
Математические формулы и графики функций. 300 формул, 120 графиков

Математические формулы и графики функций
300 формул, 120 графиков
С. Н. Старков
© С. Н. Старков, 2023
ISBN 978-5-0060-9938-8
Создано в интеллектуальной издательской системе Ridero
Некоторые обозначения

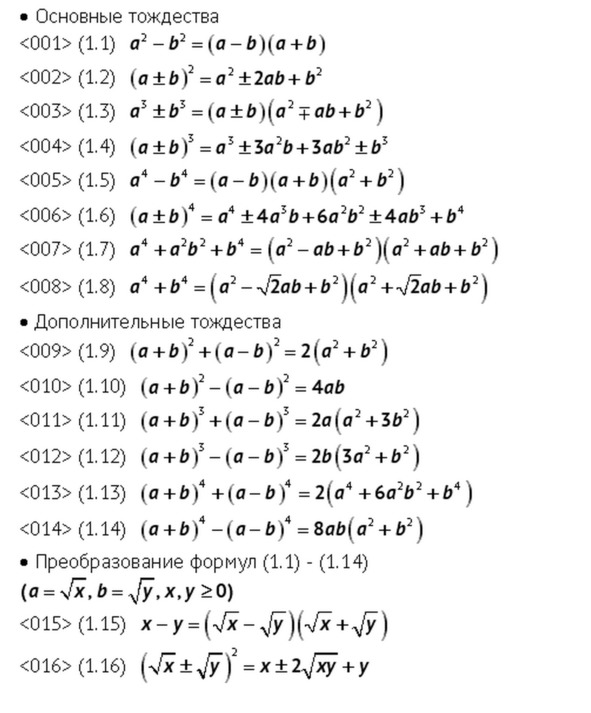
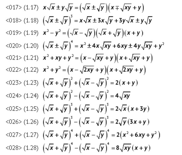
§1. Формулы сокращенного умножения и другие тождества, <001> – <028>


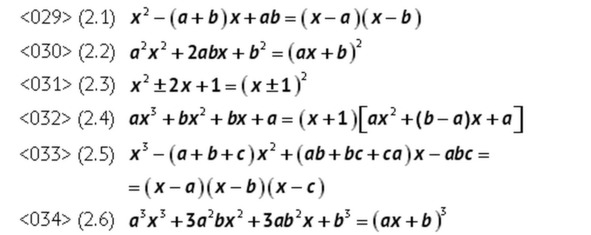
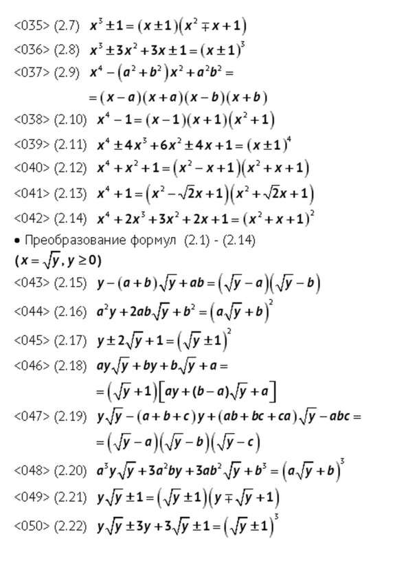
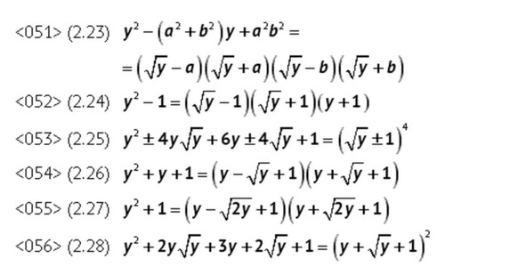
§2. Формулы разложения многочленов на множители, <029> – <056>



§3. Действия с дробями, <057> – <064>

§4. Пропорции, <065>

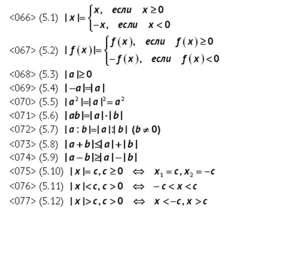
§5. Модуль (абсолютная величина), <066> – <077>

