находят незамедлительное отражение в социальном самочувствии и здоровье. На влияние социально-экономического статуса на здоровье населения указывает в своих исследованиях В.С. Тапилина [21].
Многими авторами здоровье рассматривается как одна из важнейших составляющих человеческого капитала. Теория человеческого капитала оформилась в 60-х годах XX века. Первым, кто ввел в научный оборот понятие «человеческий капитал», был известный американский экономист, лауреат Нобелевской премии Теодор Уильям Шульц. В дальнейшем идеи Шульца были дополнены и систематизированы профессором экономики и социологии Чикагского университета Гэри Стэнли Беккером в книге «Человеческий капитал» (1964).
На современном этапе развития мирового сообщества вложения в человеческий фактор объективно рассматриваются в качестве приоритетного направления инвестирования в целях обеспечения поступательного экономического роста. Инвестиции в человека способствуют увеличению человеческого капитала, на долю которого, судя по данным Всемирного банка, приходится 64 % мирового богатства [10].
Факторы формирования здоровья на современном этапе эпидемиологического перехода
Здоровье невозможно оценить в отрыве от социальной экономики, от условий и возможностей человеческой жизнедеятельности, той конкретной среды, в которой находится человек. Общественное здоровье как интегральное качество системы общественных отношений, условий и образа жизни всесторонне раскрывается только с помощью системного подхода [24].
Поэтому наряду с оценкой здоровья населения важной задачей исследования выступает характеристика факторов, влияющих на его состояние.
Классической теорией, объясняющей эволюцию общественного здоровья и факторов, определяющих его на всем протяжении существования человечества, является предложенная Абделем Омраном в 1971 г. концепция эпидемиологического перехода. Суть эпидемиологического перехода заключается в том, что по достижении тем или иным обществом определённого, достаточно высокого уровня развития начинается быстрая, по историческим меркам, смена одного типа патологии, определяющей характер заболеваемости и смертности населения, другим её типом, одной структуры болезней и причин смерти – другой.
А. Омран выделил три этапа эпидемиологического перехода: 1) период эпидемий и голода; 2) период снижающейся пандемии; 3) период дегенеративных и профессиональных заболеваний, характеризующийся дальнейшим снижением смертности, которая стабилизируется на сравнительно низком уровне. В 1986 г. S.J. Olshansky и A.B. Ault развили теорию эпидемиологического перехода, добавив четвертую стадию – период отложенных (или отсроченных) дегенеративных заболеваний. В это время актуальными остаются те же заболевания, которые определяли третью стадию эпидемиологического перехода, но смерть от которых наступает в гораздо более старших возрастах [20].
В структуре «новой» патологии (3 и 4 стадии эпидперехода) на первое место выходят заболевания и причины смерти, обусловленные преимущественно эндогенными факторами, связанными с естественным старением человеческого организма, возрастным снижением его жизнеспособности, сопротивляемости неблагоприятным внешним воздействиям. Прежние болезни острого действия, имевшие чаще экзогенную природу и поражавшие людей всех возрастов, особенно детей, замещаются хроническими болезнями преимущественно эндогенной этиологии, прежде всего болезнями сердечно-сосудистой системы либо онкологическими заболеваниями, обусловленными в основном влиянием канцерогенных факторов накапливающегося действия («квазиэндогенные» факторы). Эти болезни и выступают в новых условиях в качестве ведущих причин смерти [3].
Экономические, социальные, культурные перемены воздействуют на уровень смертности и продолжительности жизни не непосредственно, а через изменение структуры причин смерти. Коренная перестройка этой структуры, составляющая суть эпидемиологического перехода, служит главным механизмом, опосредующим влияние всесторонней трансформации общества на уровень смертности.
В настоящее время борьба со смертностью все более связана с успехами медицины и деятельностью высокоэффективной и развитой системы здравоохранения. На основе дозированных физических нагрузок, рационального питания и вообще «здорового» образа жизни в сочетании с медикаментозным лечением существенно снижается смертность пожилых людей. Успехи достигаются в лечении врожденных заболеваний, начинается массовое выхаживание детей, родившихся при малом сроке беременности. Рост продолжительности жизни сегодня рассматривается как норма демографической динамики.
По мнению С.А. Томилина, опыт западных стран свидетельствует о том, что ко времени второй эпидемиологической революции система здравоохранения и население как бы меняются местами – инициатива переходит к населению, поскольку причины сегодняшних заболеваний часто лежат вне зоны влияния медицины: в питании, в окружающей среде, в привычках, в поведении, в стиле жизни. Соответственно и новая стратегия борьбы со смертью требует, чтобы на смену пассивному принятию проводимых органами здравоохранения мер пришла заинтересованная индивидуальная активность самого населения, направленная на оздоровление среды обитания, всего образа жизни, заботу о своём здоровье, искоренение вредных и внедрение полезных привычек и т. п. [22].
В современном мире значительное влияние на здоровье и демографическое развитие оказывают процессы глобализации и урбанизации. Урбанизация определяется как исторический процесс повышения роли городов и городского образа жизни в развитии общества, который вызывает социально-экономические преобразования города на основе интенсивного развития индустрии, транспорта, жилищного строительства, массовых коммуникаций, отраслей обслуживания путём распространения городского образа жизни, городской иерархии ценностей [13]. По оценкам ВОЗ, в XXI веке в связи с этими процессами темп изменений факторов, влияющих на здоровье населения, ускорится и будет нарастать.
Исследователи отмечают связь социального капитала и здоровья с местом проживания населения. В некоторых случаях место проживания само может являться капиталом: развитая инфраструктура, близость медицинских учреждений, наличие коммуникаций (телефон, дороги). Британские ученые на основе данных нескольких исследований доказали, что здоровье зависит от социального капитала, уровень которого, в свою очередь, зависит от места жительства индивида, а также от его характеристик [26]. Здоровье зависит от величины населенного пункта, плотности населения, разнообразия и сложности застройки, от условий жизни, которые, в свою очередь, формируются муниципальными, национальными и глобальными направлениями развития [25].
Городская среда, становясь местом проживания всё большего количества людей, оказывает двоякое воздействие на их здоровье. В крупных городах переплелись как положительные, так и отрицательные стороны научно-технического прогресса и индустриализации. С одной стороны, в городах, в силу лучших социально-экономических условий, показатели здоровья относительно выше, чем в сельской местности. С другой стороны, городское население подвержено значительному количеству рисков, являющихся издержками урбанизации. Современный город – это большая концентрация людей, постоянное воздействие урбанизированного и индустриализированного окружения на повседневный быт и образ жизни. Процессы урбанизации и индустриализации приводят к загрязнению окружающей среды. Социальные условия, информационные и интеллектуальные перегрузки вызывают у горожан психическую усталость, эмоциональные стрессы. В крупных городах человеческий организм затрачивает больше сил на сопротивление внешним воздействиям. С возрастом негативное воздействие техногенных факторов, распространённых на урбанизированных территориях, накапливается и снижает сопротивляемость человеческого организма. Таким образом, городское население всё больше подвергается квазиэндогенным причинам смертности.

