
Монтажные швы. Системы монтажа. Сертификация в оконной индустрии РФ

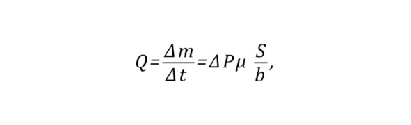
где ΔP – это перепад парциального давления пара, вызывающий перенос влаги, S – площадь образца.
Поток Qп через слой герметика исходной толщины представим как сумму потока в местах расположения пор Qп/п и потока вне пор Qп/в. Из (1) поток Qп/в вне пор равен:

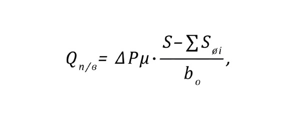
где S – это общая площадь рассматриваемого слоя герметика, ∑ Søi – это сумма площадей сечения пор, получаемых при подрезе пены.
Для оценки значения ∑ Søi рассмотрим модель пены, поры которой на срезе диаметром 90 мм имеют распределение по размерам, как указано в табл. 2. Данная модель, как мы покажем далее, является оценкой «сверху».
Таблица 2. Распределение открытых пор на срезе пены в принятой расчетной модели

Общую площадь сечения пор можно рассчитать, суммируя площади сечения пор разного размера с учетом их количества (2) :

где Ni – количество пор с радиусом ri, ρi = Ni /S – плотность распределения пор с радиусом ri по образцу.
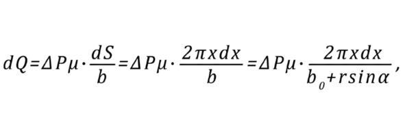
Для удобства расчета потока пара в местах расположения пор Qп/п будем считать, что все открытые поры имеют форму половин шара. Поток через фрагмент слоя такой формы приближенно (без учета поперечного переноса пара) рассчитаем, просуммировав значения потоков dQ через бесконечно тонкие трубки с сечением радиуса x и толщиной стенок dx (рис. 17).

Рисунок 17. Схема расчета потока пара через фрагмент слоя герметика с выпуклостью в области расположения поры

где dS – площадь поперечного сечения трубки, b – ее высота, bo = 4,5 мм – максимальная толщина слоя герметика после усадки (равная сумме минимальной толщины 3 мм и допуска нанесения 1,5 мм), r – радиус поры, α – угловое положение нижнего кольцевого края трубки.
Тогда для общего потока через фрагмент с порой, выполнив интегрирование по угловому положению кольцевого края трубки α, получаем:



Суммарный поток Qп/п через все фрагменты с порами разного размера с учетом (2) составит:

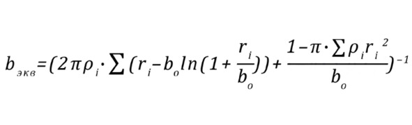
Согласно (1), поток пара через эквивалентный плоский слой герметика равен толщиной bэкв равен:

Приравнивая поток пара Qп = Qп/п + Qп/в через слой герметика в случае нанесения на подрезанную пену и поток пара Qэкв через эквивалентный плоский слой герметика, получим выражение для эквивалентной толщины:
При принятой выше модели распределении пор величина bэкв составила 5 мм, что на ∆b = 0,5 мм больше максимальной толщины нанесения, измеряемой после усадки. Именно эти 0,5 мм необходимо «добавить» к максимально допустимой толщине для проведения испытаний на сопротивление паропроницанию слоя герметика.
Таким образом, мы установили, что герметик Стиз А должен обладать такой паропроницаемостью, чтобы слой толщиной 5 мм (3+1,5+0,5=5) удовлетворял требованию ГОСТ 30971 по сопротивлению паропро- ницанию наружного слоя, что и было введено как технический показатель качества в Технические условия. При этом важно отметить, что наносить герметик такой толщиной не надо! Толщина нанесения герметика, измеряемая после усадки, должна составлять 4,5—1,5 мм. Толщина 5 мм «появляется» только при испытании на сопротивление паропроницанию.
Обоснование принятых выше геометрических размеров
Обоснуем допустимость принятой выше системы геометрических размеров образца пены и распределения пор в образце. Для этого сравним использованную в расчете модель с реальными монтажными пенами.
Производители монтажных пен разделяют пены на бытовые (имеющие множество пор больших диаметров) и профессиональные (с малыми размерами пор). Для выполнения работ по монтажу окон рекомендуется использовать профессиональные пены, так как их «выход» из баллона больше, а вторичное расширение и усадка меньше. Мы сравним использованную в расчете модель с образцами бытовых пен, потому что если наша расчетная модель окажется более «жесткой» в этом сравнении, то ее тем более можно использовать для сравнения с профессиональными пенами.
Был изготовлен эскизный макет (рис. 18, 19) использованной в расчете модели. Также были изготовлены образцы подрезанных монтажных пен (рис. 20, 21, 22) с такими же геометрическими размерами, что и в использованной в расчете модели – диаметром 90 мм, по размеру имеющейся опалубки. Фотографии образцов пен наглядно показывают, что использованная в расчете модель имеет более высокую плотность распределения и большие диаметры пор, чем реальные бытовые пены (при условии соблюдения указаний производителя по эксплуатации). Таким образом, использование для расчета вышеописанной модели обоснованно.