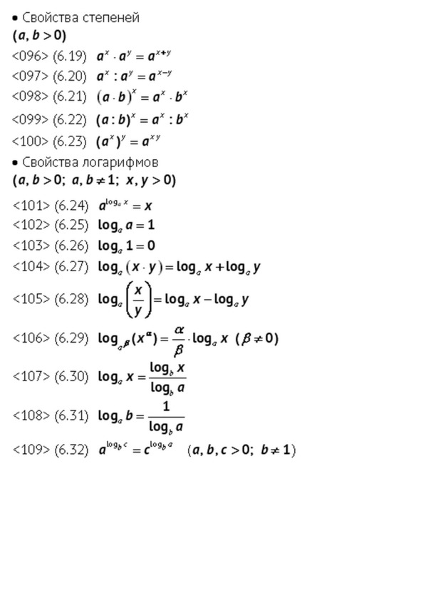
§6. Степени и корни. Логарифмы, <078> – <109>


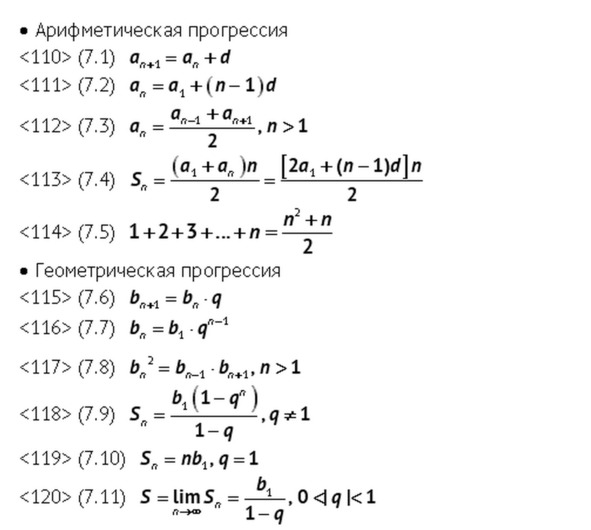
§7. Прогрессии, <110> – <120>

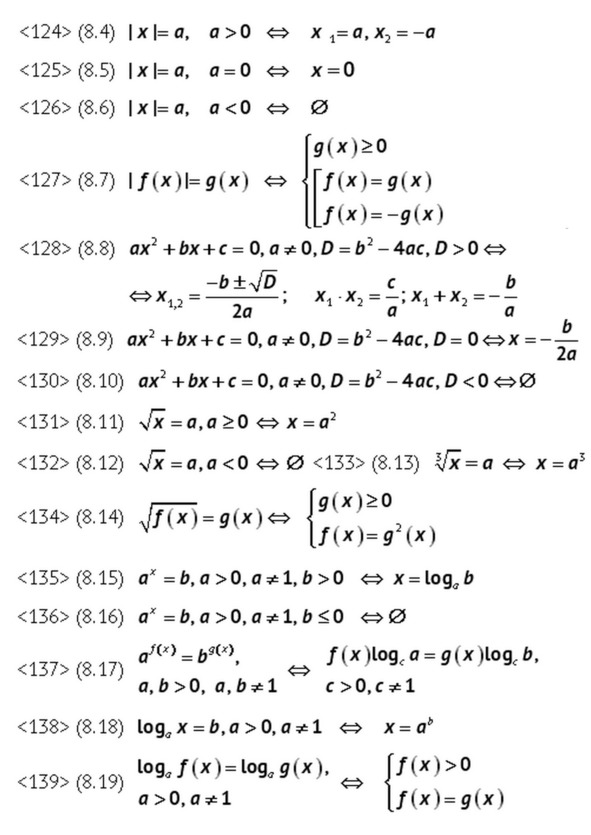
§8. Решение уравнений, <121> – <145>



§9. Решение неравенств, <146> – <185>
Конец ознакомительного фрагмента.
Текст предоставлен ООО «Литрес».
Прочитайте эту книгу целиком, купив полную легальную версию на Литрес.
Безопасно оплатить книгу можно банковской картой Visa, MasterCard, Maestro, со счета мобильного телефона, с платежного терминала, в салоне МТС или Связной, через PayPal, WebMoney, Яндекс.Деньги, QIWI Кошелек, бонусными картами или другим удобным Вам способом.
Приобретайте полный текст книги у нашего партнера:

