
От атомов к древу: Введение в современную науку о жизни
Кроме того, нельзя не заметить, что график обилия химических элементов в Галактике – отчетливо “зубчатый”. Элементы с четными атомными номерами в среднем встречаются во Вселенной намного чаще, чем элементы “примерно того же достоинства” с нечетными. Еще сто лет назад на это независимо друг от друга обратили внимание два химика – итальянец Джузеппе Оддо и американец Уильям Харкинс. Их статьи вышли, соответственно, в 1914 и 1917 годах{8}. А правило, согласно которому элементы с четными номерами при прочих равных условиях преобладают над элементами с нечетными номерами, до сих пор называется в их честь правилом Оддо – Харкинса. Это правило обязательно приходится принимать во внимание, например при анализе химического состава земной коры{9}.
Разгадка правила Оддо – Харкинса была предложена уже его первооткрывателями. Дело в том, что атомные ядра тяжелых элементов образуются в основном за счет слияния более легких ядер. Между тем ясно, что при слиянии двух одинаковых атомных ядер в любом случае получится ядро элемента с четным числом протонов, то есть с четным атомным номером. А затем образовавшиеся ядра сливаются друг с другом, давая опять же в первую очередь элементы с четными номерами. Например, “горение” гелия (Z=2), при котором его ядра объединяются друг с другом с большим выходом энергии, дает сначала неустойчивые короткоживущие ядра бериллия (Z=4), потом ядра углерода (Z=6), а потом и кислорода (Z=8).

До начала звездообразования во Вселенной были только водород, гелий и следовые количества лития. Насколько мы сейчас знаем, все элементы тяжелее лития синтезируются только в звездах и распространяются в результате взрывов сверхновых{10}. Это означает, что живым организмам было просто не из чего образоваться, пока не закончился жизненный цикл хотя бы первого поколения звезд и эти звезды не взорвались.
Авторами самой знаменитой статьи, описавшей механизм синтеза химических элементов в звездах, были четверо ученых: Маргарет Бербидж, Джеффри Бербидж, Уильям Фаулер и Фред Хойл. Эту статью часто называют по инициалам авторов “B2FH” (“бэ-квадрат-эф-аш”). Инициатором исследования был астрофизик Хойл: именно он первым догадался, что в звездах может синтезироваться не только гелий, но и углерод. Благодаря Хойлу в работу включились сперва профессиональный физик-ядерщик Фаулер (поначалу он был настроен скептически, но Хойл его переубедил), а потом астрономы Бербиджи. В сети легко найти замечательную фотографию, на которой все четверо отмечают 60-й день рождения старшего из них – Фаулера, а последний радуется действующей модели паровоза, которую ему подарили коллеги.
Статья B2FH опровергла более раннюю гипотезу Георгия Гамова, который считал, что ядра всех элементов синтезировались прямо во время Большого взрыва и с тех пор их концентрации остаются примерно постоянными. На самом деле гораздо вероятнее, что в первые миллиарды лет после Большого взрыва Вселенная была чисто водородно-гелиевой. И только потом она стала обогащаться тяжелыми элементами с помощью сверхновых звезд (“тяжелыми элементами” мы сейчас называем все, что тяжелее гелия или, в крайнем случае, лития).
Космическая эволюция
Итак, тяжелые элементы синтезируются внутри звезд и рассеиваются в пространстве, когда эти звезды взрываются в качестве сверхновых. Влияние сверхновых звезд на элементный состав Вселенной, таким образом, огромно. Рассеянные их взрывами тяжелые элементы входят в состав космической пыли, а она конденсируется в звезды следующего поколения – уже с полноценными системами, включающими землеподобные планеты. Этой темы мы еще коснемся позже, в главе 13.
Превращение водорода и гелия в более тяжелые элементы было одним из промежуточных этапов космической эволюции, которая привела к возникновению Солнечной системы, жизни и человека. Теория B2FH (если она верна) сама по себе показывает, что этой эволюции не могло не быть. В древней водородно-гелиевой Вселенной никогда бы не возникли ни Земля, ни жизнь. Сама возможность их появления стала результатом длинной цепочки событий космического масштаба, в ходе которых весь мир не раз качественно менялся (например, возникали ранее не существовавшие химические элементы, а вместе с ними – новые типы звезд). Вот такое качественное изменение мы и называем эволюцией. Это единый процесс, охватывающий физические, химические и биологические явления.
Тут стоит притормозить, чтобы уточнить значение слова “эволюция”. Традиционно существует два понимания этого термина – “узкое” и “широкое”. Эволюция в “узком” смысле определяется разными авторами несколько по-разному, но в любом случае она ограничивается чисто биологическими процессами и факторами (такими, например, как изменение частот генов в популяциях или перестройка жизненных циклов). Эволюция в “широком” смысле включает в себя не только исторические процессы, изучаемые биологией, но и исторические процессы, изучаемые другими науками – физикой, химией, астрономией, геологией, социальной историей. “Широкое” понимание эволюции можно встретить у Феодосия Григорьевича Добржанского, знаменитого генетика, одного из крупнейших биологов XX века.
“Общепринятого определения эволюции не существует, – писал Добржанский. – Эволюция – это изменение, но не любое изменение есть эволюция. Самое узкое определение признает только биологическую эволюцию, элементарные события которой – изменения частот генов в популяциях живых организмов. Накопление и объединение таких генетических событий на протяжении долгих периодов времени приводит к крупным биологическим изменениям: амеба или примитивный вирус могут превратиться в человека или могучий дуб. Когда примерно три миллиарда лет назад на планете Земля возникла жизнь, это было результатом сложной серии процессов, протекавших в неорганической природе. А примерно два миллиона лет назад биологическая эволюция породила человека – существо, способное к абстрактному мышлению, коммуникации на языке символов, обладающее самосознанием и осознанием своей смертности. Ясно, что между Большим взрывом, запустившим образование химических элементов, и появлением условий, подходящих для возникновения жизни, во Вселенной произошло множество событий. Эти события складываются в космическую (неорганическую) эволюцию. С другой стороны, человек – главный герой исторического процесса, в ходе которого биологические изменения его организма перекрываются культурной наследственностью, действующей через обучение. История человечества связана в первую очередь с эволюцией культуры. Три эволюции – космическая, биологическая и культурная – составляют единый грандиозный процесс универсальной эволюции”{11}.
По определению палеонтолога Валентина Абрамовича Красилова, эволюция – это серия последовательных изменений с исторически значимым результатом{12}. Это определение не противоречит “широкому” пониманию эволюции по Добржанскому, и именно оно будет по умолчанию принято в данной книге. Синтез тяжелых элементов в звездах – это часть процесса космической эволюции, о котором мы будем время от времени говорить и дальше (в главах 3, 4, 7, 13, 16). Потом мы перейдем к биологической эволюции, разговору о которой будет посвящена почти вся вторая половина книги (главы 12–17). И только культурная эволюция в этой книге почти не рассматривается, за исключением краткого упоминания в конце главы 17.
Самый главный атом
Химия известных нам живых систем основана на одном главном элементе – углероде.
Проясним кое-какие термины. Любая совокупность атомов и молекул в химии (и в биологии) называется веществом. Вещества могут быть простыми (состоящими из одного элемента) или сложными (состоящими из разных элементов). Сложное вещество, в котором атомы разных элементов соединены между собой химическими связями, называется соединением. Любое соединение, как правило, имеет постоянный состав, который можно описать простой формулой, указывающей число атомов каждого элемента в его молекуле. Например, молекула воды состоит из двух атомов водорода (H) и одного атома кислорода (O). Соответственно, формула воды – H2O.
Однако сейчас нас интересуют соединения углерода (C). Они настолько разнообразны, что их изучением занимается целая область химии – органическая химия. Поначалу, в XIX веке, органической химией назвали химию веществ, образующихся в растительных и животных организмах и получаемых из них. Постепенно стало понятно, что в состав почти всех этих веществ входит углерод. В итоге органической химией стали называть химию любых более-менее сложных соединений углерода, безотносительно к тому, есть они в живых телах или нет. Сокращенно такие соединения принято называть просто “органическими веществами”. Многие из них действительно имеют какое-то отношение к живым (или мертвым) организмам, но далеко не все. Химический состав организмов – предмет отдельной науки, которая называется биохимией.
Углерод – шестой по счету элемент таблицы Менделеева. Это означает, что его атом содержит шесть протонов (Z=6). Чистый углерод известен нам в виде алмаза, графита или угля. А валентность углерода в органических соединениях всегда равна 4. Это – важнейший факт, без знания которого понять устройство живых организмов просто невозможно.
Кроме того, углерод имеет три химические особенности, отчасти объясняющие, почему органических соединений так много. Во-первых, атом углерода способен образовывать устойчивую ковалентную связь почти с любым другим элементом менделеевской таблицы; далеко не про каждый атом можно такое сказать. Во-вторых, атомы углерода отлично образуют ковалентные связи друг с другом, создавая в результате длинные цепочки (в том числе ветвящиеся), кольца и другие сложные структуры. И в-третьих, ковалентная связь “углерод – углерод” легко может стать кратной, то есть двойной или тройной. К связям углерода с некоторыми другими элементами это тоже относится. Склонность углерода к образованию кратных связей очень важна и в органической химии, и в биохимии.
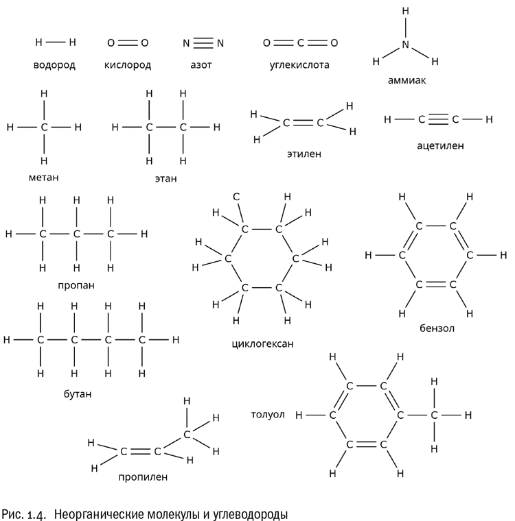
Углеводороды
Самое простое на свете органическое соединение называется метаном. Молекула метана состоит из одного атома углерода и четырех атомов водорода, соединенных с углеродом ковалентными связями. На языке химических символов это выглядит так: один углерод (C) и четыре водорода (H) образуют молекулу CH4 (формула метана). В более подробной формуле – графической – каждую ковалентную связь обозначают чертой, проводимой в данном случае между символами C и H.
Химические соединения, состоящие только из углерода и водорода, вполне логично называются углеводородами (см. рис. 1.4). Метан – это самый простой возможный углеводород. Примеры углеводородов, следующих за ним по сложности: этан (C2H6), пропан (C3H8), бутан (C4H10), пентан (C5H12), гексан (C6H14). Основу любой из этих молекул образует цепочка атомов углерода, соединенных между собой ковалентными связями. А все валентности, свободные от углерод-углеродных связей, там занимают атомы водорода. Зная эти принципы, нарисовать структуру углеводорода с любым заданным числом углеродных атомов можно очень легко. На графических формулах видно, что несколько знакомых нам теперь углеводородов – этан, пропан, бутан, пентан и гексан – отличаются друг от друга только числом совершенно одинаковых групп – CH2–.
Цепочки атомов углерода, соединенных ковалентными связями, образуют основу не только углеводородов, но и многих других органических веществ. Длина этих цепочек ничем не ограничена, в них вполне могут входить десятки, сотни, а иногда и тысячи атомов. Кроме того, углеродные цепочки не обязательно линейны. Они могут ветвиться, а могут и замыкаться в кольца.
Но и это еще не все. Бывают такие углеводороды, где некоторые углерод-углеродные связи в цепочке – двойные или тройные, то есть образованы двумя или тремя парами электронов. Напомним, что валентность углерода в органических молекулах всегда равна четырем. Поэтому атом углерода, участвующий в образовании двойной связи, может присоединить на один атом водорода меньше, а при тройной связи – на два атома водорода меньше по сравнению с атомом углерода, все связи которого одинарные. Разумеется, это отражается в формулах веществ. Простейший углеводород с двойной связью – этилен (C2H4), один из относительно немногих углеводородов, всерьез интересующих физиологов: он служит гормоном у растений. Простейший углеводород с тройной связью – ацетилен (C2H2). На современной Земле биохимическое значение ацетилена не слишком велико, зато он распространен в космосе и считается одним из самых вероятных участников добиологического синтеза, приведшего когда-то к возникновению жизни{13}. Это довольно активное вещество, которое прекрасно горит и может поэтому использоваться для освещения. В старину ацетиленовые фары умудрялись ставить даже на велосипеды. Взрыв такой велосипедной фары стал ярким воспоминанием героев повести Джерома Джерома “Трое на велосипедах” (продолжения знаменитой “Трое в одной лодке”): “…мы тихо-мирно ехали по Уитби-роуд, беседовали о Тридцатилетней войне, и вдруг твоя фара взорвалась, как будто из ружья пальнули. От неожиданности я свалился в канаву. Никогда не забуду лица миссис Гаррис, когда я говорил ей, что ничего страшного не произошло, волноваться не следует – тебя уже несут на носилках, а врач с сестрой будут с минуты на минуту…”[1] Сейчас ацетиленовые светильники используются редко. Дольше всего они продержались на отдаленных маяках, куда было трудно провести электричество.

Двинемся дальше. В некоторых углеводородах замыкание углеродной цепочки в кольцо сочетается с присутствием двойных связей, причем сразу нескольких. Самый известный из таких углеводородов – бензол (C6H6). Молекула бензола – это кольцо из шести атомов углерода с тремя одинарными и тремя двойными связями между ними (см. рис. 1.5А). Одинарные и двойные связи в кольце строго чередуются. В результате у каждого атома углерода остается по одной свободной валентности, и эти валентности заполняет, как всегда, водород.
Структуру бензола выяснил тот же знаменитый химик, который открыл четырехвалентность углерода, – немец Фридрих Август Кекуле. В свое время это было занимательной химической “интригой”: состав молекулы бензола – шесть атомов углерода и шесть атомов водорода – уже был точно известен, а вот порядок связей в этой молекуле долго оставался загадкой. Кекуле далеко не сразу удалось ее разгадать. Однажды он задремал днем у камина и увидел сон, в котором несколько переплетающихся змей образовали кольцо. Сон и подсказал ему правильную графическую формулу бензола{14}. Эту историю часто рассказывают школьные учителя химии, почему-то заменяя змей на цепляющихся друг за друга обезьян, которых Кекуле якобы видел в зоопарке. Про обезьян, судя по всему, чистейшая выдумка; но сон, навеянный размышлениями о бензоле, действительно был, и структуру бензола Кекуле установил в результате верно.
Правда, тут есть одна важная поправка. Проведенные в XX веке физические исследования показали, что все шесть углерод-углеродных связей в молекуле бензола на самом деле одинаковы: одинарные связи там невозможно отличить от двойных. Объясняется это тем, что электроны, образующие двойные связи, делокализованы (“размазаны”) по всему кольцу. И в результате все углерод-углеродные связи в бензоле не строго одинарные и не строго двойные, а как бы “полуторные” (см. рис. 1.5Б). На схемах органических молекул шестичленное углеродное кольцо с такой системой связей часто обозначают простым шестиугольником с кругом внутри (см. рис. 1.5В, Г). Эта структура – так называемое ароматическое ядро – есть во многих органических молекулах, в том числе и биологически активных. Ароматическое ядро, не входящее в состав никакой другой молекулы, – это просто бензол.

Жаль только, что Фридриха Августа Кекуле обычно упоминают в книгах в связи с формулой бензола и ни с чем другим. Тем самым его невольно недооценивают. Ведь Кекуле открыл не что-нибудь, а четырехвалентность углерода! Это одно из важнейших химических открытий XIX века, сильно повлиявшее на развитие не только химии, но и биологии.
Углеводороды, как правило, биохимически неактивны. Подавляющее большинство органических соединений, участвующих у живых организмов в обмене веществ, содержит как минимум еще и кислород, то есть к углеводородам никак не относится.
Спирты
Теперь давайте вспомним, что валентность кислорода равна двум. На языке химических символов это означает, что кислород может входить в органические соединения в виде группы – O–. Если же одну из валентностей кислорода займет водород, то получится группа – O – H, сокращенно просто – OH (черточку, обозначающую связь, в формулах часто опускают, это никак не влияет на их смысл). Группа – OH называется гидроксильной, а органические соединения, в состав которых она входит, – спиртами (см. рис. 1.6).
Самый простой из всех возможных спиртов – метиловый, или метанол. Он включает всего один атом углерода, к которому присоединены три атома водорода и гидроксильная группа. Формулу метилового спирта можно записать так: CH3OH. Добавим, что группа – CH3 называется метильной. Итак, молекула метилового спирта состоит только из метильнойи гидроксильной групп.
Если атомов углерода в молекуле больше одного, то получаются более сложные спирты – этиловый (C2H5OH), пропиловый (C3H7OH), бутиловый (C4H9OH) и так далее. В общем, любой спирт можно описать как соединение, состоящее из гидроксильной группы и углеводородного радикала (радикал – это изменяемая часть молекулы, все равно что x в арифметическом уравнении).

В спирте может быть и несколько гидроксильных групп, если присоединить их к разным атомам углерода (к одному и тому же нельзя: такая молекула будет слишком неустойчивой). Например, можно создать спирт с двумя атомами углерода, двумя гидроксильными группами и формулой C2H4(OH)2. Это будет этиленгликоль. Возможен и спирт в виде цепочки из трех атомов углерода, каждый из которых несет свою гидроксильную группу. Это будет глицерин. Все свободные валентности и в этиленгликоле, и в глицерине заняты атомами водорода (далее мы будем опускать это уточнение, с органическими веществами оно подразумевается само собой). Краткая формула глицерина – C3H5(OH)3. Биохимикам он интересен, потому что с его участием образуются жиры и некоторые другие важные для клеток вещества – мы поговорим о них в главе 5.
Переведем дух. Очевидно, что обилие химических формул (а дальше их будет еще больше!) при поверхностном взгляде вполне может отпугнуть человека, который раньше никогда в своей жизни ни с чем подобным не сталкивался. Очередная хорошая новость заключается в том, что в этой области практически невозможно ошибиться. Ведь, по сути, единственное, что надо знать для составления формул органических веществ, – это валентности элементов (напомним: водород – 1, кислород – 2, азот – 3, углерод – 4, фосфор – 5). Любая графическая формула, нарисованная с соблюдением этих валентностей, уже тем самым будет правильной. Конечно, вещество может оказаться редким, или неустойчивым, или никем еще не полученным, или относящимся к неизвестному вам классу, но его формула от этого верной быть не перестанет. Полная творческая свобода: знай себе комбинируй готовые блоки в новые структуры.
Формулы органических веществ в чем-то напоминают китайские и японские иероглифы. Они примерно так же составляются из набора готовых радикалов (известный филолог-японист Кирилл Черевко так и пишет: “Иероглифы образуются из различных сочетаний ограниченного числа простых элементов – подобно тому как из атомов образуются молекулы”). Причем в случае с иероглифами количество радикалов намного (в десятки раз) больше, а правила их сочетания куда прихотливей.
Любая графическая формула – это своего рода уникальный “портрет” данного соединения. Из запечатленного в ней порядка связей сразу же следуют многие свойства вещества, как физические, так и химические. Например, гексан (C6H14) и бензол (C6H6) существенно различаются по свойствам, хотя оба они – углеводороды, включающие по шесть атомов углерода. Свойства соединений, в состав которых дополнительно входит кислород или азот, скорее всего, будут различаться еще сильнее. И что самое главное, эти различия будут закономерными: химик, мало-мальски разбирающийся в строении молекул, легко их предскажет.
В общем, мир органических соединений разнообразен, увлекателен и, главное, внутренне логичен. Знакомство с ним, даже на самом начальном уровне, менее всего похоже на примитивную зубрежку. Воспримем это знакомство как легкую прогулку по “зоологическому саду молекул” – наподобие “зоологического сада планет”, о котором писал Гумилев в стихотворении “Заблудившийся трамвай”. В этой области чем больше формул – тем понятнее.
От эфиров до углеводов
Сделаем еще один шаг. Кислород (–O–) может входить в органические молекулы не только в составе гидроксильной группы. С тем же успехом он способен образовать мостик между двумя атомами углерода, как, например, в диметиловом эфире: CH3–O – CH3. Вещества с общей формулой R1–O – R2, где R1 и R2 – любые углеводородные радикалы, называются простыми эфирами. Диметиловый эфир – их простейший представитель.
Остановимся в этом месте. Нам уже знакомо вещество под названием “этиловый спирт” (он же просто этанол). Так вот, краткая формула этилового спирта полностью совпадает с записанной таким же способом краткой формулой диметилового эфира: C2H6O! Хотя это совершенно разные вещества, они относятся к разным классам и обладают разными химическими свойствами. Вещества, имеющие одинаковый атомный состав, но разную структуру, называются изомерами. Изомерия, то есть существование изомеров, – это очень частое явление в органической химии, в том числе и в биохимии.
Легко заметить, что этиловый спирт (CH3–CH2OH) и диметиловый эфир (CH3–O – CH3) на самом деле отличаются только положением атома кислорода: в одном случае он находится между углеродом и водородом, а в другом – между двумя углеродами. Такого изменения часто бывает достаточно, чтобы “перенести” вещество в другой класс или, во всяком случае, серьезно изменить его свойства. Разные органические молекулы строятся из одних и тех же блоков по принципам, очень напоминающим знаменитый конструктор лего. А число изомеров у сложных молекул может быть любым – вплоть до десятков, сотен, тысяч, миллионов и так далее. У белков и нуклеиновых кислот оно вообще достигает астрономических величин (см. главы 3, 8).
Разнообразие кислородсодержащих органических веществ вовсе не исчерпывается спиртами и простыми эфирами. Дело в том, что кислород может образовать с углеродом не только одинарную связь, но и двойную. К самому кислороду тогда больше ничего не присоединяется (двойная связь поглощает обе его валентности), и возникает легко узнаваемая группа – СO–. Если по обеим сторонам этой группы находятся углеводородные радикалы, такое соединение называется кетоном. Общая формула кетона: R1–CO – R2. Самый простой кетон имеет формулу CH3–CO – CH3 и называется ацетоном; он широко известен как бытовой растворитель. Если же по одну сторону от группы – CO– находится углеводородный радикал, а по другую просто атом водорода, то такое соединение называется альдегидом. Общая формула альдегида: R – CO – H.
Интересно, что и вещество с формулой H – CO – H, где оба радикала сводятся к атомам водорода, тоже принято считать альдегидом. Название этого вещества – муравьиный альдегид, или формальдегид. Это одно из самых простых органических веществ в природе. Водный раствор формальдегида, часто используемый биологами для консервации объектов, – жидкость с отвратительным едким запахом, которая называется формалином. За формальдегидом по сложности следует уксусный альдегид (CH3–CO – H), ну и так далее.
Бывает и так, что в одну и ту же молекулу входит несколько разных кислородсодержащих групп. Например, спирт, который одновременно является альдегидом или кетоном, по-научному называется углеводом. Самый простой из всех возможных углеводов – гликольальдегид, формула которого CH2OH – CO – H. Как видим, гликольальдегид включает в себя всего два атома углерода. Один из этих атомов углерода несет гидроксильную группу (как в любом спирте), а второй входит в состав альдегидной группы.
Относительно простые углеводы часто называют сахарами. Таким образом, гликольальдегид – это двухуглеродный сахар. Вот тут мы уже в полной мере заходим в область биологии: гликольальдегид – важный участник обмена веществ во всех живых клетках.

