
Студенту в помощь для выполнения курсовых и диплома
Все детальные чертежи цилиндра можно скачать по ссылке.
Ссылка Studenty.zip : disk.yandex.ru/d/orKSVHysYSMK0Q
Studenty.zip : CRC 32 = 77d05e10… Объем -= 77,916,434....
……..
Ссылка Студенту.zip : disk.yandex.ru/d/Rbo3M49TP3xMdg
Студенту.zip: CRC 32 = E76A2853… Объем -= 152458350…


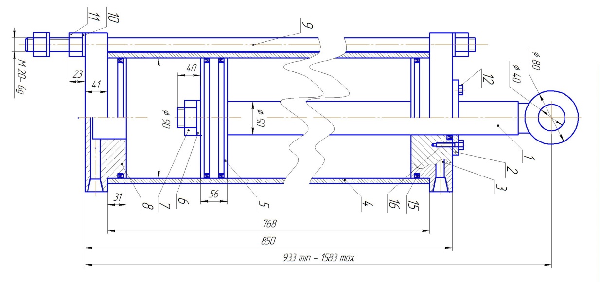
Показан гидроцилиндр более сложной конструкции..
Расчет стяжной шпильки
Стяжные шпильки стягивают в единую конструкцию верхнюю траверсу, нижнюю траверсу и две рамы
между траверс. Стягивание должно обеспечить усилие сжатия рам в полтора раза больше максимального рабочего усилия пресса.. Такое усилие обеспечивается термической затяжкой шпилек..


Расчет резьбы шпильки.
Технология затяжки гаек натяжных шпилек:.
Трубопроводы гидропресса – расчет:
disk.yandex.ru/d/YqNPn7TsR9-e5A Ссылка: Добавочные материалы по теме Пресс.
Расчет потери давления в трубе

,,
Таблица коэф. гидравлического трения J ( λ ) в круглых трубах ( на один метр трубы ).
В зависимости от относительной шероховатости и числа Рейнольдса. ( Табл. 03 ).
K = d / kэ Относительная шероховатость стенки трубы.
.d – диаметр трубы.
.kэ – Высота неровностей стенки трубы.
Re – число Рейнольса.
Таблицы для расчета потерь давления и местных сопротивлений в трубопроводах.
…
Давление: Паскаль 1 Па = 1 Ньтон / кв.метр. 1 МПа = 1 Ньтон /кв.мм.
1 Па = 0,00001 бар = 0,102 кгс / кв.метр..
1 Па = 0,0075 мм. ртутного столба = 0,000102 метра водяного столба. = 0,102 мм. водян. столба.
1 кгс / кв.см. = 0,098067 МПа = 0,98067 бар = 10 метр. водяного столба. = 736 мм ртут.столба.
1 кгс / кв.см. = 98067 Па.
Метр масляного столба. = 8633 Па.
Расчет гидростанции на нагрев
Таблица электромоторов.
Расчет водяного теплообменника ( холодильника ).
Справочные данные.
Температура нагрева заготовок для ковки на молоте.
Переводные коэффициенты единиц давления, температуры, работы, мощности.
Свойства стали при разных температурах. Влияние легирующих добавок в сталь.
Свойства сталей, цветных металлов и пластмасс. Коэффициенты трения разных пар.
Вязкости разных масел.
Коэффициенты местных сопротивлений в трубопроводах.
Сжимаемость масла.
Допускаемые нагрузки на болты.
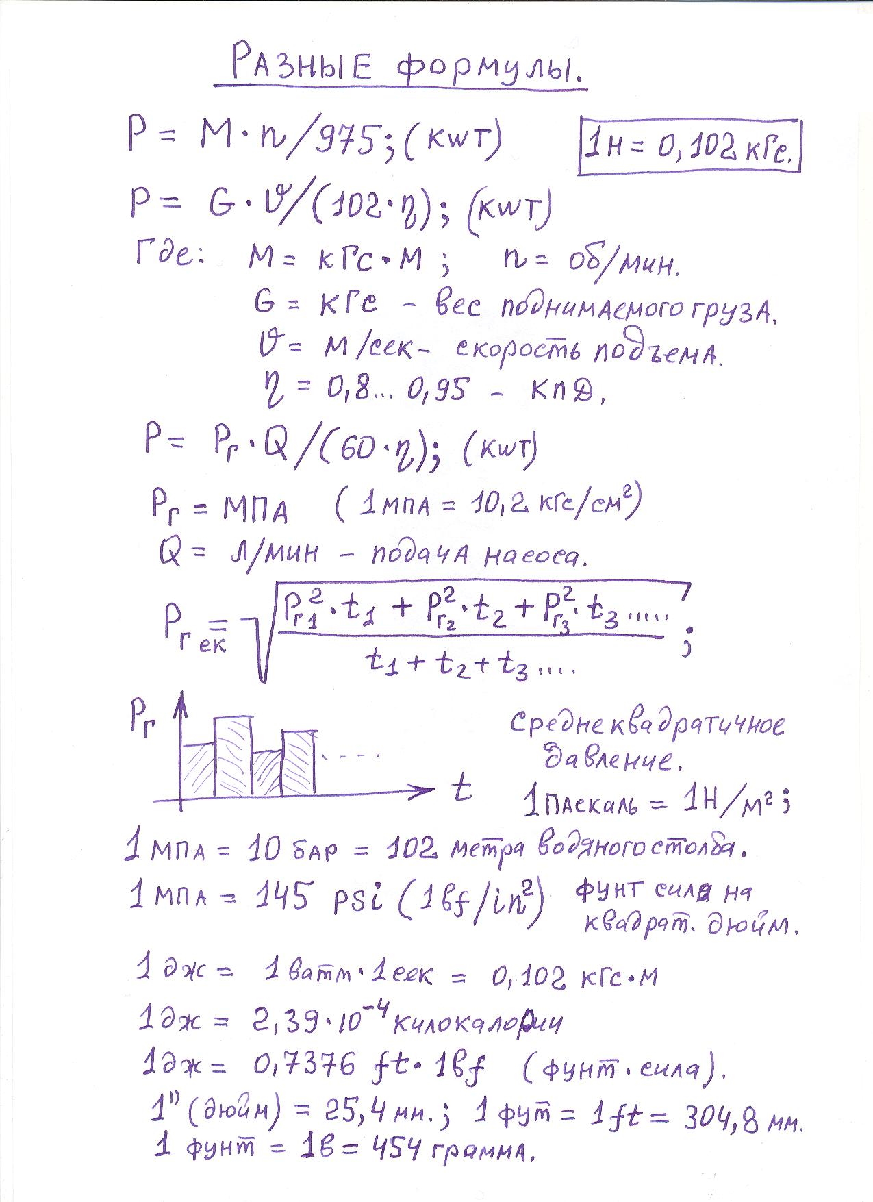
Разные формулы

,,

,,

,,,

,,

,,

,,

,,

,,

,,

,,

,,

,,

,,

,,

,,

,,,,,

….

…..
Для справки: Многие расчеты достаточно объемны, в процессе работы расчет приходится пересчитывать несколько раз. Значительно облегчает работу использование программ. По запросу в яндексе: « Гаврилов Сергей Фёдорович » найдутся книги : Python 3 Полезные программы. Книга 1. Содержит полные листинги программ: Геометрия, Расчет сечений, Вес элементов.. Python 3 Полезные программы. Книга 2. Содержит полные листинги программ: Дополненная часть материала книги 1 и Расчет построения разверток. Python 3 Полезные программы. Книга 3. Содержит полные листинги программ: Дополненная часть материала книги 1 и Расчет шестерен и червячной передачи.. Python 3 Вес детали Содержит полный листинг програмы: Вес детали – позволяющий быстро расчитать вес сложной по конфигурации детали.
Полный листинг программы означает, что если переписать ( перекопировать ) текст в формате « Блокнот » и сохранить с расширением ( .py ) – то программа будет работать.
Книга Клещи содержит полное описание и полный расчет клещей грузоподъемных. Эскизы и расчеты всех деталей. Содержит описание, эскизы деталей и расчет подкрановой коробки ( тары ) для горячих поковок. Содержит описание, эскизы, расчеты, габаритную схему площадки для осмотра полувагонов.. Книга Молот содержит эскизы и подробное описание молота и всех деталей, эскизы фундамента со спецификацией всех материалов и описание кап.ремонта молота с заменой чпсти фундамента.. Книга Пресс. Содержит подробное описание гидропресса с усилием 400 тс. С ходом плунжера 1400 мм. Эскизы и расчеты всех деталей, описание техпроцесса прессового цеха и описание гидросистемы пресса.
disk.yandex.ru/d/8hYks4yZERGpoQ Геометрия – расчеты в Python 3 ..
disk.yandex.ru/d/M2VpbiBWIjJqwg Вес детали контрольный – расчеты в Python 3 ..
disk.yandex.ru/d/i0BhT8Rb6BZWkQ Рас Нас – расчеты в Python 3 элементов деталей машин.
disk.yandex.ru/d/B_RgqDk4E9HdiA Рас Сек – – в Python 3 сечений балок для расчетов на прочность.
Литература для справок
Л.И. Александров и др. Цилиндрические зубчатые колеса.
изд. Харьковского гос. университета Харьков 1956 г.
В.И. Анурьев Справочник конструктора машиностроителя. В трех томах.
Машиностроение Москва 2001 г и Машиностроение Москва 1978 г в двух книгах.. .
А.Н. Банкетов и др. Кузнечно-штамповочное оборудование. Учебник. Москва Машиностроение 1982 г..
Т.М. Башта Машиностроительная гидравлика. Справочное пособие. Москва Машиностроение 1971 г.
И.А. Биргер и др. Расчет на прочность деталей машин. Москва. Машиностроение 1979 г.
И.А. Биргер Г.Б. Иосилевич Резьбовые соединения. Москва Машиностроение 1973 г.
Т.П.Болотовская и дp. Спpавочник по геометp. pасчету эвольвентных зубчатых
и чеpвячных пеpедач МАШГИЗ Мос. 1963 г. ".
И.А.Болотовский и дp. Цилиндрические эвольвентные зубчатые передачи внешнего зацепления.
Расчет геометрии. Спpавочник Машиностроение Москва. 1974 г. ".
Я.М. Вильнер Я.Т. Ковалев Б.Б. Некрасов Справочное пособие по гидравлике, гидромашинам
и гидроприводам. Высшая школа Минск 1976 г.
А.А Волошин Г.Т. Григорьев Расчет и конструирование фланцевых соединений. Справочник. Изд.2 е.
Ленинград Машиностроение 1979 г.
А.А. Вайнсон А.Ф. Андреев Справочник. Крановые грузозахватные устройства. Машиностроение Москва 1982 г..
Д.В. Вайнберг Е.Д. Вайнберг Расчет пластин изд. Будiвельник Киев 1970 г.
Д.Ф. Гуревич Расчет и конструирование трубопроводной арматуры изд. Машиностроение Ленинград 1969 г.
П.А. Гуткин Расчет плоских деталей Москва Ленинград Машиностроение 1966 г.
П.Г. Гузенков Детали машин изд. 4. Москва Высшая школа 1986 г.
Под ред. А.И. Голубева и Л.А. Кондакова Уплотнения и уплотнительная техника. Справочник.
Изд. Машиностроение Москва 1986 г..
А.В. Дарков Г.С. Шпиро Сопротивления материалов. Высшая школа Москва 1969 г.
В.И. Залесский Оборудование кузнечно-прессовых цехов. Изд. 2е. Москва Высшая школа 1973 г.
И.Е. Идельчик др.т.н. проф. « Справочник по гидравлическим сопротивлениям » изд 3е Москва Машиностроение. 1992 г. Кинасошвили Сопротивление материалов Учебник Москва Наука 1968 г..
С.Н. Кожевников Теория механизмов и машин. Машиностроение Москва 1973 г
Н.Н Крылов П.И. Лобандиевский С.А. Мен Начертательная геометрия. Высшая школа Москва 1965 г.
Н.Н. Кременецкий и др. Гидравлика учебник Москва Энергия 1973 г.
А.А. Любченко др.тех.наук проф. Конструирование штампов и горячая листовая штамповка.
Ленинград Машиностроение 1974 г.
В.Д. Мягков Краткий справочник конструктора. Машиностроение Москва 1966 г
Расчеты крановых механизмов и их деталей изд. четвертое Том 1,
М.: ВНИИПТМАШ, 1993 г., под общей редакцией Р.А. Лалаянца.
РД 10-33-93 Стропы грузоподъемные общего назначения. Требования к устройству и безопасной эксплуатации
Москва НПО ОБТ 2000 г..
Э.Х. Одельский др.т.н. проф. « Гидравлический расчет трубопроводов разного назначения »
изд. 2е. Изд. Вышэйшая школа г. Минск 1967 г..
Оборудование грузоподьемное общие технические требования РД 36-62-00 изд. ДЕАН 2002 г.
Руководящие материалы РД 10 – 33 – 93 Москва НПО ОБТ 2000 г.
Сорокин В.Г. ВолосниковаА.В. и др.Марочник стали и сплавов. Справочник. Москва Машиностроение 1989 г.
В.К. Свешников А.А. Усов. Справочник Станочные гидроприводы Машиностроение Москва1988 г.
А.П. Смирнягин и др Промышленные цветные металлы и сплавы. Справочник. Изд. Металлургия Москва 1974 г..
СНиП 2.09.03 Пособие по проектированию анкерных болтов для крепления строительных конструкций и оборудования
Д.С. Стуров Проектирование и расчет местной вентиляции машиностроительных производств.
Учебное пособие. Барнаул. Изд. Алтайского гос.тех.университета им. И.И. Ползунова 2006г.
Сборник руководящих материалов по котлонадзору. Москва изд Недра 1970 г.
Справочник металлиста т.1 под ред. д.т.н. С.А. Чернавского Машиностроение Москва 1976 г.
Справочник по расчетам гидравлических и вентиляционных систем Под ред. А.С. Юрьева.
Санкт-Питербург изд. Мир и семья 2001 г.
Технические условия погрузки и крепления грузов. МПС СССР. Изд. Транспорт 1990 г.
В.Е. Шишкин Примеры расчета конструкций из дерева и пластмасс. Москва. Стройиздат 1974 г..
А. Е. Шейнблит Курсовое проектирование деталей машин. изд. Янтарный сказ Калининград 2003 г.
С.А. Чернавский и др. Проектирование механических передач. Москва Машиностроение 1976 г.
,,,,,,,,, Конец книги 15 Августа 2023 г. ,,,,,,,
РАСЧЕТЫ в EXCEL

Студенту, Расчеты в Excel
…. 01 Декабря -2021 г..
Введение
Инженер конструктор отдела гл.механика Гаврилов Сергей Фёдорович написал эту книгу Расчеты в Excel
Студентам и школьникам в помощь при написании курсовых и дипломных работ.
Многие расчеты трудоемки и часто повторяются. Не все будут осваивать программирование на языках Python или Pascal и ставить эти программы на свои компьютеры. Программа Excel входит в стандартный Офис и,
по умолчанию, уже установлена на компьютере. Если не вдаваться в дебри – то сами расчеты в Excel очень просты. Каждый расчет – это лист Excel – отдельный файл. Наводим на файл листа Excel – двойной щелчек правой кнопкой мыши – файл открывается в виде разграфленной таблицы. Слева видим колонку «Исходные данные». В исходных данных удалим предыдущие числа и проставим свои данные. Расчет происходит автоматически – в столбике «Результат» видим результаты своего расчета. В книге собраны примеры часто встречающихся расчетов в Excel. В книге много рисунков поясняющих как работать с таблицами Excel.
Расчеты выполнены с цифровыми примерами и справочными таблицами, чертежами и схемами.
Книга иллюстрирована большим количеством рисунков, облегчающим понимание материала.
В конце книги приведен обширный список литературы по затронутым в книге темам.
По приведенной ссылке нужно скачать расчетные листы Excel. Более сорока Расчетных листов в вашем распоряжении. Копируй их на свой компьютер – и у вас готовая библиотека рабочих расчетных программ –
включай нужное и расчитывай. Если нужно выполнить расчет – отсутствующий в книге,
приведенные примеры, расчеты помогут сделать свой расчетный лист.
По приведенной в книге ссылке можно скачать рабочие чертежи и листинги расчетных программ, а так же сами расчетные программы в Excel и Python 3.4 v.
Здесь просто перечисленны темы, расчеты и справочные материалы раскрытые в книге, чтобы получить саму книгу – необходимо в поиске Яндекса набрать: ЛитРес Гаврилов Сергей Федорович книги. Либо прямо
www.litres.ru/author/sergey-fedorovich-gavrilov/?ysclid=llbvjv8x340892920 Ссылка на магазин книг.. Книг довольно много – эта книга – путеводитель издана максимально дешевой чтобы студент или конструктор знал в какой из книг есть нужный вам материал и расчеты с таблицами.
Арифметические операции в Excel
15 = 5 * 3; Пять умножить на три = 15…
5 = 15 / 3; Пятнадцать разделить на три = пять…
125 =СТЕПЕНЬ(5;3); Пять в степени три = 125…
Степень числа может быть и меньше единицы например 0,3333..
5 =СТЕПЕНЬ(125;0.33333); 125 в степени 0,33333 = 5…
12 = КОРЕНЬ(144); Извлечение квадратного корня из числа = 144..
12 = sqrt(144); Извлечение квадратного корня из числа = 144.. ( при записи в Word ).
90 градусов = 1,570796327 радиан. = Pii/2…
180 градусов = 3,14159265358979324…радиан. = Pii…
ctg( a ) = tan ( 90 – a )… Перевод приведен для справки.. Угол берется в градусах.
Эвалюта угла (GR); – Угол в данный расчет берется в радианах.
Inv(GR) = tan(GR) – (GR);
Константы
Pii = 3,14159265358979324… – Число Пи..
.cosa= cos20 = 0,93969262078591 – Косинус 20 градусов
.sinaa=sin40 = 0,64278760968654 – Синус 40 градусов
.tana=tan20 = 0,3639702342662024 – Тангенс 20 градусов
.inva=0,01490438386734 – Эволюта 20 градусов
.kx=1,387048 – Коэф. постоянной хорды зуба для прямозубых без коррекции.
.hx=0,748 – Коэф. высоты до хорды для прямозубых без коррекции.
Примечание: Программа компиляции текста в эл.книгу иногда переносит часть формулы на другую строку.
– в конце формулы всегда стоит двойная точка.. В тексте 400 градусов – значек градуса программа превращает в ноль – в тексте эл.книги получается 4000 градусов. ( это надо учитывать ). Если справочная таблица в книге очень мелкая – смотрите таблицу в приложении по ссылке.
Вес фрагмента детали
Далее повторяются почти все расчеты из предыдущей книги лишь только сами расчеты выполняются на расчетных листах в Excel.
Данные простые расчеты приведены для для облегчения понимания более сложных, приведенных далее.
Исходные данные: Все размеры в миллиметрах.
Плотность материала принята 7,85 т / куб.м.. ( Сталь ).
Плотность материала = 7850 кг / куб.м. ( Сталь 30 ГОСТ 1050-88 ).
,,,,,,,,,,
Здесь показаны условные точки, где в тексте книги приведены примеры программирования в Excel.
Условные точки:
@001. – Далаем объединение ячеек. Заголовок листа.
@002. – Форматирование ячеек, столбцов.
@003. – Защита ячеек, столбцов от изменения при содержания при работе.
@004. – Изменение высоты строк, ширины столбцов.
@004А. Формат столбика, ячейки для ввода исходных цифровых данных.
@005. – Пишем расчетную формулу – оформляем ячейку вывода результата.
@006. – Сохранение расчетного листа.
@007. – Защита расчетного листа от случайных или нет, изменений программы.
@008. – Выбор типа формул, Вставка математических функций в формулу.
@009. – Редактируем формулы.
@010. – Ввод формулы с тригонометрией.
@011. – Делаем столбик очень узким – чтоб не отвлекал промежуточными результатами.
@012. – Расчет объема и веса конуса и усеченного конуса.
@013. – Вставим рисунок.
@014. – Вставим лист № 2.
@015. – Перенос результатов – копированием.
@016. – Программирование ( запись ) Макроса .
@017. – Перенос результатов с применением Макроса.
@018. – Примечание по написанию формул в книге.
@019. – Создание листа «Оглавление».
@020. – Создаем удобный для работы масштаб листа.
Запись программы в Excel
Первым делом откроем чистый лист Excel по имени А_00.
Этот файл есть в приложении ( скачиваем по ссылке ).
Сразу же сохраняем его под именем Е 001. Это что бы у нас всегда оставался чистый лист.
Слева виден зеленый прямоугольник «Файл» правее видно что мы находимся в режиме «Главная».
@001. На листе необходимо выполнить заголовок расчета. Для этого ставим курсор в ячейку А1 и не отпуская
Левую кнопку мыши ведем к ячейке F1. Ячейки выделяются цветом. Отпустим кнопку мыши, переведем
курсор на значек «Объединить ячейки», ( смотри Рис 02 ) щелкнем кнопкой – Ячейки объединятся.
Рис. Экран Excel центровка.
,,,

Рис. Экран Excel объединить.
,,,,,

,,,,
Левой кнопкой мыши щелкнем на объединенной области А1-F1 – выбрав ее. Щелкнем левой кнопкой на строке формул и в строке формул пишем «Вес прямоугольного бруса.». Эта надпись появится в выбранной области.
@002. Переводим курсор на значки «Центровка» и выберем вертикальную центровку «По центру». Горизонтальную центровку тоже «По центру».
Далее щелкаем на значке «Выбор формул»– выйдет табличка Рис 06.
В табличке выберем категорию «Математические». ОК.
Правой кнопкой щелкаем по надписи в А1-F1 – появится табличка Рис 03.
В ней выбираем пункт «Формат ячеек».
Рис. Экран Excel вставка.
,,,

,,,
После щелчка на «Формате ячеек» появится табличка Рис 04:
Рис. Экран Excel формат.
,,,,

,,,
В колонке «Число»– выбираем «Общее»
В этой табличке выберем размер шрифта надписи, цвет шрифта, можно выполнить границу выделенной области в виде рамки ( можно без границы ). Можно залить ( окрасить ) выбранную область.
В пункте «Защита»– выберем «защищаемая ячейка». В этом режиме при работе с таблицей надпись в этой ячейке изменить остается неизменной.
Далее нам надо разместить исходные данные для расчета.
Названия исходных данных расположим в столбике «А».
@002А. Ставим курсор в ячейку А12 Нажимаем левую кнопку мыши и с нажатой кнопкой ведем вверх
до ячейки А2. Столбик А2-А12 выделяется. Ставим курсор в выделенный столбик и жмем
правую кнопку мыши.
Появится табличка Рис 03. В ней выбираем пункт «Формат ячеек». После щелчка на «Формате ячеек»появится табличка Рис 04: В этой табличке выберем в колонке «Число»– выбираем «Общее»
размер шрифта надписей ( 16 ), цвет шрифта ( черный ), можно выполнить границу выделенной области в виде рамки ( делаем без границы ). Можно залить ( окрасить ) выбранную область.
@003. – В пункте «Защита»– выберем»защищаемая ячейка». В этом режиме, при работе с таблицей,
надпись в этой ячейке изменить не получится – надпись остается неизменной.
Точно также обработаем столбик»С». С2-С12. В этом столбике будет выведены названия результатов расчета.
Теперь заполним столбик «А» записями. Щелкаем левой клавишей на ячейке А2.
В стоке формул пишем: «Размеры бруса в мм.». Надпись появилась в ячейке А2. Шелкаем правой клавишей по надписи в ячейке А2. В табличке Рис 03 выделяем «Формате ячеек», табличке Рис 04 – изменяем цвет шрифта на зеленый. Изменяем цвет заливки на бледно – голубой. Ентер.
@004. Если высота ячейки мала – ставим курсор на границу между «2» и «3» Смотри Рис 01.
Появится крестик со стрелочками. Нажимаем левую клавишу и тянем границу строки вниз делая
строку больше по высоте.
Точно также – если надо сделать ячейку длиннее. Курсор на границу между «А» и «В» и жмем левую клавишу и тянем вправо делая столбик «А»шире.
Точно также заполняем ячейку А5 надписью «Длина»только цвет шрифта оставим черным и заливку не делаем. В ячейку А7 пишем «Ширина». В ячейку А9 пишем «Высота».
В ячейку А11 пишем «Удельный вес в т/куб.м.».
Аналогично заполним столбик»С». Щелкаем левой клавишей на ячейке С6.
В стоке формул пишем: «Вес бруса в кгс.». Надпись появилась в ячейке С6. Шелкаем правой клавишей по надписи в ячейке С6. В табличке Рис 03 выделяем «Формате ячеек», табличке Рис 04 – изменяем цвет шрифта на красный. Изменяем цвет заливки на бледно – желтый. Ентер.
В пункте «Защита»– выберем «защищаемая ячейка».
@004А. Теперь обработаем столбик «В»– в него помещаем – вводим исходные цифровые данные.
Ставим курсор в ячейку В12 Нажимаем левую кнопку мыши и с нажатой кнопкой ведем вверх до ячейки В2.
Столбик В2-В12 выделяется. Ставим курсор в выделенный столбик и жмем правую кнопку мыши.
Появится табличка Рис 03. В ней выбираем пункт»Формат ячеек». После щелчка на «Формате ячеек»появится табличка Рис 04: В этой табличке выберем размер шрифта надписей ( 16 ), цвет шрифта ( черный ),
В графе «Число»выбираем формат «Числовой». В графе «Выравнивание»выбираем выравнивание
как по вертикали, так и по горизонтали по центру. В графе «Защита»нужно убрать защиту ячеек. Ентер.
@005. Ячейка вывода результата D6. ставим галочку «Скрыть формулы». Защиту уберем.
Заливку сделаем светло желтой. В графе «Число»выбираем формат «Числовой».
Выравнивание все по центру.
Теперь пишем формулу расчета. Щелкаем на ячейке D6. Ячейка выделится черной рамкой.
В строке формул ставим знак «=». В Excel все формулы начинаются со знака равно.
Далее переводим курсор на ячейку В5 – щелкаем – в строке формул отпечаталась В5. Печатаем знак «*» умножить. Затем курсор на ячейку В7 – щелкаем, печатаем *. Затем курсор на ячейку В9 – щелкаем, печатаем *.
Затем курсор на ячейку В11 – щелкаем, печатаем /1000000.
В итоге ф строке формул будет запись»=В5*В7*В9*В11/1000000»Ентер.
При постановке в ячейки В5…В11 чисел исходных данных – в ячейке появится результат расчета.
Проверьте по контрольному примеру приведенному выше.
@006. После проверки сохраним расчетный лист как файл Е 00. Затем как файл Е 01.
В Файле Е 01 заблокируем изменения того, что изменять не хотим.
@007. Проверим, чтобы в столбике»В»была снята защита со всех ячеек.
Чтобы в ячейке D6. Была снята защита, но стояла галочка «Скрыть формулы».
Откроем режим «Рецензирование». Справа иконка «Защитить лист» Щелкнем.
Выйдет табличка Рис 05. Рис. Экран Excel защита.
,,,

,,,
Здесь нужно убрать галочку с пункта «Выделение заблокированных ячеек». Затем ОК.
Заранее запишите пароль. Проверьте закрыв лист, затем снова открыв его – можно ли менять исходные данные и будет ли меняться результат. Если что не так. Файл листа удалить – открыть файл Е 00,
сохранить его как Е_01 и снова проверить все ячейки на блокировку.
На всех листах применен пароль «blok»( для справки ).
Готовый лист с блокировкой под паролем сохраняем под именем Е_01_Z.
Не смущайтесь, что простую программу так долго делали – дальше дело пойдет быстрей.
Будем использовать незащищенный файл Е 00 – Сохранять его под другим именем, затем заменять, добавлять надписи, редактировать формулы – время потребуется меньше.
Следующие расчеты буду подробно расписывать, если будут встречаться новые элементы.
Все описанные программы можно будет скачать в приложении по ссылке.
Внимание: Открыв для работы расчетный лист – можно менять цифры только в колонке для ввода исходных данных. Удаляя или меняя цифры в других колонках Вы на самом деле разрушаете скрытые за ними формулы.
В результате лист будет испорчен, работать не станет.
##
Все расчеты, приведенные в книге, оформлены расчетными листами Excel в двух вариантах – в открытом формате и в закрытом для изменений формате. Все можно скачать и пользоваться по приведенной ссылке.