Рисунок 18. Заготовка макета с использованными в расчете геометрическими размерами. Радиус 0,5 мм не использован

Рисунок 19. Бумажный макет использованной в расчете модели. «Поры» с радиусом 1, а также часть «пор» с радиусом 2 не размещены на «образце» пены

Рисунок 20. Срез образца бытовой пены №1. Диаметр образца 90 мм

Рисунок 21. Срез образца бытовой пены №2. Диаметр образца 90 мм

Рисунок 22. Срез образца бытовой пены №3. Диаметр образца 90 мм
Глава 7. Использование понятия «сопротивление паропроницанию» в процессе устройства монтажного шва
Акриловые герметики нашего производства (Стиз А и Стиз В) выделяются среди других герметиков для монтажа окон. В том числе – своей ценой. Более высокая цена – это плата за их характеристики: во-первых, удовлетворяющую требованию ГОСТ 30971 долговечность в 20 условных лет, а во-вторых, удовлетворяющие тому же ГОСТ значения сопротивления паропроницанию на рабочих толщинах. И если долговечность обычно вопросов не вызывает, то про сопротивление паропроницанию стоит поговорить подробнее.
Сопротивление паропроницанию – это характеристика, которая показывает, насколько сильно изделие «сопротивляется» проникновению парообразной влаги сквозь него. Для чего она указана в ГОСТ 30971? Требование по сопротивлению паропроницанию установлено, чтобы обеспечить долговечную работу монтажного шва. Объясним. В монтажном шве теплоизолятор (пена) должна быть защищена от влаги: вода имеет в 20 раз больший коэффициент теплопроводности, поэтому, попадая в пену, резко ухудшает ее свойства. Наши испытания показывают, что набор пеной воды в количестве 13% по массе приводит зимой к снижению температуры на внутренней стороне шва на 10 °С (по сравнению с сухим швом). Понятно, что даже 1% влаги в пене повысит ее коэффициент теплопроводности, поэтому температура на внутренней стороне даже такой, слегка намокшей пены будет зимой меньше, чем у сухой пены. Но вряд ли температура на шве снизится в этом случае так, чтобы это было заметно. А 10 градусов заметны будут. Поэтому 13% мы считаем критическим уровнем влагосодержания11.
Как именно вода может попасть в монтажную пену? Во-первых, во время дождя, поэтому снаружи пену закрывают гидроизоляционным слоем. Во-вторых, в пене может конденсироваться влага, содержащаяся в воздухе, поток которого в зимнее время направлен из помещения на улицу (так как абсолютная влажность помещения зимой всегда выше, чем на улице). Чтобы существенно уменьшить этот эффект, изнутри пену закрывают пароизоляционным слоем. В-третьих, влага может попасть в пену из стены: если в ней есть микротрещины, то во время дождя влага из намокшей стены будет через эти микротрещины попадать в пену. Оконные компании обычно не занимаются восстановлением стеновых проемов, и даже если занимаются, то это не гарантирует отсутствие таких трещин, ведь они могут появиться во время эксплуатации здания. Впрочем, монтажная пена быстро высыхает – в среднем за 4 дня, если ничто не препятствует ее высыханию. Поэтому наружный слой делают таким, чтобы он не «сопротивлялся» испарению влаги из пены, то есть имел низкое сопротивление паропроницанию. Согласно п. А.2.2 ГОСТ 30971—2012 необходимо, чтобы наружный слой имел значение сопротивления паропроницанию не более 0,25 Па∙м2∙ч/мг.
Важно отметить, что сопротивление паропроницанию слоя материала прямо пропорционально толщине этого слоя (так как при увеличении толщины слоя парообразной влаге надо преодолеть большее расстояние). Поэтому изменяя толщину наружного слоя, можно получить выполнение условия «не более 0,25 Па∙м2∙ч/мг» на любом материале. Другими словами, для каждого материала существует своя собственная максимально допустимая толщина нанесения. Как было показано в предыдущей главе, для герметика Стиз А максимально допустимая толщина нанесения составляет 5 мм. Ближайший к нам конкурент, исходя из имеющихся на оконном рынке заключений независимых лабораторий, имеет на толщине 5 мм значение сопротивления паропроницанию, равное 0,5 Па∙м2∙ч/мг, то есть, с учетом прямо пропорциональной связи сопротивления слоя и его толщины (подробнее – в Главе 8), максимально допустимую толщину, равную 2,5 мм12. Формально, это не удовлетворяет требованию ГОСТ 30971. Но нас часто спрашивают: «И что такого? Что плохого может случиться?». Вопрос резонный, ведь сопротивление паропроницанию – это не масса или температура. Тела с разной массой или температурой легко отличить друг от друга, взяв их в руки. А как «пощупать» сопротивление паропроницанию? Мы подумали и нашли способ.
Сопротивление паропроницанию слоя наружного герметика показывает, по сути, скорость высыхания монтажной пены, которую этот слой закрывает со стороны улицы. Значит, эту скорость высыхания и надо замерить. Мы подготовили несколько образцов монтажных пен, промочили их до максимального влагосодержания и поместили в пароизоляционные контуры. Первую группу образцов закрыли сверху слоем Стиз А (рис. 23).

Рисунок 23. Схема образца для испытаний
Вторую – закрыли слоем конкурентного материала с максимально допустимой толщиной нанесения в 2,5 мм (назовем его для удобства
«строительным акрилом»), при этом наносили его тоже толщиной 5 мм. Третью группу образцов не стали ничем закрывать. Далее измеряли скорость высыхания образцов пены (табл. 3).
Таблица 3. Зависимость влагонакопления в монтажной пене от времени

Существенна ли полученная разница? Чтобы ответить на этот вопрос, построим графики (рис. 24) высыхания образцов пен и посмотрим, за какое время они высохнут до критического уровня влагосодержания, который был выбран нами равным 13%.

Рисунок 24. Зависимость влагосодержания в монтажной пене от времени
Мы видим, что оставленная открытой пена высыхает до критического уровня влагосодержания через 6,1 дня после начала испытаний. Пена, закрытая Стиз А – через 9,4 дня, а пена, закрытая строительным акрилом – через 15,6 дней. А что это означает для реальной эксплуатации герметиков? Рассмотрим такой случай: установлены окна, в стене есть микротрещины, в ноябре пошел дождь, и пена промокла. А через 10—12 дней температура опустилась сильно ниже 0 °С. Тогда если пена была закрыта Стиз А – проблем нет13. А если строительным акрилом – то проблемы у жильцов будут, так как шов промерзнет. Вот такую разницу уже можно «пощупать». Добавим сюда разную долговечность герметика (у Стиз А она подтверждена, например, независимым испытанием в ГУП «НИИМосстрой», выполненным при условии свободной14 выборки образцов для испытаний) и получим ответ, почему Стиз А дороже обычных акрилов. Мы полагаем, что повышенная вероятность промерзания шва и его пониженная долговечность (а значит, и пониженный срок эксплуатации всего окна) не стоит экономии 20—30 рублей на одном окне (то есть всего 0,2—0,3% от его стоимости при цене в 10 000 руб.). Поэтому мы никогда не производили и не будем производить более дешевые акрилы, не имеющие необходимые по ГОСТ 30971 долговечность и сопротивление паропроницанию на рабочей толщине слоя. И что-то нам подсказывает, что клиенты оконных компаний – жильцы квартир и домов, в которых устанавливают окна эти компании – согласились бы доплатить дополнительные 20—30 рублей на окне, если бы поняли, за что именно они доплачивают.
Глава 8. Взаимосвязь толщины слоя нанесения герметика и показателя сопротивления паропроницанию
При установке оконного блока крайне важным этапом является обеспечение сопряжения окна со стеновым проемом. Действительно, в полученной конструкции этот элемент сопряжения, называемый монтажным швом, считается самой проблемной зоной: с ним связано до половины всех рекламаций по работе окна.
Вообще, ГОСТ 30971 «Швы монтажные узлов примыканий оконных блоков к стеновыми проемам» задает требования к различным элементам монтажного шва. В том числе и к наружному слою. Например, он должен быть водонепроницаемым при определенном давлении воды, иначе при сильном дожде под давлением ветра влага попадет внутрь шва. Еще он не должен препятствовать естественному движению пара изнутри наружу, а для этого материал наружного слоя должен быть паропроницаемым. Но в ГОСТ прописано требование не к материалу наружного слоя, а именно к самому слою: наружный слой должен иметь сопротивление паропроницанию не более 0,25 Па∙м2
Конец ознакомительного фрагмента.
Текст предоставлен ООО «Литрес».
Прочитайте эту книгу целиком, купив полную легальную версию на Литрес.
Безопасно оплатить книгу можно банковской картой Visa, MasterCard, Maestro, со счета мобильного телефона, с платежного терминала, в салоне МТС или Связной, через PayPal, WebMoney, Яндекс.Деньги, QIWI Кошелек, бонусными картами или другим удобным Вам способом.
Примечания
1
Здесь и далее под трещинами мы понимаем полости в монтажной пене, схематичный вид которых представлен на рис. 3.
2
Описание всего эксперимента приводим в статье «Отчет о работе по сравнению воздухопроницаемости различных материалов», с которым можно ознакомиться у нас на сайте: https://www.sazi-group.ru/articles/airpermeability/.
3
Иногда герметики называют мастиками. Это неверно – согласно классификатору ОК 034—2014 (КПЕС 2008) это разные группы материалов, которые, наряду с замазками, шпатлевками, пастами и т.д., относятся к группе «Материалы лакокрасочные и аналогичные для нанесения покрытий прочие; сиккативы готовые».
4
Разумеется, в случае качественного монтажа. На практике же обычно не обращают внимание на такие «мелочи», жертвуя качеством монтажного шва.
5
Например, у ведущего на начало 2023 года производителя лент максимальный размер перекрываемого зазора – 30 мм.
6
При этом в Технических условиях на Стиз А и Стиз В этого показателя нет. Вместо него мы контролируем долговечность герметика.
7
Вода при охлаждении от 3,71 °С до 0 °С увеличивается в своем объеме примерно на 10%.
8
Более правильно говорить о паропроницаемости герметика и сопротивлении паро- проницанию слоя из него. Подробнее этот вопрос рассмотрен в Главах 8—11.
9
Эта величина справедлива только для акриловых герметиков: именно их используют для монтажа окон в подавляющем большинстве случаев.
10
Отметим, что толщину герметика измеряют в области между порами.
11
Возможно, кто-то и потерю 3 °С посчитает слишком большой, поэтому для него критический уровень влагосодержания будет меньше, чем 13%.
12
Как мы покажем в Главе 10, прямо пропорциональная связь между сопротивлением паропроницанию и толщиной слоя – вопрос неоднозначный. Так что скорее всего здесь не 2,5 мм, а около 1 мм.
13
Очевидно, что с этой точки зрения пену вообще лучше ничем не закрывать снаружи. Но так, разумеется, нельзя: она будет намокать во время дождя и разрушаться под действием солнечного света.
14
Свободная выборка образцов выполняется представителем испытательного центра непосредственно на складе готовой продукции производственного предприятия, что исключает возможность передачи на испытания несерийных образцов, специально подготовленных для прохождения испытания.
Приобретайте полный текст книги у нашего партнера:

