
Курс «Маркетинг и продажи промышленного оборудования». Модуль «Системная динамика рынка»
Сопротивление внешнему влиянию
Различные участники системы пытаются изменить запас каждый в свою сторону. Любые действия участников, особенно, те, которые окажутся эффективными, приведут лишь к тому, что запас изменится в сторону от целей других участников системы, что породит дополнительное сопротивление. Пример: повышение налогов или антиалкогольная кампания. Результат не нравится никому, но все прилагают усилия, чтобы его сохранить, рис.2.17.

Рис. 2.17. Схема балансирующих циклов
Балансирующие циклы возвращают запас обратно. При изменениях в балансирующих циклах происходит уравновешивание потока, и запас приходит к равновесию.
Чтобы выйти из ловушки, нужно собрать всех участников и перенаправить их силы с взаимного противостояния на достижение целей каждого путем, приемлемым для всех сторон. Или поставить более важную цель, которая стала бы общей для всех участников. Нужно пробовать договориться об уровне запасов и снять давление. Характерный пример – регулирование сезонных запасов сельхозпродукции и тем самым регулирование цен.
Эскалация конфликта
Когда значение одного запаса меняется при попытке превзойти значение другого запаса (и наоборот), в системе работает усиливающий цикл обратной связи. Он вызывает гонку вооружений, погоню за материальными благами, войну компроматов, перекрикивание друг друга, всё большее насилие. Эскалация всегда экспоненциальна и может чрезвычайно быстро привести к выходу за пределы. Если ничего не предпринимать, то всё кончится катастрофой для какой-то из сторон, ибо экспоненциальный рост не может длиться вечно, рис.2.18.

Рис. 2.18. Схема усиливающего цикла
Значение одного запаса меняется при попытке обойти значение другого запаса, и наоборот. В системе возникает усиливающий цикл. Поскольку экспоненциальный рост не может длиться вечно – одна из систем вскоре будет разрушена. Пример: гонка вооружений. Уровень запасов увеличивается у обеих конкурирующих сторон. Выиграет тот, кто имеет большую экономическую силу.
Для выхода из ловушки, можно определить общую цель. Если этого не удается, можно в одностороннем порядке отказаться от соревнования, разорвав таким образом усиливающий цикл. Или можно договориться с другой стороной, чтобы образовать новую систему с балансирующими циклами, которые не дадут эскалации выйти за рамки разумного. Еще одним решением является предвидеть такое развитие, не вступать в усиливающий цикл и давать асимметричные ответы.
Характерный пример. Известный выпуск Ералаша: "У кого родственники круче…"
Трагедия общин
Когда ресурс находится в общественном пользовании, каждый потребитель получает непосредственные блага от его использования. Но при злоупотреблении ресурсом негативные последствия распределяются на всех потребителей. Из-за этого обратная связь от состояния ресурса к потребителям, принимающим решения, очень слаба. В результате ресурс используется слишком интенсивно; он истощается, пока не разрушается полностью, становясь недоступным для всех, рис.2.19.

Рис. 2.19. Взаимодействие балансирующего и усиливающего цикла по типу "Трагедия общин"
Когда выгоду от ресурса получает каждый пользователь, а негативные последствия распространяются на всех, то балансирующий цикл, ограничивающий потребление ресурса слабее усиливающего цикла, стимулирующего потребление. В результате ресурс быстро иссякает, от чего страдает каждый пользователь, рис.2.20.

Рис. 2.20. Истощение ресурса при взаимодействии по типу "Трагедия общин"
Для выхода из ловушки, необходимо создать зависимость между скоростью потребления ресурса и негативными последствиями от этого.
Решение:
– наладить балансирующий цикл;
– провести ограничение ресурса (пространственное, временное и пр.);
– увеличить тариф на потребление ресурса.
Например, это могут быть следующие методы: приватизировать ресурс, или лимитировать его по времени. Тогда каждый потребитель будет ощущать на себе прямые последствия собственных действий. Для тех ресурсов, которые приватизировать невозможно, необходимо регулировать доступ потребителей к ним.
Характерный пример: добровольное ограничение потребления ресурса, квотирование, установление ограничивающих наценок на ресурс, очереди и пробки из-за низкой пропускной способности автомагистралей, дорог, вагонов РЖД и др. Пример решения вопросов по пробкам: установление лимита на семью по машинам; развитие общественного транспорта; запреты от ГИБДД; разрешение на выезд по четным дням – четные номера, по нечетным – нечетные номера; запрет на выезд в центр; кольцевые дороги.
Успех к успеху
Если в системе существуют правила, по которым победители получают больше шансов, то возникают усиливающие циклы, рис.2.21. Они приводят к тому, что, в конце концов, победители получают все, а проигравшие исчезают. Или победитель получает шансы на дальнейшую победу. После чего система оказывается в тупике. Примером является игра Монополия или ритейл в целом. Чем больше гипермаркет, тем больше шансов заполучить потребителя. Однако, если богатый открывает свой магазин в бедной деревне, то из-за отсутствия спроса его придется закрыть. Поэтому гипермаркеты часто запрещают в городах с населением менее 50.000 человек.

Рис. 2.21. Схема взаимодействия в системе "Успех к успеху"
Для выхода из ловушки необходимо изменить правила таким образом, чтобы добавить в систему балансирующий цикл. Или периодически «обнулять» результаты. Увеличить разнообразие, разносторонне развиваться – это позволяет тем, кто проигрывает соревнование, выйти из текущей игры и начать новую. Строго ограничить долю пирога, которая причитается любому победителю (антимонопольные законы). Периодически сводить всех к одному уровню, отнимая преимущества у самых сильных игроков или давая их тем, кто слабее. Предусматривать такую награду в соревновании, которая не будет влиять на результат следующего. Вводить прогрессирующие налоги, налоги на роскошь, автомобили люкс и др.
Стремление к худшему
Если позволять текущему состоянию системы влиять на стандарты (желаемое состояние системы), особенно, если ощущается постоянное ухудшение, то усиливающий цикл обратной связи будет работать на дальнейшее уменьшение ожиданий и ухудшение состояния системы, рис.2.22. Например, смягчение ГОСТов привело к тому, что в масле стало значительно больше добавок, пальмового масла и под видом масла продается даже маргарин.

Рис. 2.22. Схемы взаимодействия в системе "Стремление к худшему" на основе балансирующего цикла.
Если поведение системы определяется разницей между текущим состоянием и эталонным, то есть существует соблазн не улучшать текущее состояние, а ухудшать эталонное. Это порождает усиливающий цикл, все более и более ухудшающий ситуацию, рис.2.23.

Рис. 2.23. Схемы взаимодействия в системе "Стремление к худшему" на основе усиливающего цикла.
Выход из ловушки – пользоваться эталонами, не зависящими от текущей ситуации. Этот же механизм можно использовать для улучшения ситуации, если зависимость эталона от ситуации сделать обратной. Нужно поддерживать абсолютные стандарты (точки отсчета), не зависящие от текущего состояния. А еще лучше – позволить ожиданиям расти вместе с улучшением ситуации, вместо того, чтобы уменьшать их с ухудшением. Ту же самую структуру можно заставить работать на улучшение.
Поддерживающие средства
Зависимость, привыкание, пагубное пристрастие возникают тогда, когда применяемое средство позволяет уменьшить или замаскировать симптом, но ничего не делает для реального решения проблемы. Не важно, вещество ли это, заглушающее чувства, или действия, скрывающие масштабы неприятностей, но использование подобных средств не дает принять меры, которые могли бы действительно решить проблему.
Если поддерживающее средство приводит к ослаблению собственной способности системы регулировать свое состояние, тогда начинает действовать разрушительная усиливающая петля обратной связи – это маниакальный цикл. Система истощается, поддерживающее средство нужно во все большем и большем количестве. Система становится еще более зависимой от этого средства и все меньше и меньше способна самостоятельно поддерживать желаемое состояние, рис.2.24.

Рис. 2.24. Схема взаимодействия в системе "Маниакальный цикл"
Появление внешнего входящего потока обеспечивает желаемый уровень запаса, но нарушает работу самовосстанавливающих механизмов, в результате чего они атрофируются. Это приводит к невозможности отказаться от этого потока без болезненных последствий.
Лучший способ выхода из ловушки – не попадать в неё. Единственный вариант – отказаться от внешних потоков, не обеспечивающих восстановительных механизмов. Остерегайтесь средств, облегчающих симптомы или заглушающих сигналы неблагополучия. Не прибегайте к мерам, которые на самом деле не решают проблему. Думайте не о краткосрочном облегчении, а об изменении структуры в долговременной перспективе. Не дотируйте. Равняйтесь на свои внутренние потоки.
Характерные примеры: Переход на свою платежную систему. Переход на оплату газа в международных расчетах в рублях.
Манипулирование правилами
Правила, которые должны управлять системой, иногда провоцируют попытку их извратить. При этом создается видимость соблюдения правил или достижения целей, хотя на самом деле этого не происходит, а система только сильнее отклоняется от нормы, рис.2.25.

Рис. 2.25. Схема взаимодействия в системе по типу "Манипулирование правилами"
Если подсистемы не видят (не знают) целей системы, то их цель сводиться к выполнению правил, поставленных системой. Неверная постановка правил, буквальное их выполнение приводят всю систему к состоянию, далекому от цели, при видимых усилиях в правильном направлении.
Выход из ловушки – доводить до подсистем не только и не столько правила, сколько цели, ради которых они придуманы. Создать или переработать правила, чтобы направить изобретательность и творческие способности не на их извращение, а на достижение настоящей цели, ради которой эти правила и создавались.
Стремление к неверной цели
Поведение системы сильно зависит от того, какие цели у циклов обратной связи. Если цели – индикаторы выполнения правил – определены неточно или неполно, система может послушно стремиться к ним, достигая в итоге результата, которого никто не ожидал и не хотел.
Способ выхода: Использовать показатели и цели, отражающие реальное благополучие системы. Особенно внимательно надо следить за тем, чтобы не путать результаты и усилия по их достижению – иначе вы получите систему, которая будет исправно производить усилия, а не результаты.
Ключевые точки воздействия для изменения поведения системы
(по порядку возрастания важности)
12. Численные показатели: переменные, константы, а также субсидии, налоги и стандарты. Численные показатели дают представление об уровнях (рейтинге, баллах, границах между определенными численными показателями). Во многом определяются изменением структуры системы вследствие самоорганизации.
11. Буфер: размер запаса, оказывающий стабилизирующее влияние, в зависимости от величины потоков.
10. Структуры запасов и потоков: физические системы и их точки пересечения. Они обладают взаимовлиянием. Пример. Города образуются там, где формируются градообразующие потоки. Они могут быть разными – торговыми, военными, политическими, курортными и пр. Один из характерных военных примеров – Севастополь.
9. Запаздывания: величина задержки относительно скоростей изменения системы. Характерный пример из жизни бюрократического аппарата: "Подождем, не будем ничего делать, возможно, указ отменят…"
8. Балансирующие циклы (контуры) обратной связи: мощность циклов относительно воздействий, которые они пытаются скомпенсировать. Балансирующие циклы более эффективны, чем усиливающие циклы. Для балансирования необходимо установить требования, способствующие устойчивости. Менять цикл нужно тогда, когда не устанавливается новый балансирующий цикл.
7. Усиливающие циклы (контуры) обратной связи: оценивать и изменять влияние прироста на движущие циклы. Пример – новая философия успеха – тайм-менеджмент, многократно усиливающий возможности работоспособности. Пример. Качественный скачок – система сама себя переводит в новое состояние или сама себя ограничивает.
6. Информационные потоки: структура, определяющая, кто имеет доступ к информации, а кто – нет. Информация с точки зрения системы – модель или набор параметров, модель, фиксирующая параметры, описывающая причинно-следственные связи и свойства, демонстрирующая как изменение свойств одних объектов будет влиять на другие. Использование информационных потоков в бизнесе заключается в нахождении сквозного параметра, пронизывающего всю систему и далее в том, чтобы "оседлать" этот информационный поток.
5. Правила: стимулы, наказания, принуждение. Система принуждает обрабатываемый поток, создавая правила. Пример: метрополитен.
4. Самоорганизация: добавление, изменение и эволюционные преобразования системных структур. Система сама имеет возможность изменить структуру. Пример. Компания Форд, стремясь стать монополистом, пыталась все производить сама, став при этом негибкой структурой. В настоящее время занимает не более 10% от рынка, тогда, когда в лучшие для себя годы, была практически полным монополистом. Примерами самоорганизации являются развитие общественных движений потребителей, экологические движения, ТСЖ, в технике – переход с планово-профилактического обслуживания на планово-диагностическое обслуживание.
Изменение самоорганизации тесно связано с S-кривой развития компаний: сначала 1-й этап – количественный рост на рынке. 2-й этап – переход к развитию качества. 3-й этап – стандартизация качества и начало отчуждения от потребностей рынка.
Для развития самоорганизации в системе обычно применяются следующие методы:
– повышение чувствительности к ритмике системы,
– визуализация модели жизни системы,
– переход на системный язык и использование системных понятий в описании системы,
– поиск ключевых параметров системы,
– поиск неявных и явных обратных связей и оценка их на степень балансирования или усиления параметров системы,
– закладывание в подсистемах стремления к пользе системы в целом,
– поиск естественных особенностей хода жизни системы,
– определение схемы влияния заинтересованных сторон и ответственности в системе.
3. Цели: назначение и функция систем. Если нет цели, то нет системы. Отсутствие или потеря целей разваливает систему целиком.
2. Система взглядов и понятий: мировоззрение, в рамках которого построена система – ее цели, структура, правила, запаздывания и другие параметры. Неудачи развития новых направлений бизнеса связаны с устаревшей системой взглядов, которые не пытались изменить.
1. Расширение границ мировоззрения. Расширение взглядов – основа взаимодействия. Это расширение становится необходимостью, когда части системы, подсистемы не могут договориться между собой о продолжении жизни системы. Примером являются многосторонние интересы, где никто не отвечает за интересы и слова, и поэтому система для выполнения обещаний, например, в политике, не образуется.
Подводя итоги рассмотренным примерам, можно сказать, что, когда за ежедневными событиями вы начинаете улавливать общие тенденции (а они, в свою очередь, достаточно четко характеризуют внутреннюю структуру системы), уже не сложно увидеть новые пути управления и найти новые способы выживания в мире сложных систем.
Если удается установить взаимосвязь между структурой и поведением, то мы начинаем понимать, как работают системы, почему они дают те или иные результаты, и как изменить поведение таким образом, чтобы достичь лучших результатов.
3. Модели системной динамики
3.1. Макроэкономические модели
Обзор раздела
Введение. Модель взаимодействия СТЭП факторов Фахи-Нарайанана. Государство как регулятор макроэкономических факторов в рыночной экономике.
Источники информации. Модель кругооборота доходов. Составляющие экономической политики РФ. Анализ ВВП.
Проблемы прогнозирования инфляции.
Совокупный спрос и совокупное предложение.
Циклы деловой активности. Сглаживание отрицательных эффектов макроэкономической нестабильности.
Инструменты государственного регулирования экономики – монетарная и фискальная политика государства. Примеры инструментов монетарной и фискальной политики. Пример: регулирование при помощи ставки рефинансирования. Пример: регулирование при помощи управления ставками таможенных пошлин.
Валютное регулирование.
Изменения экономической политики государства в ближайшем будущем. Влияние изменений на деятельность промышленных компаний.
НАЧАЛЬНЫЕ СВЕДЕНИЯ
Все компании знают, что на их работу значительное влияние оказывает макроэкономическая среда. Хотя отдельной фирме и не под силу изменить большинство макроэкономических факторов, однако каждая фирма могла бы найти способы адекватно реагировать на них. К таким факторам всегда относились общие тенденции на рынке. Например, если появились предпосылки экономического роста, то можно думать о расширении производства, если меняется законодательство, то следует предусматривать меры по своевременному предупреждению фискальных мер, если появились новые технологии, то пришла пора думать о переоснащении производства и т.п.
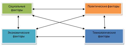
Часто средствами анализа макроэкономической среды выступает модель Фахи-Нарайанана, значительно расширяющая известную СТЭП–модель, и отвечающую требованиям системной динамики, рис.3.1.

Рис.3.1. Модель Фахи-Нарайанана
Суть этой модели заключается в том, что разнородные факторы дальнего внешнего окружения до момента достижения долгосрочной цели успеют не просто непосредственно повлиять на деятельность фирм, но и неоднократно воздействовать друг на друга. Поэтому даже те факторы, которые не должны оказать непосредственного влияния на рынок, могут послужить началом для развития процессов в дальнем окружении, которые затем напрямую или косвенно коснутся и вашей фирмы. Факторы, непосредственно влияющие на фирму, обычно легко установить, тогда как выявить факторы косвенного влияния, к которым фирма особенно чувствительна, не просто. Определить степень их влияния и предсказать их поведение обычно сложно.
Ниже мы рассмотрим некоторые полезные модели и способы прогнозирования для анализа положения фирмы, принимая во внимание в основном макроэкономические факторы (граф «экономические факторы» в модели). Нашей основной задачей будет научиться видеть не только события, но и причины и предпосылки происходящего, а также предвидеть последствия этих событий.
Главными вопросами, на которые мы постараемся находить ответы, будут:
– Какие индикаторы подскажут, что подъем в экономике скоро сменится спадом и как скоро?
– Насколько глубоко проникнет кризис в нашу отрасль?
– Что произойдет со спросом, и какие факторы повлияют на него больше всего?
– Что будет предпринимать правительство и каковы последствия этих действий для нашей отрасли и фирмы?
– Какие изменения в связи с общей обстановкой следует ожидать в изменении курса рубля, доллара, евро?
– Какие ближайшие последствия для компаний следует ожидать, например, какие процентные ставки по кредитам будут характерны в ближайшее время и насколько доступными будут кредиты?
Основой такого достаточно долгосрочного анализа должна стать макроэкономическая информация. Все фирмы почувствовали на себе действие циклов деловой активности, особенно в фазе кризиса. Цели на разных фазах цикла различаются. Во время подъема деньги зарабатываются, во время спада необходимо выживать и пытаться сохранить долю рынка. Меняются конкуренты, предпочтения предприятий–потребителей, инвестиции не учитывают значительных изменений во внешней среде, валютный кредит невозможно выплатить из-за резкого изменения курса рубля, выручка снижается, а издержки остаются на прежнем уровне. Все эти вопросы часто связаны с умением анализировать влияние внешней среды на нашу фирму.
Кризисы происходили и будут происходить, к сожалению. Несмотря на то, что многие страны уже выработали меры по уменьшению их влияния, однако, фирмы сами должны находить пути снижения давления кризисов на них. Например, часто приходится задумываться о диверсификации своего бизнеса, более полного использования ресурсов, добавлять в портфель продукции более кризисоустойчивую продукцию.
Необходимо научиться распознавать слабые сигналы рынка и строить свои решения на базе системной динамики общего макроэкономического фона. Такие вопросы как: запускать ли новые инвестиционные проекты, брать ли кредиты в валюте, выходить ли на IPO и др., основываются на прогнозах макроэкономических процессов и возможного входа в полосу нестабильности.
Действия государства по снижению экономической нестабильности являются одним из главных индикаторов, способных показать истинное положение деловой активности в стране. В распоряжении государства имеется большой набор инструментов, которыми она сглаживает неприятные сюрпризы рынка или способствует росту деловой активности. Однако каждый шаг в стабилизации сопровождается побочными эффектами. Девальвация рубля делает экспортеров более конкурентоспособными, позволяет не растрачивать валютные резервы на поддержание рубля. Однако, удорожание импорта ограничивает доступ населения к импортным товарам, рублевые сбережения обесцениваются, ставки по кредитам растут, ограничивая возможности предприятий по расширению бизнеса, поддержанию складов и инвестиционной деятельности.
Государство не всегда успевает принять решения вовремя, и регуляторы также имеют свой лаг во времени. С трибун может говориться одно, политические силы могут или затормаживать процесс, например, тормозить принятие законопроектов в Думе, всегда возможны перекосы. Так, если стране необходимы деньги, то лозунгом станет помощь экспортерам, системообразующим предприятиям, крупным банкам. Однако при этом почти всегда появляется «страдающая» сторона, интересы которой не учтены.
В зависимости от цикла деловой активности разрывы в требованиях могут быть чрезвычайно велики и у государства не хватит сил и средств для регулирования интересов всех заинтересованных сторон. Возникают разрывы между интересами крупного и мелкого бизнеса, отечественными производителями и потребителями импортных товаров, кредиторами и заемщиками, спекулянтами и инвесторами и т.п. Определение роли государства в этих процессах позволит увидеть степень напряженности и спрогнозировать дальнейшее развитие событий.
ИСТОЧНИКИ МАКРОЭКОНОМИЧЕСКОЙ ИНФОРМАЦИИ И СИСТЕМНО-ДИНАМИЧЕСКОЕ ПРОГНОЗИРОВАНИЕ
Немаловажную роль в понимании макроэкономических процессов, которые могут оказать влияние на деятельность фирмы, оказывает доступность источников информации. Нет информации – нет возможности сформировать модель и заложить в нее количественные показатели – нет исследования. Изучая информацию, мы стремимся найти сигналы, а затем и достроить картину происходящего. Это дает возможность спрогнозировать сценарии дальнейшего развития событий. Полезные источники макроэкономической информации РФ приведены в табл.3.1.
Табл. 3.1. Базы данных по макроэкономическим показателям РФ

Следует отметить, что Российская рыночная экономика достаточно молода, и для сравнения полезно пользоваться базами данных и фондовыми индексами стран со сложившейся рыночной экономикой.
МОДЕЛЬ КРУГООБОРОТА ДОХОДОВ
Для анализа и прогнозирования макроэкономических процессов принято рассматривать финансовые потоки на основе модели кругооборота доходов, рис.3.2.

