
Шанхайская головоломка
Срок аренды квартиры, в которой я жил, подходил к концу, и я был не в состоянии оплатить следующие полгода, так что через несколько дней вполне мог оказаться на улице. Возвращаться в родительский дом и сталкиваться с насмешками матери и отца мне не хотелось. Жить в проклятом месте по-любому лучше, чем быть бездомным, правда ведь? В крайнем случае можно подкопить деньжат и в будущем съехать на новое жилье. С другой стороны, мне бы не хотелось, чтобы Чэнь Цзюэ и Ши Цзинчжоу смотрели на меня свысока.
Не боюсь я этого дьявольского дома! Я человек с высшим образованием, почему же рассуждаю как малограмотный деревенщина? Поэтому скрепя сердце я кивнул в знак согласия.
Ши Цзинчжоу поднял большой палец вверх в качестве одобрения:
– Хань Цзинь! Знал я, что ты храбрый, да не думал, что настолько – с умершими в одном доме жить… Позор мне, что я трусливей вас!
Позже мы узнали, что бо́льшая часть истории, рассказанной Чэнь Цзюэ, – ложь. Но это уже частности, оставим их на будущее.
2
Ранним утром следующего дня я собрал вещи, попрощался со своей старой квартирой и переехал в новое жилище на улице Сынань.
Чэнь Цзюэ не ожидал, что я перееду так скоро. Мы с ним перенесли мои пожитки в комнату на втором этаже. Я провел день, обустраивая комнату и раскладывая вещи. Чэнь Цзюэ сказал, что, кроме вещей в его спальне, все общее, в особенности книги в гостиной. Если меня что-то заинтересует, я могу взять это в любое время без его ведома.
Разузнав о моей профессии, он сказал, что у него есть полное собрание бесценного «Эришисы ши»[11] от «Китайского книгоиздательства».
– Там, на нижних полках, как откроешь шкаф, сразу увидишь.
Я был ему очень благодарен. Хоть книг у него было много, он не собирал их специально, а лишь использовал в качестве инструментов.
Что касается работы, то благодаря знакомству с Ши Цзинчжоу я успешно устроился репетитором. Так я и получал больше, и мне не надо было каждый день торчать на работе от звонка до звонка. Без бремени аренды моя жизнь стала в разы комфортнее, чем раньше. У меня появились свободные деньги, и я мог покупать то, что хочется. Жизнь мало-помалу налаживалась.
Однако после нескольких дней общения я стал все сильнее и сильнее ощущать ауру загадочности, которая исходила от моего соседа по дому.
Чэнь Цзюэ обычно ложился очень поздно, около двух или трех часов ночи, и я точно никогда не видел, чтобы он уходил спать раньше полуночи. Часто он с кем-то созванивался в своей комнате и подолгу разговаривал; до моего слуха периодически долетали слова «труп» и «убийство», что разжигало во мне еще больший интерес к его занятию.
Иногда после звонка Чэнь Цзюэ сразу же уезжал и мог не появляться дома дня два. Порой он, не говоря ни слова, на целый день запирался у себя в комнате или сутками напролет что-то вычислял на доске в гостиной. Я не обращал на него внимания, поскольку понимал, что у каждого человека есть свои личные дела и не стоит совать в них нос – это элементарная вежливость.
Так все и продолжалось, пока однажды за ужином мы не начали обсуждать убийство, прогремевшее на всю страну. В тот день я пришел от учеников домой. По дороге заскочил в супермаркет и купил много всяких вкусностей по скидке. Когда я вернулся, мы с Чэнь Цзюэ засучили рукава и состряпали вполне сносный ужин. Должен признать, что кулинарные способности Чэнь Цзюэ выше всяких похвал, и мои не идут с ними ни в какое сравнение. У него свое уникальное видение процесса приготовления пищи, но об этом позже.
Двенадцатого апреля прошлого года в пять часов пополудни в районе Хункоу, в съемной квартире на улице Дунбаосин была убита офисная сотрудница по фамилии Чэнь. В ходе полицейского расследования обнаружилось, что у потерпевшей было перерезано горло. Тело жертвы было обнажено, в верхней части туловища имелось двадцать ножевых ран. Это дело привлекло внимание полиции Хункоу, для проведения расследования была создана следственная группа, однако из-за нехватки улик и большого количества людей, бывавших на съемной квартире, в ходе расследования возникли трудности, и оно зашло в тупик. В том же году двадцатого августа в районе Путо, на улице Цао’ань был найден труп девушки с перерезанным горлом. В верхней части тела было обнаружено тридцать шесть колото-резаных ран.
После судебно-медицинской экспертизы выяснилось, что способ убийства в обоих случаях совпадает. Идентичные преступления вызвали панику у городского населения. В СМИ убийцу окрестили «Новым Потрошителем», посвятив ему значительную часть материалов. По состоянию на пятнадцатое апреля текущего года было убито десять женщин, а убийца все еще оставался на свободе.
После этого Управление общественной безопасности Шанхая опубликовало публичный отчет о расследовании серии убийств, в котором гражданам была обещана награда в размере двухсот тысяч юаней за нахождение и предоставление любых зацепок, связанных с личностью преступника, чтобы как можно быстрее раскрыть дело. Внезапно, совсем на днях, преступление, не дававшее покоя полиции уже долгое время, было раскрыто: убийцей оказался рядовой сотрудник некой фирмы. После его ареста соседи и коллеги виновного в один голос утверждали, что не могут в это поверить; в глазах людей он был порядочным и добрым человеком. Никто и думать не мог, что имеет дело с настоящим маньяком.
Дочитав отчет, я с радостью сказал Чэнь Цзюэ:
– Вот ведь как! В Китае убийцу обязательно поймают. Хотел обмануть опытных полицейских из уголовного розыска? Пустое это дело!
Внезапно Чэнь Цзюэ не согласился со мной:
– Методы уголовной полиции примитивны, к тому же в них нет упора на логику. Там больше предпочитают опираться на схожие дела. Конечно, опытный полицейский часто способен раскусить преступника сразу, однако и он не застрахован от промаха. Если же брать за основу научный метод, то вероятность совершить ошибку снижается во много раз.
– Но ты не можешь отрицать, что у них получилось! – Я передал газету Чэнь Цзюэ. – Они нашли в доме убийцы кучу улик. Вдобавок преступник самолично признался в злодеяниях.
Чэнь Цзюэ взял газету с холодной усмешкой:
– Я раскрыл это дело.
– Что?! – Я подумал, он шутит.
– Говорю, я раскрыл это дело. На прошлой неделе ко мне обратился капитан городского управления уголовного розыска Сун Босюн и предложил мне поучаствовать в совещании. И я поделился с ними кое-какими замечаниями.
Чэнь Цзюэ опустил голову и принялся за еду, будто говорил о совершенно рядовых вещах.
– Я знаю, что ты умен, но это чересчур странно, не находишь? Зачем они пригласили тебя на встречу?
– Спроси их. Когда мне позвонил капитан Сун, он сказал: мол, профессор, нам крайне необходима ваша помощь. Как бы то ни было, мне тогда было нечем заняться, и поэтому я поехал к ним. В общем, получил я обещанное вознаграждение, на первое время хватит.
Было не похоже на то, что Чэнь Цзюэ лжет. Или же его актерская игра исключительно хороша?
– Профессор?.. Ты что, профессор?
– И да, и нет. – Он взял со стола бокал красного вина и сделал глоток.
– Как такое может быть, что ты раскрыл дело? Какие советы ты им дал?
Я всю жизнь не мог терпеть лжецов, и, несмотря на то что мы с Чэнь Цзюэ слишком мало общались, мне и в голову не могло прийти, чтобы он вдруг оказался пустомелей. Да как вообще служба уголовного розыска допустила простого смертного до расследования убийства? Мы же не в детективном романе!
Поэтому я намеревался расспрашивать его о мельчайших подробностях до тех пор, пока он не признается в том, что подшутил надо мной.
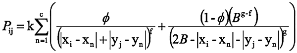
Видя мой серьезный настрой, Чэнь Цзюэ отложил столовые приборы. Поднявшись, он подошел к доске и написал на ней сложную формулу:

– Что это?
– Формула Россмо. Математическая модель анализа преступления, – пояснил Чэнь Цзюэ. – Надо лишь внести несколько детализированных параметров, и тогда мы сразу вычислим местонахождение преступника.
– Как же…
Не обращая внимания на мою реакцию, Чэнь Цзюэ продолжил объяснять:
– Если ты при наличии конкретных материальных условий прибегнешь к математике, нужно лишь правильно провести расчеты, и тогда математика приведет тебя к верному ответу. Серийный убийца всегда выбирает подходящую, по его мнению, точку для совершения преступления, пытаясь скрыть место своего пребывания. Тем не менее эта формула способна выявить всю подноготную и с высокой вероятностью определить пристанище убийцы, превращая поиск иголки на дне морском в поиск иголки на дне чашки. Хань Цзинь, если тебе интересно, я с радостью объясню тебе принцип расчета формулы Россмо.
Я замахал рукой в знак отказа:
– Не стоит, я гуманитарий. Так с помощью этой формулы ты вычислил адрес убийцы?
Чэнь Цзюэ кивнул:
– Это очень важная составляющая. Нужно только логически обосновать данную формулу, и тогда она поможет полиции провести расследование более гладко. Фактически раскрытие дела об убийстве и решение сложной математической задачи – одно и то же. Тебе известны условия и неизвестен ответ. При точных условиях и тщательной проверке решения ты всегда найдешь его.
Этот случай поразил меня. Не суди по одежке: думаешь, что перед тобой не более чем томный красавчик, а потом с удивлением узнаешь, что он особый консультант городского управления уголовного розыска… С тех пор мой интерес к личности Чэнь Цзюэ только возрастал. Когда выпадала свободная минутка, я приносил две чашки кофе и болтал с ним в гостиной. Таким образом я узнал немало о его прошлом.
Его жизнь напоминала роман, и если б я собственными ушами все не услышал, то подумал бы, что это небылица.
Чэнь Цзюэ не горел желанием сообщить мне имя своего отца. О матери он тоже особо не упоминал. Я лишь узнал, что ее фамилия Юань и что она работала в музыкальной сфере. Благодаря тому, что Чэнь Цзюэ сызмальства был одаренным математиком, поступив в начальную школу, он тут же перескочил через два класса, а в 1999 году стал золотым медалистом международной математической олимпиады. В конечном счете оказалось, что школьная программа никак не поспевает за его развитием, и после окончания средней школы он принял решение бросить учебу и самостоятельно заниматься математикой. В шестнадцать лет его статью о континуум-гипотезе опубликовали в «Журнале символической логики». Это привлекло внимание математического научного сообщества, и Чэнь Цзюэ был зачислен на математический факультет Пристонского университета. В две тысячи четвертом он получил степень бакалавра, в две тысячи пятом – магистра, в две тысячи девятом стал доктором наук, а в две тысячи одиннадцатом принял приглашение Калифорнийского университета в Лос-Анджелесе стать помощником профессора со специализацией по аналитической теории чисел.
Чэнь Цзюэ одно время называли «самым многообещающим молодым профессором Китая, получившим Филдсовскую премию[12]». В тот период он использовал свои математические познания и логические умозаключения, чтобы помогать полиции Лос-Анджелеса в раскрытии множества серийных убийств, став консультантом по уголовным делам главного управления полиции Лос-Анджелеса. Шериф округа Лос-Анджелес Майкл Д’Антонович лично удостоил Чэнь Цзюэ звания «Почетный гражданина города Лос-Анджелес» в городской мэрии и вручил ему соответствующий диплом.
Чэнь Цзюэ на тот момент было всего двадцать четыре года – ну просто герой романа!
Но по прошествии двух лет Чэнь Цзюэ был внезапно изгнан из научного сообщества. Его уволили из университета, и он вернулся на родину.
Причины произошедшего Чэнь Цзюэ держал в строжайшем секрете: ни малейших упоминаний. Я только знаю, что его ошибка стоила студенту жизни. Администрация учебного заведения посчитала, что он, как преподаватель, ведет себя недостойно, не стесняется в выражениях и некомпетентен. После отъезда из США Чэнь Цзюэ побывал во многих странах, вот только нигде подолгу не задерживался. Он даже когда-то использовал свои математические навыки, чтобы выиграть порядочно денег в казино в Австралии, но по возвращении домой бо'льшая часть средств утекла в лапы телефонных мошенников, которые умудрились его развести.
От этой истории мне хотелось и плакать, и смеяться.
Прожив все эти дни с Чэнь Цзюэ, я начал замечать некоторые характерные особенности его поведения. Как я уже упоминал, он страдал от синдрома Аспергера с его типичной склонностью к антисоциальному расстройству личности. Из-за социальной дезадаптации он мог иногда говорить непостижимые вещи, совершенно не заботясь о чувствах других. Он не привык подолгу размышлять и предпочитал сразу высказывать свою точку зрения напрямую, ставя окружающих в тупик. Притом никогда не думал, что с ним что-то не так.
– Моя правота подтвердилась, этот человек – идиот. Почему же он злится? – часто спрашивал он меня.
– Нельзя говорить кому-то в лицо о его недостатках, это невежливо, – пояснял я.
– Хань Цзинь, но сказать ему в лицо, что он умен, было бы все равно что посмеяться над ним!
Против каких-то из его слов я просто не смел возражать. Он обожал спорить с людьми, и его высказывания легко приводили их в бешенство. Именно это и служило причиной того, что у него почти не было друзей. Его заносчивый характер тоже был достаточным доводом, чтобы никто не желал пытаться найти с ним общий язык. Некоторые его выражения были чересчур категоричны и бесчеловечны.
Помню, как однажды я прогуливался с ним в парке и неожиданно сказал:
– Я понял, что ты очень похож на Шерлока Холмса. Такой же асоциальный, такой же проницательный. Вот только он был химиком, а ты – математик.
– Ты ошибаешься, – Чэнь Цзюэ покачал головой. – Холмс ни разу не химик, он абсолютно некомпетентен.
– С чего вдруг ты так решил?
Вместо того чтобы раздражаться из-за моего вопроса, Чэнь Цзюэ спокойно сказал:
– Помнишь, в «Медных буках», когда Холмс узнал, что ему надо поспешить на поезд к определенному времени, он сказал, что придется отложить анализ ацетона.
– И что?
– А то, что ему должна была быть известна уже открытая к тому времени формула ацетона. Холмс перепутал конкретное вещество ацетон с классом веществ, к которому тот принадлежит, – с кетонами. Также в «Этюде в багровых тонах» он ошибочно определяет пропорцию крови в воде. В «Установлении личности» Холмс путает барий с его оксидом[13]. В «Пальце инженера» он рассматривает сплав, не содержащий ртути, как амальгаму[14]… Таких элементарных ошибок в приключениях Шерлока Холмса просто тьма-тьмущая. Как же ты можешь считать его химиком? Как по мне, Холмс не более чем любитель.
– А что ты тогда думаешь о таком же математике, как ты, – профессоре Мориарти? Он ведь даже более одарен, чем Холмс!
– Ты имеешь в виду автора забавной книжицы «Динамика астероида»? – Чэнь Цзюэ рассмеялся.
– Что в ней забавного?.. И потом, профессор Мориарти в возрасте двадцати одного года опубликовал научную работу о биноме Ньютона, и она произвела фурор в европейском математическом сообществе.
– За сорок лет до того, как профессор Мориарти опубликовал эту работу, норвежский математик Нильс Хенрик Абель уже доработал последние штрихи теоремы, названной в честь него «биномальной теоремой Абеля». Другими словами, он оставил гениального Мориарти не у дел, опередив его на несколько десятков лет… Ладно, давай вернемся к этой пресловутой «Динамике астероида». Во второй половине девятнадцатого века в изучении движения астероидов уже ничего нельзя было открыть, пользуясь законами ньютоновской механики. Вот если б Мориарти предвосхитил общую теорию относительности Энштейна[15] или решил гравитационную проблему, прозванную «задачей трех тел»[16]… Но тогда расчеты были бы применимы ко всем движущимся объектам, а не только к астероидам.
Его ответ заставил меня прикусить язык. Но я был крайне возмущен и потому снова заговорил:
– Они всего лишь персонажи! Почему ты судишь их так строго, а? Просто признай, что Холмс великий, и остановимся на этом.
Чэнь Цзюэ пожал плечами и с безучастным выражением лица ответил:
– Вот видишь, я человек, который портит все веселье.
3
Спокойные дни тянулись один за другим, и я не заметил, как наступила августовская жара.
Работа репетитора стала очень хлопотной; я чуть ли не целые дни напролет проводил в домах своих учеников и возвращался обратно в восьмом-девятом часу вечера. Я предпочитал вставать рано, а Чэнь Цзюэ, как уже говорилось, был тем еще полуночником: иногда мы и пару раз в день могли не увидеться. В тот вечер я, как обычно, шел домой и увидел, что в гостиной на первом этаже горит свет, что было немного странно. Чэнь Цзюэ никогда не оставлял свет включенным, если только кто-то не пришел в гости.
И действительно, когда я вошел в дом, то увидел сидевшего на диване незнакомого мужчину. Заметив меня, он поднялся, и Чэнь Цзюэ непринужденно представил нас друг другу.
Гостя звали Гу Ян, он оказался однокурсником Чэнь Цзюэ из Принстона, а в настоящий момент под его управление перешел семейный бизнес. Его отец, Гу Юнхуэй, был из первого поколения бизнесменов, разбогатевших на политике реформ и открытости Китая[17]. Жаль только, что он покинул этот мир в самом расцвете сил лет двадцать назад. Гу Яну было около тридцати лет. Рост сто семьдесят пять сантиметров, очки, съехавшие на переносицу; он создавал впечатление воспитанного молодого человека, а не своевольного богача во втором поколении. Был вежлив и мягок и одет неброско.
– Хань Цзинь, давай присядем и поговорим, – вздохнул Чэнь Цзюэ. – Мы с Гу Яном не виделись почти пять лет.
Гу Ян, кивнув, произнес:
– Никак не ожидал, что ты тоже вернешься в Китай. Но с таким норовом, как у тебя, в самом деле не следует преподавать в университете.
Чэнь Цзюэ горько усмехнулся:
– Людям вроде меня нигде нет места.
Услышав эти слова, Гу Ян не выдержал и рассмеялся:
– Вот здесь я с тобой согласен, чудак ты эдакий! В самом деле, господин Хань наверняка испытывает трудности, ведь жить с тобой под одной крышей в высшей степени невыносимо. Еще помнишь, как нас с тобой поселили в одной комнате в общежитии? Я сутками напролет умолял поселить меня с кем-то другим, но администрация не позволила.
– Как не помнить… Ты тогда несправедливо обвинил меня в краже часов.
– Ой, не вороши прошлое! – упомянув о былом, Гу Ян выглядел немного сконфуженным. – Ты ведь тогда поймал того парня, Деклана!
– Да, у нашего золотого мальчика Гу были только гуманные и справедливые помыслы. Приняв во внимание, что это был первый проступок, совершенный на почве отчаяния от крайней бедности, он не только отпустил ему все грехи, но и выдал бедняге несколько тысяч долларов. Деклану надо было благодарить всех богов: мало того, что его даже не исключили, так он еще и кучу денег заграбастал. Неудивительно, что после выпуска он хотел уехать в Китай продвигать бизнес… Его сиятельство Гу Ян повысил престиж нашей страны; он показал всем, какая древняя у нас история, сколько у нас природных богатств и какие глупые и богатые у нас люди.
– Да-да, я дурак, а ты самый умный: возвращаясь в общагу посреди ночи, не даешь тебя напугать до полусмерти!
– Хань Цзинь, у золотого мальчика Гу есть одно дурное пристрастие. Ему нравится прятаться за дверью, и когда ты ее открываешь, он выпрыгивает и пугает тебя. Особенно любит делать это в районе полуночи…
Почувствовав себя неловко от насмешек, Гу Ян отмахнулся:
– Ладно, хорош глумиться. Если так пойдет, ты все тайны моего прошлого разболтаешь.
– Это уж точно, – самодовольно продолжил Чэнь Цзюэ. – Кстати, астма у тебя так и не прошла?
– Ох, врожденное не проходит, но я сейчас в ремиссии. К слову, после того случая с «фантомной пулей» в Нью-Йорке ты все еще общаешься с мисс Мосс?
– Общался несколько раз, но только по делу.
– Эх ты! Пора бы тебе уже завести романтические отношения с девушкой. Мисс Мосс, на мой взгляд, была весьма недурна; может, у вас что-нибудь да и вышло бы.
– Ты же понимаешь, я не создан для такого.
Я редко видел, чтобы Чэнь Цзюэ так улыбался. Похоже, он был действительно в хороших отношениях с Гу Яном.
Чэнь Цзюэ говорил мне, что все люди, изучающие математику, одиноки. Потому что математику трудно сделать общедоступной – она не похожа на литературу, философию, искусство, музыку. Даже не зная основ любой из этих сфер, их можно избрать темой для разговора и обменяться парой фраз с профи. Математика же – наука, которая изучает количественные отношения, пространственные отношения и логическую взаимосвязь в реальном мире. Она придает большое значение дедуктивным[18] выводам, но именно дедуктивные выводы делают многие доказательства теорем оторванными от конкретики, что приводит в ступор людей с недостатком математических знаний и отсутствием должной логической подготовки.
После еще нескольких фраз Гу Ян вдруг выпрямился и с серьезным видом сказал Чэнь Цзюэ:
– Я пришел сюда на этот раз, чтобы попросить тебя об одолжении. Мгла, окутывающая это дело, сковала мое сердце, и уже долгое время никто не в силах ее рассеять. Чэнь Цзюэ, ты – самый первый друг, который появился у меня в США, и тебе я больше всех доверяю. Надеюсь на твою помощь.
Чэнь Цзюэ, казалось, предугадал это. Выражение его лица оставалось неизменным, но он едва кивнул головой, дав понять Гу Яну, чтобы тот продолжил.
Гу Ян вздернул голову и через пару мгновений, как будто набравшись смелости, произнес:
– Я хочу попросить тебя расследовать дело моего отца.
– Гу Ян…
– Не переубеждай меня. Я просто хочу, чтобы ты ответил: да или нет, – тут же перебил тот.
– Не спеши, сначала выслушай меня, – терпеливо сказал Чэнь Цзюэ. – Я кое-что знаю о смерти твоего отца. Я в курсе, что то крайне громкое дело двадцатилетней давности связано с твоим отцом. Но ты никогда об этом не упоминал, а мне было неудобно расспрашивать. Ты пришел ко мне сегодня, и раз уж обо всем рассказал, я как друг обязательно помогу тебе. Даже если б мы не были дружны, мне все равно хотелось бы расследовать столь старое дело в поисках истины!
– Так ты обещаешь мне? – удивился Гу Ян.
– Я принимаю твой заказ. Но хоть я не детектив и не юрист, а всего лишь консультант по уголовным делам, вознаграждение потребую не меньшее! – со смехом ответил Чэнь Цзюэ.
– Тогда я выдам тебе чек, и ты впишешь туда сумму, которую посчитаешь достаточной. Мне все равно, сколько я потрачу денег, если ты разберешься в этом деле и очистишь имя моего отца. – Гу Ян был серьезен и, казалось, так же всерьез воспринял шутку Чэнь Цзюэ.
– Ого! Второе поколение богачей совсем другое: деньги для них по-прежнему не проблема, а вот манера общения совершенно иная… Я пошутил насчет вознаграждения. Если мне не изменяет память, год, когда произошел инцидент с твоим отцом, – тысяча девятьсот девяносто четвертый. С тех пор прошло двадцать лет, и немало улик и данных были утрачены.
Даже обычно уверенный в себе Чэнь Цзюэ нахмурился, когда сказал это.
Я слушал их разговор, словно в тумане. Судя по их дальнейшим словам, похоже, двадцать лет назад отца Гу Яна несправедливо обвинили в убийстве. Сын вернулся из-за границы, чтобы повторно расследовать это дело.
– У меня с собой одна вещь, на которую тебе следует взглянуть. Возможно, она не представляет особой ценности – многие так думали, но я всегда чувствовал, что отец не просто так мне ее оставил. Среди всех, кого я знаю, ты самый умный, и если посчитаешь ее бессмысленной, я не стану с тобой спорить. Отныне я не буду упорно придерживаться своей точки зрения.
Говоря все это, Гу Ян взял стоявший рядом с ним черный портфель, положил его на колени, расстегнул молнию и достал потертый блокнот. Взглянув на Чэнь Цзюэ, словно подумал о чем-то неприятном; на его лице промелькнула гримаса боли. Он положил блокнот на журнальный столик, подвинул его в сторону Чэнь Цзюэ и убрал портфель.
Чэнь Цзюэ взял блокнот, открыл его на первой странице и принялся читать. В комнате внезапно повисла тишина. Я наклонился поближе и увидел заголовок – «Белоснежка в тайной комнате».
Это сказка или роман? Я еще сильнее запутался…
Гу Ян сдвинул очки на переносицу и пояснил:
– Этот блокнот заполнял мой отец, пока не повесился в психиатрической больнице. Странный текст, потому что в обычное время он не мог написать нечто подобное. Так почему же перед смертью он вдруг решил оставить мне эту запись? Это сказка; я раз за разом ее перечитывал, но так ничего и не выяснил.
Чэнь Цзюэ молчал, всецело сосредоточившись на чтении. В такой ситуации его лучше было не беспокоить.
Спустя десять с лишним минут он отложил блокнот и обратился к Гу Яну:
– Ты не ошибся, это действительно не обычная сказка. Это завещание твоего отца, и в нем очень много информации. Только сейчас у нас на руках крайне мало улик; их недостаточно, чтобы раскрыть то, что скрывается за этой сказкой. Мне надо знать гораздо больше.

