
Сборник задач по дисциплине «Инвестиции»

Введение
Изучение дисциплины «Инвестиции» ставит своей целью не только формирование у студентов теоретических знаний, но и практических навыков, которые позволят им в последующей деятельности профессионально принимать адекватные инвестиционные решения. В последнее время были опубликованы ряд работ, в которых рассматриваются вопросы теории и практики проведения финансово-экономических расчетов. Недостатками имеющейся литературы, на наш взгляд, являются рассмотрение расчетных формул без их выводов и использование исходных данных, западной практики. Между тем, при изучении вопросов, связанных с применением математических методов в данной предметной области, целесообразно давать вывод необходимых расчетных формул на основании понятных положений, соответствующих сущности рассматриваемых явлений, что позволяет, с одной стороны, более осознанно использовать математические формулы и, с другой – лучше понять с помощью математики сами явления. Такой подход и принят в предлагаемом сборнике задач, в котором представлены расчеты, проводимые при оценке эффективности инвестиционных проектов, а также некоторые расчеты, проводимые при оценке инвестиционных качеств и инструментов фондового рынка.
Данный сборник задач предназначен для семинарских, практических, занятий и самостоятельной работы студентов дневного отделения, обучающихся по направлению 38.03.01 «Экономика».
Сборник задач состоит из двух разделов. В первом разделе рассматривается тема «Оценка эффективности инвестиционного проекта», в которой дается краткий теоретический обзор основных показателей эффективности инвестиционного проекта, методические указания по выполнению практических заданий и задачи для решения. Во втором разделе рассматривается тема «Оценка инвестиционных качеств и инструментов фондового рынка», где отдельно характеризуется каждый вид ценной бумаги (долевые, долговые, производные) с точки зрения оценки их инвестиционных качеств, также представлен механизм решения типовых задач и задачи для самостоятельного решения. Количество задач в каждом разделе сборника представлено с учетом сложности для самостоятельного освоения указанных тем и методики решения задач.
В каждом разделе представлен список литературы, который поможет студенту самостоятельно освоить предлагаемые темы.
Представленные задачи выполняются студентами письменно. Результаты выполненных работ проверяются преподавателем и проставляются в текущий или контрольный блок итоговой аттестации студентов.
Раздел 1
Тема. Оценка эффективности инвестиционного проекта.
1.1 Теоретические основы оценки эффективности инвестиционного проекта
Цель самостоятельного изучения данной темы состоит в усвоении студентами порядка расчета основных показателей эффективности инвестиционного проекта.
Основной задачей данной темы является обучение студентов статическим и динамическим методам оценки эффективности инвестиционных проектов и принятию инвестиционного решения на основе полученных данных.
Согласно методическим рекомендациям по оценке эффективности инвестиций и их отбору для финансирования, эффективность инвестиций характеризуется системой показателей, отражающих соотношение связанных с инвестиционными затратами и результатами оценки, позволяющих судить об экономических преимуществах одних инвестиций над другими.
Показатели эффективности инвестиций можно классифицировать по следующим признакам:
1. По виду обобщающего показателя, выступающего в качестве критерия экономической эффективности инвестиций:
– абсолютные, в которых обобщающие показатели определяются как разность между стоимостными оценками результатов и затрат, связанных с реализацией проекта;
– относительные, в которых обобщающие показатели определяются как отношение стоимостных оценок результатов проекта к совокупным затратам на их получение;
– временные, которыми оценивается период окупаемости инвестиционных затрат.
2. По методу сопоставления разновременных денежных затрат и результатов:
– статические, в которых денежные потоки, возникающие в разные моменты времени, оцениваются как равноценные;
– динамические, в которых денежные потоки, вызванные реализацией проекта, приводятся к эквивалентной основе посредством их дисконтирования, обеспечивая сопоставимость разновременных денежных потоков.
Рассмотрим статические показатели: срок окупаемости инвестиций (PP); коэффициент эффективности инвестиций (ARR).
Срок окупаемости инвестиций (РР).
Под сроком окупаемости понимается период времени от момента начала реализации проекта до того момента эксплуатации объекта, в который доходы от эксплуатации становятся равными первоначальным инвестициям (капитальные затраты и эксплуатационные расходы).
Срок окупаемости измеряется в годах или месяцах.
Если не учитывать фактор времени, т.е. когда равные суммы дохода, получаемые в разное время, рассматриваются как равноценные, то показатель срока окупаемости можно определить по формуле:

(1)
где:
CI– размер инвестиций;
P – ежегодный чистый доход.
Иначе говоря, период окупаемости – продолжительность времени, в течение которого не дисконтированные прогнозируемые поступления денежных средств превысят не дисконтированную сумму инвестиций, т.е. это число лет, необходимых для возмещения стартовых инвестиционных расходов.
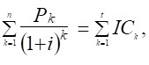
Если доход по годам распределяется неравномерно, то срок окупаемости рассчитывается прямым подсчетом числа лет, в течение которых инвестиции будут погашены кумулятивным доходом. Общая формула расчета показателя имеет вид:
PP = n (2)
при котором
где:

n – количество лет инвестирования;
Pk– годовой доход за период k ;
IC – объем инвестиционных ресурсов.
Причем в данном случае срок окупаемости можно определить с учетом и без учета дисконтированных денежных поступлений, рассчитанный либо на основе среднегодовой величины денежных поступлений либо на основе нарастания денежных средств по годам до достижения величины капитальных вложений.
При учете дисконтированных денежных поступлений под сроком дисконтированной окупаемости – (РР) понимают продолжительность периода, в течение которого сумма чистых доходов, дисконтированных на момент завершения инвестиций, равна сумме инвестиций.

где:

– сумма всех инвестиций.
Основные недостатки показателя срока окупаемости как меры эффективности заключается в том, что:
– он не учитывает весь период функционирования инвестиций и, следовательно, на него не влияет вся та отдача, которая лежит за пределами срока окупаемости,
– не учитывается временная стоимость денег,
– не определен значимый уровень, с которым может быть сравнен период окупаемости.
Поэтому данный показатель не должен служить критерием выбора, а может использоваться лишь в виде ограничения при принятии решения. То есть если срок окупаемости проекта больше, чем принятые ограничения, то он исключается из списка возможных инвестиционных проектов.
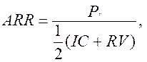
Коэффициент эффективности инвестиции (АRR)
Другим показателем статической финансовой оценки проекта является коэффициент эффективности инвестиций (ARR). Данный коэффициент называют также учетной нормой прибыли или коэффициентом рентабельности проекта. Существует несколько алгоритмов исчисления ARR.
Расчета основан на отношении среднегодовой величины прибыли (за минусом отчислений в бюджет) от реализации проекта за период к средней величине инвестиций:

где:
Рr – среднегодовая величина прибыли (за минусом отчислений в бюджет) от реализации проекта;
IC – объем инвестиционных ресурсов;
RV – остаточная стоимость активов.
Иногда показатель рентабельности проекта рассчитывается на основе первоначальной величины инвестиций:

Рассчитанный на основе первоначального объема вложений, он может быть использован для проектов, создающих поток равномерных доходов (аннуитет) на неопределенный или достаточно длительный срок.
Преимуществом показателя эффективности инвестиций является простота расчета. В то же время он имеет и существенные недостатки. Этот показатель не учитывает стоимости денег во времени (не предполагает дисконтирования), соответственно, не учитывает распределения прибыли по годам, а, следовательно, применим только для оценки краткосрочных проектов с равномерным поступлением доходов.
Поскольку метод основан на использовании бухгалтерских характеристик инвестиционного проекта – среднегодовой величине прибыли, то коэффициент эффективности инвестиций не дает количественной оценки прироста экономического потенциала компании. Однако, данный коэффициент предоставляет информацию о влиянии инвестиций на бухгалтерскую отчетность компании.
К динамическим методам относятся: показатели: чистый дисконтированный доход или чистая текущая стоимость (ЧДД, NPV); индекс рентабельности инвестиции (PI); внутренняя норма прибыли (рентабельности) (IRR).
Чистый дисконтированный доход – чистая текущая стоимость(NPV)
Чистый дисконтированный доход (Net Present Value—NPV) представляет собой дисконтированный показатель ценности проекта, определяемый как сумма дисконтированных значений поступлений за вычетом затрат, получаемых в каждом году в течение срока жизни проекта.
Суть критерия состоит в сравнении текущей стоимости будущих денежных поступлений от реализации проекта с инвестиционными расходами, необходимыми для его реализации.
NPV для постоянной нормы дисконта и разовыми первоначальными инвестициями определяют по следующей формуле:

где:
IC – величина первоначальных инвестиций;
СFt – денежный поток от реализации инвестиций в момент времени t;
t – шаг расчета (год, квартал, месяц и т. д.);
i – ставка дисконтирования.
Денежные потоки должны рассчитываться в текущих или дефлированных ценах. При прогнозировании доходов по годам необходимо, по возможности, учитывать все виды поступлений как производственного, так и непроизводственного характера, которые могут быть ассоциированы с данным проектом. Так, если по окончании периода реализации проекта планируется поступление средств в виде ликвидационной стоимости оборудования или высвобождения части оборотных средств, то они должны быть учтены как доходы соответствующих периодов.
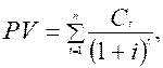
В основе расчетов по данному методу лежит посылка о различной стоимости денег во времени. Процесс пересчета будущей стоимости денежного потока в текущую, называется дисконтированием.
Ставка i, по которой происходит дисконтирование, называется ставкой дисконтирования (дисконта) ,

где:
Сt -общая накопленная величина поступлений за период t.
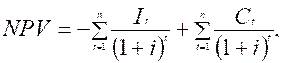
Если проект предполагает не разовую инвестицию, а последовательное инвестирование финансовых ресурсов в течение ряда лет, то формула для расчета NPV модифицируется следующим образом:

где:
It– инвестиционные затраты в момент времени t;
Сt – денежный поток от реализации инвестиций в момент времени t;
t– шаг расчета (год, квартал, месяц и т. д.);
i – ставка дисконтирования.
Условия принятия инвестиционного решения на основе данного критерия сводятся к следующему:
– если NPV > 0, то проект следует принять;
– если NPV < 0, то проект принимать не следует;
– если NPV = 0, то принятие проекта не принесет ни прибыли, ни убытка.
Отрицательное значение чистой текущей стоимости свидетельствует о нецелесообразности принятия решений о финансировании и реализации проекта, поскольку если NPV < 0, то в случае принятия проекта ценность компании уменьшится, т. е. владельцы компании понесут убыток и основная целевая установка не выполняется.
Положительное значение чистой текущей стоимости свидетельствует о целесообразности принятия решений о финансировании и реализации проекта, а при сравнении вариантов вложений предпочтительным считается вариант с наибольшей величиной NPV, поскольку если NPV > 0, то в случае принятия проекта ценность компании, а, следовательно, и благосостояние ее владельцев увеличатся. Если NPV = 0, то проект следует принять при условии, что его реализация усилит поток доходов от ранее осуществленных проектов вложения капитала.
Показатель чистого дисконтированного дохода учитывает стоимость денег во времени, имеет четкие критерии принятия решения и позволяет выбирать проекты для целей максимизации стоимости компании. Кроме того, данный показатель является абсолютным показателем и обладает свойством аддитивности, что позволяет складывать значения показателя по различным проектам и использовать суммарный показатель по проектам в целях оптимизации инвестиционного портфеля.
Конец ознакомительного фрагмента.
Текст предоставлен ООО «ЛитРес».
Прочитайте эту книгу целиком, купив полную легальную версию на ЛитРес.
Безопасно оплатить книгу можно банковской картой Visa, MasterCard, Maestro, со счета мобильного телефона, с платежного терминала, в салоне МТС или Связной, через PayPal, WebMoney, Яндекс.Деньги, QIWI Кошелек, бонусными картами или другим удобным Вам способом.
Приобретайте полный текст книги у нашего партнера:

