
Курс «Применение трубопроводной арматуры». Модуль «Арматура антипомпажной защиты и регулирования»

Предисловие.
Дистанционный курс "Применение трубопроводной арматуры"
Дистанционный курс "Применение трубопроводной арматуры" является самостоятельным курсом системы дополнительного профессионального образования в арматурной отрасли. Его основное предназначение – повышение профессиональной квалификации в области инжиниринга и применения трубопроводной арматуры для широкого круга специалистов.
Особенности курса
Курс "Применение трубопроводной арматуры" предназначен для слушателей, имеющих незначительный опыт или не имеющих опыта в анализе, подборе, и применении арматуры.
Курс может быть полезен для специалистов по эксплуатации арматуры предприятий-потребителей, технических специалистов, коммерческих инженеров, разрабатывающих проектные спецификации арматуры, специалистов по развитию и менеджеров по продажам и маркетингу.
Описание
В результате овладения материалами курса слушатель начинает разбираться в современных подходах к выбору и применению арматуры, знакомится с основными особенностями применения трубопроводной арматуры в основных отраслях промышленности, овладевает навыками подбора арматуры и аксессуаров в зависимости от технических, экономических и проектных требований, практикуется в умении анализа альтернатив выбора арматуры; определяет возможности повышения уровня проектных спецификаций арматуры в ходе ее выбора на основе применения критериев повышения эффективности арматурного хозяйства и использования современных способов сервиса арматуры, более глубоко узнает связи арматуры не только с особенностями технологии, но и с различными сторонами работы предприятий.
По окончании обучения слушатель получает сертификат о прохождении программы дополнительного профессионального образования и удостоверение установленного образца о повышении квалификации.
Структура курса
Курс построен по модульной системе и включает в себя:
1. Базовый модуль "Современные подходы к выбору и применению трубопроводной арматуры",
2. Специализированные модули по применению арматуры в основных отраслях промышленности
– Модуль "Применение арматуры в химии и ЦБП"
– Модуль "Применение арматуры в энергетике
– Модуль "Применение арматуры в ЖКХ"
– Модуль "Применение арматуры в горной промышленности и металлургии"
– Модуль "Применение арматуры в нефтегазовой отрасли"
– Модуль "Арматура и оборудование морских платформ"
– Модуль "Арматура систем антипомпажной защиты и регулирования"
3. Модули по выбору
– Модуль "Основы управления качеством, сертификация и стандартизация трубопроводной арматуры"
– Модуль "Основы предоставления сервисных услуг и организации сервисных центров"
– Модуль "Программы повышения эффективности арматурного хозяйства предприятий-потребителей арматуры"
Для получения документа об образовании и полного обучения по курсу "Применение трубопроводной арматуры" слушатель должен пройти обязательный базовый курс, не менее одного из специализированных курсов и один курс по выбору.
Особенности дистанционного обучения на курсе
Курс построен в виде электронного учебника и рабочей тетради, что дает возможность слушателям курса использовать свои комментарии и наработки в качестве рабочего конспекта в своей дальнейшей практической работе и профессиональной деятельности.
Сроки обучения
Срок обучения 3 мес. по методике дистанционного обучения с момента открытия доступа по базовому курсу "Применение трубопроводной арматуры" и до 6 месяцев по курсу со специализацией.
Виды специализации
Применение трубопроводной арматуры в химии и ЦБП. Специализация включает изучение курса "Современные подходы к выбору и применению арматуры" и углубленное изучение вопросов применения арматуры в химической и целлюлозно-бумажной промышленности.
Применение трубопроводной арматуры в энергетике. Специализация включает углубленное изучение курса "Применение трубопроводной арматуры в энергетике.
Применение трубопроводной арматуры в ЖКХ. Специализация включает углубленное изучение курса "Применение трубопроводной арматуры в ЖКХ".
Применение трубопроводной арматуры в горной промышленности и металлургии. Специализация включает углубленное изучение курса "Применение трубопроводной арматуры в горной промышленности и металлургии".
Применение трубопроводной арматуры в нефтегазовой отрасли. Специализация включает углубленное изучение курса "Применение трубопроводной арматуры в нефтяной, газовой, нефтеперерабатывающей и нефтехимической промышленности".
Программы повышения эффективности арматурного хозяйства предприятий-потребителей. Специализация включает углубленное изучение курса:
"Основы предоставления сервисных услуг и организации сервисных центров"
"Программы повышения эффективности арматурного хозяйства предприятий-потребителей арматуры".
РЕГИСТРАЦИОННАЯ ФОРМА
приведена на сайте www.novotechnos.com и www.promconsult.org
СОДЕРЖАНИЕ ПРОГРАММЫ
ОБУЧЕНИЕ С ПРИМЕНЕНИЕМ ДИСТАНЦИОННОЙ ФОРМЫ ОБУЧЕНИЯ
Что такое дистанционное обучение? Андрагогический подход к обучению. Основы методики дистанционного обучения в профессиональном образовании. Технология дистанционного обучения. Электронные учебники и методические пособия. Руководства в помощь слушателям. Поддержка слушателей. Тьюторы. Группы самопомощи. Организация самостоятельной работы. Маршрутная карта обучения. Самооценка прогресса в обучении. Пути повышения навыков самообразования при дистанционном обучении.
ОСНОВНОЙ МОДУЛЬ
МОДУЛЬ 1. СОВРЕМЕННЫЕ ПОДХОДЫ К ВЫБОРУ И ПРИМЕНЕНИЮ ТРУБОПРОВОДНОЙ АРМАТУРЫ
Модуль "Современные подходы к выбору и применению трубопроводной арматуры" курса "Применение трубопроводной арматуры" дает представление об основах выбора трубопроводной арматуры в зависимости от различных противоречивых требований, которые, как правило, предъявляются к трубопроводной арматуре.
Обсуждаются технические, экономические и проектные критерии в выборе трубопроводной арматуре. Дается представление о подходах к выбору перспективных моделей арматуры на основе прогнозных критериев и применения функционально-стоимостного анализа, как одного из самых эффективных методов при выборе арматуры.
Проводится обзор применения арматуры в основных отраслях промышленности, таких как химическая, целлюлозно-бумажная промышленность, энергетика и ЖКХ, нефтегазовая промышленность, металлургия и такие важные отраслевые сегменты как криогенная техника и промышленные газы, пищевая и фармацевтическая промышленность.
Модуль снабжен большим количеством кейсов, демонстрирующих применение показанных моделей и концепций на практике.
СПЕЦИАЛИЗИРОВАННЫЕ МОДУЛИ
МОДУЛЬ 2. ПРИМЕНЕНИЕ ТРУБОПРОВОДНОЙ АРМАТУРЫ В ХИМИИ И ЦБП
Модуль "Применение трубопроводной арматуры в химии и ЦБП" рассматривает основные подходы к выбору и применению арматуры в основных технологических процессах и установках химической и целлюлозно-бумажной промышленности. Рассматриваются основные сложности и проблемы применения арматуры в древессно-массном, целлюлозном и бумажном производстве, а также деревообрабатывающей промышленности.
Особое внимание уделяется рассмотрению вопросов применения арматуры в энерготехнологических котлах химических и целлюлозных производств. Показано сравнение применения различных видов арматуры и тренды развития арматуры в зависимости от развития средств автоматизации.
В дополнительном модуле "РАЗВИТИЕ ПАРАМЕТРОВ РЕГУЛИРУЮЩЕЙ АРМАТУРЫ В КОНТУРАХ РЕГУЛИРОВАНИЯ ТЕХНОЛОГИЧЕСКИХ СХЕМ ЦБП" демонстрируются перспективы развития арматуры в зависимости от изменения требований целлюлозно-бумажного производства, усовершенствований в технологических схемах контурах регулирования.
МОДУЛЬ 3. ПРИМЕНЕНИЕ АРМАТУРЫ В ЭНЕРГЕТИКЕ
Модуль "Применение арматуры в энергетике и ЖКХ" дает представление о применении энергетической арматуры в крупных энергетических тепловых электростанциях, котельных и энерготехнологических установках, а также в промышленной энергетике. Особое внимание уделено вопросам применения арматуры вращательного действия и наиболее эффективным местам ее установки по сравнению с линейной арматурой.
МОДУЛЬ 4. ПРИМЕНЕНИЕ АРМАТУРЫ В ЭНЕРГЕТИКЕ
Модуль "Применение арматуры в ЖКХ" дает представление о применении арматуры в котельных, теплосетях, тепловых пунктах, сетях газораспределения, водоснабжения, водоочистки и других объектах ЖКХ.
Рассматривается применение различных видов трубопроводной арматуры на магистральных теплопроводах. Среди арматуры для ЖКХ рассматриваются ее различные виды и применимость в тех или иных условиях эксплуатации.
МОДУЛЬ 5. ПРИМЕНЕНИЕ АРМАТУРЫ В ГОРНОЙ ПРОМЫШЛЕННОСТИ И МЕТАЛЛУРГИИ
Модуль "Применение арматуры в металлургии и горной промышленности" рассматривает особенности применения арматуры для горно-обогатительных, горно-металлургических, горно-химических, электрометаллургических и других производств черной, цветной металлургии, промышленности минеральных удобрений и других предприятий горнодобывающей промышленности.
Приводятся основные схемы и решения по применению различных видов арматуры на флотационных установках, сушильных барабанах и сепараторах, устройствах загрузки ферросплавов, печах, МНЛЗ, криогенных станциях и пр.
МОДУЛЬ 6. ПРИМЕНЕНИЕ АРМАТУРЫ В НЕФТЕГАЗОВОЙ ОТРАСЛИ
Модуль "Применение арматуры в нефтегазовой отрасли" дает представление о применении арматуры в основных процессах и установках и трубопроводах нефтяной и газовой промышленности, а также о применении арматуры на нефтехимических, нефтеперерабатывающих производствах и устройствах хранения нефти и газа.
МОДУЛЬ 7. АРМАТУРА И ОБОРУДОВАНИЕ МОРСКИХ ПЛАТФОРМ
В модуле "Арматура и оборудование морских платформ" представлено современное состояние трубопроводной арматуры, применяемой на морских платформах. Рассмотрены основные виды оборудования морских платформ, показаны примеры установки арматуры и основные проблемы, связанные с работой оборудования и арматуры.
Особое внимание уделено оборудованию и арматуре систем безопасности, как одной из ведущих систем морских платформ.
МОДУЛЬ 8. АРМАТУРА АНТИПОМПАЖНОЙ ЗАЩИТЫ И РЕГУЛИРОВАНИЯ
В модуле "Арматура для систем антипомпажной защиты и регулирования" рассматриваются основные явления и закономерности, характеризующие протекание помпажа в компрессорных установках, схемы антипомпажной защиты и регулирования на практических примерах.
Основное внимание уделено современной антипомпажной арматуре, применяемой для автоматизированных систем антипомпажной защиты и регулирования. Приведены конкретные примеры и кейсы по современной арматуре известных компаний.
Рассмотрены вопросы расчета антипомпажной арматуры и особенности применения антипомпажной арматуры для конкретных типов компрессорных установок.
МОДУЛИ ПО ВЫБОРУ
МОДУЛЬ 9. ОСНОВЫ УПРАВЛЕНИЯ КАЧЕСТВОМ, СЕРТИФИКАЦИЯ И СТАНДАРТИЗАЦИЯ ТРУБОПРОВОДНОЙ АРМАТУРЫ
Модуль "Основы управления качеством, сертификация и стандартизация трубопроводной арматуры" дает возможности слушателям ознакомиться с проблемами управления качеством трубопроводной арматуры, с ведущими международными системами стандартизации, затрагивающими сферу технического регулирования в области трубопроводной арматуры.
Подробно приводится методика поиска и идентификации международных и национальных стандартов. Проводится сопоставление отечественных нормативных документов на трубопроводную арматуру с аналогичной арматурой зарубежных стран и систем стандартизации. Показывается типовая структура российских стандартов. Демонстрируется сравнение структуры и оформления государственных стандартов РФ и спецификаций Американского нефтяного института (API). Проводится сравнительный анализ нормативных баз на трубопроводную арматуру.
МОДУЛЬ 10. ОСНОВЫ ПРЕДОСТАВЛЕНИЯ СЕРВИСНЫХ УСЛУГ И ОРГАНИЗАЦИИ СЕРВИСНЫХ ЦЕНТРОВ
Модуль "Основы предоставления сервисных услуг и организации сервисных центров" показывает особенности формирования сервисных услуг в сфере трубопроводной арматуры. Пособие курса содержит материалы по созданию и продвижению сервисных услуг и организации сервисных центров, основанных на практическом опыте сервисных служб арматурных компаний и компаний по продаже промышленного оборудования.
Подробно рассматриваются проблемы ремонта и обслуживания на предприятиях-потребителях, демонстрируются типовые сервисные программы обслуживания потребителя, существенное внимание уделяется особенностям организации работы склада и поставки запчастей, организации сервисного центра, источникам экономической эффективности сервиса и перспективам его развития. Приводится объемный материал по требуемым документам для организации работы сервиса и практические примеры сервисных программ для конкретных видов арматуры.
МОДУЛЬ 11. ПРОГРАММЫ ПОВЫШЕНИЯ ЭФФЕКТИВНОСТИ АРМАТУРНОГО ХОЗЯЙСТВА ПРЕДПРИЯТИЙ-ПОТРЕБИТЕЛЕЙ АРМАТУРЫ
Модуль "Программы повышения эффективности арматурного хозяйства" дает представление об основных тенденциях развития арматурного парка на предприятиях и о том, как можно было бы повысить эффективность использования арматуры на предприятиях-потребителях арматуры.
Среди основных программ повышения эффективности арматурного хозяйства предприятий выделяются:
– Программа "Специальная арматура и арматура для специализированных производств"
– Программа "Перевод линейной арматуры на арматуру с вращательным движением шпинделя"
– Программа "Арматура для критических участков и контуров регулирования"
– Программа "Повышение общей и метрологической надежности"
– Программа "Модернизация арматуры под новые условия производства"
– Программа "Унификация и стандартизация арматурного хозяйства"
– Программа "Агрегатирование арматурных узлов"
– Программа "Замена аналоговых позиционеров на цифровые и программы смартизации" и др.
Широко рассматриваются коммерческие программы с производителями отдельного оборудования и установок и программы сервисного обслуживания.
Введение и задачи модуля
Наверное, не существует такой отрасли промышленности, которая бы не использовала компрессоры. Компрессоры нашли широкое применение в металлургической, химической, газовой, нефтеперерабатывающей промышленности, производстве полимеров и пр. Широкое использование такой разновидности компрессорной техники как турбокомпрессоры повлекло за собой значительный рост автоматизации и разработки способов устранения такого опасного явления как помпаж.
Значительную роль в управлении помпажом играют клапаны антипомпажной защиты и регулирования. На их долю приходится функция отстройки от границы помпажа, способность быстро устранить возникающие ударные явления. При этом они должны успешно работать с различными алгоритмами антипомпажного регулирования и защиты и обеспечивать высокую экономичность.
Этот модуль разработан для того, чтобы глубже разобраться с особенностями помпажа и применяемых клапанов для систем антипомпажной защиты и регулирования.
1. Явление помпажа
1.1. Газодинамические характеристики компрессоров
К классу компрессоров, подверженных явлению помпажа, относятся турбокомпрессоры. К ним относятся осевые и центробежные компрессоры. Причем турбокомпрессоры с небольшими степенями повышения давления (до 22,5) и не требующие промежуточного охлаждения компримируемой среды относятся к вентиляторам и нагнетателям (нагнетатели имеют большие степени повышения давления по сравнению с вентиляторами).
Для всех видов турбокомпрессоров принято их рабочие параметры описывать в виде выходных газодинамических характеристик (далее характеристики).
Характеристики турбокомпрессоров различаются на размерные и безразмерные (в виде коэффициентов).
К размерным характеристикам относятся зависимости рабочих газодинамических параметров от объёмного расхода рабочей среды на входе в компрессор (производительность компрессора) и/или от массового расхода:
– политропный напор (политропная удельная работа):

где VH – объёмный расход на входе.

где Z – коэффициент сжимаемости газа (для вентиляторов и нагнетателей принимается по условиям всасывания);
R – удельная газовая постоянная;
TH – абсолютная температура газа на всасывании;
n – показатель политропы сжатия;
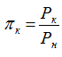
π – степень повышения давления в компрессоре (степень сжатия)

где PH и PK – давления (абсолютные) на входе в компрессор (всасывании) и на выходе из него соответственно;
– степень повышения давления

– полный напор или внутренний напор (располагаемая удельная работа)

определяется как разность энтальпий на выходе и входе компрессора:

где i – разность энтальпий;
Kср – показатель адиабаты сжатия (средний по компрессору);
Tk – температура газа на выходе из компрессора.
Внутренняя мощность, потребляемая компрессором на сжатие газа:


где m – массовый расход газа через компрессор;
– политропный коэффициент полезного действия (КПД):


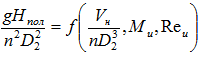
Рассмотренные размерные характеристики для компрессоров с переменной частотой вращения ротора графически представляются в виде сетки кривых, каждая из которых соответствует конкретной частоте вращения.
В общем случае напор компрессора зависит от окружной скорости на периферии рабочего колеса (РК)

где D2– диаметр РК;
n– частота вращения ротора, а также от чисел Маха (Mu ) и Рейнольдса (Re) на периферии РК, т.е.

Нагнетатели обычно работают в автомодельных областях по числам Mu и Reu, поэтому в соответствии с теорией подобия их влияние исключается и появляется возможность использовать безразмерные характеристики в виде коэффициентов. При этом для компрессоров с подобной геометрией проточной части сетка кривых размерных характеристик по различным частотам вращения преобразуется в одну кривую безразмерной характеристики, не зависящую от частоты вращения.
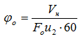
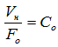
Безразмерные характеристики представляются в виде зависимостей от безразмерного коэффициента расхода:
– коэффициент политропного напора:

где



где F0 – площадь входа в компрессор;

– коэффициент полного (внутреннего) напора или коэффициент мощности:

– политропный КПД:

1.2. Основные критерии газодинамической устойчивости компрессоров
Помпаж турбокомпрессоров является автоколебательным процессом вследствие потери компрессором газодинамической устойчивости. В современной теории помпажа изучение закономерностей помпажных явлений, возможности его появления, определения амплитудно-частотных его характеристик и способов его подавления ведется путем описания и решения систем дифференциальных уравнений движения непрерывной вязкой среды в системе «компрессор-сеть» в условиях подвода энергии с использованием общей теории механических колебаний.
При этом результаты теоретических исследований обычно сопоставляются с экспериментальными данными, получаемыми в процессе испытаний турбокомпрессоров на модельных и натурных стендах.
Характер помпажа, возможность его появления связаны в основном с формой характеристики компрессора. В связи с этим задача изучения и устранения помпажа содержит две проблемы.
Первая – определение по известным характеристикам компрессора и сети условий возникновения помпажа и характер его протекания.
Вторая проблема заключается в получении заданных характеристик компрессора с требуемой зоной его устойчивости, которая решается на стадии проектирования компрессоров. Эта проблема решается путем исследования аэродинамики компрессоров с отрывными течениями в его проточной части, т.к. первопричиной потери газодинамической устойчивости является возникновение отрывных течений и их развитие вплоть до полного запирания основного потока.
Качественно картина помпажного режима, вытекающая из анализа дифференциальных уравнений, сводится к следующему. Система "компрессор-сеть", как и всякая система, выведенная из состояния равновесия, начинает колебаться вокруг равновесного состояния. При подводе к системе энергии, равной по величине затратам на преодоление сил сопротивления движению, колебания будут установившимися.
Если процесс подвода энергии органически связан с колебательным процессом, то колебания поддерживаются автоматически и называются автоколебаниями. При этом устанавливается такая амплитуда колебаний, при которой достигается равенство диссипирующей и подведенной энергии.
Энергия, затрачиваемая на поддержание процесса, подводится к газовому потоку в компрессоре. Когда диссипация энергии в системе невелика, то соответственно невелика и энергия, расходуемая на поддержание процесса. В этом случае процесс близок к свободным колебаниям и его частота в основном определяется инерционными и упругими свойствами системы, т.е. собственной частотой. Характер колебаний будет гармоническим.
Таким образом, помпаж в основном является устойчивым периодическим процессом. В то же время принято помпаж называть нестационарным режимом работы турбокомпрессора.
Задача устранения помпажа в литературе рассматривается с точек зрения как статической, так и динамической устойчивости в условиях влияния внешних факторов и числа оборотов компрессора. При этом характер протекания помпажа может быть мягким или жестким, как и условия его возбуждения (жесткое или мягкое возбуждение).
Статическая устойчивость определяется особенностями расположения характеристик компрессора и сети в окрестностях рабочей точки (точки пересечения характеристик) при конкретной величине расхода, т.е. определяется видом статических характеристик. Этот вид устойчивости аналогичен характеру устойчивости шарика на дне углубления или на вершине выпуклости (неустойчивость).
Понятия статической устойчивости и неустойчивости качественно можно рассмотреть, анализируя вид характеристик компрессора и сети в различных точках их пересечения. При этом рассматривается упрощенная модель системы "компрессор-сеть", содержащая компрессор со всасывающим трубопроводом, нагнетательный трубопровод с ресивером и дросселем за ним.
Характеристика компрессора представляется в виде

где
Pk – избыточное давление за компрессором;
Vk– объёмный расход за компрессором.
Характеристика сети:

где
Pб – избыточное давление перед дросселем;
QR – объёмный расход перед дросселем.
Обычно упрощенно считается, что зона статической неустойчивости компрессора соответствует восходящим участкам его характеристики, т.е.

