
Доклад о старении населения и профессиональном развитии пожилых людей в Китае

Сунь Цзюаньцзюань, Ду Пэн
Доклад о старении населения и профессиональном развитии пожилых людей в Китае
Глава 1
Феномен и тенденции старения населения Китая в международном аспекте
Население Китая стремительно стареет: доля пожилых людей по отношению к общей численности населения растет. Этот процесс влияет на политику, экономику и общественную жизнь страны и волнует все социальные слои населения… Что представляют собой тенденции старения населения в Китае? Лидирует ли КНР по соответствующим показателям на международном уровне? Каково положение пожилого населения в стране? Проанализируем эти вопросы с опорой на последние статистические данные.
Чтобы разобраться, как старение населения может повлиять на социально-экономическое развитие страны и может ли Китай перенять опыт других стран, необходимо оценить этот процесс как объективное изменение. Следует также изучить положение пожилого населения в стране и определить в связи с этим положение Китая в международном обществе за последние годы на основе исследований ООН и переписей населения КНР. Это создает информационную базу для сравнительных исследований и выработки предложений.
Положение пожилого населения Китая в международном аспекте
Со старением населения сталкиваются многие страны мира. Это неизбежный результат демографических изменений после выхода на определенную стадию социально-экономического развития. Проблемы в разных странах значительно различаются, что зависит от социально-экономических условий, уровней старения населения и темпов развития. Особенности старения населения в Китае можно понять только благодаря международным исследованиям.
Рассматриваются девять стран: Китай, Индия, США, Бразилия, Россия, Япония, Франция, Германия и Республика Корея. Среди них Китай, Индия, США, Бразилия, Россия и Япония лидируют по численности населения. Франция и Германия – страны Европы, которые рано перешли на стадию демографического старения. Изменение показателей в этих государствах имеет высокую справочную ценность. Япония, Республика Корея и Китай представляют Восточную Азию. Эти три страны сопоставимы по традициям ухода за пожилыми людьми и тенденциям развития населения. Представленная выборка учитывает и социально-экономическое развитие: здесь представлены и развитые страны (США, Япония, Германия и Франция), и развивающиеся (Китай, Россия, Индия и Бразилия). При сравнительном анализе показателей в девяти государствах выявляются следующие особенности старения населения в Китае.
1. Степень старения населения в Китае выше, чем в развивающихся странах, но ниже, чем в развитых
Согласно данным доклада ООН «О мировой демографической ситуации и перспективах ее развития – 2015», в 2015 году численность пожилого населения в возрасте 60 лет и старше в Китае составила 209,01 млн чел. По этому показателю Китай лидирует среди девяти указанных стран. В то же время доля пожилых людей среди населения Китая составляет 14,91 %. По данному показателю КНР занимает лишь седьмое место и значительно отстает от многих развитых стран, но опережает развивающиеся – Бразилию (11,89 %) и Индию (8,76 %). Если обратить внимание на долю пожилых людей восьмидесяти лет и старше, то в 2015 году на эту возрастную группу приходилось 1,65 % населения Китая. Этот показатель выше, чем в Индии (0,81 %), но ниже, чем в большинстве развивающихся и развитых стран. Он свидетельствует, что степень старения[1] населения в Китае вовсе не является чрезмерно серьезным феноменом. Доля пожилого населения Китая в основном увеличивается за счет политики планового деторождения (конец 1970-х гг.), которая вызвала демографический провал.
Табл. 1.1. Численность пожилого населения и ее доля в общем населениидевяти стран, в том числе Китая, по состоянию на 2015 год

Источник: доклад ООН «О мировой демографической ситуации и перспективах ее развития – 2015».
Мужчин среди пожилых людей в Китае в 2000 и 2010 годах бы ло на 2,48 и 1,98 процентного пункта меньше, чем женщин. В последние годы этот разрыв неизменно сокращается. Разница в долях мужчин и женщин среди пожилого населения в 2010 году снизилась на 0,5 процентного пункта по сравнению с 2000 годом. Причины следующие. С одной стороны, смертность среди женщин за этот период была ниже, чем у мужчин, а продолжительность жизни – выше. В итоге срок дожития женщин увеличился. С другой стороны, за последние годы улучшилось состояние здоровья пожилых мужчин. В результате доля мужчин в пожилой возрастной группе возросла.
Перемены доли старения населения в городах и деревнях – распространенное явление в мире[2], и Китай здесь не исключение. Согласно переписи населения за 1982 год доля людей в возрасте 60 лет и старше в городских районах составляла 7,4 % от общего населения, а в сельских – 7,8 %. Разница – лишь 0,4 процентного пункта. Однако к началу шестой всекитайской переписи населения в 2010 году разница между долями пожилого населения в городах и сельской местности возросла до 3,5 процентного пункта. По сравнению с 1982 годом этот разрыв увеличился почти в девять раз, а именно на 3,1 процентного пункта. Из этого следует, что демографическое старение населения в городах и сельской местности Китая не только сохраняется, но и постоянно усиливается.
По международным стандартам, индивидов в возрасте 60–69 лет обычно называют пожилыми людьми младшего возраста, 70–79 лет – среднего, 80 лет и старше – старшего возраста. По данным нескольких переписей населения за последние тридцать лет, большая часть пожилого населения в Китае – пожилые люди младшего и среднего возраста. Как следует из шестой переписи населения за 2010 год, среди пожилых людей около 90 % приходится на эти две категории. Результаты четырех переписей за 1982–2010 годы показывают, что в Китае доля пожилых людей 80 лет и старше постоянно растет: с 0,07 % в 1982 году до 11,82 % в 2010 году – на 11,75 процентного пункта. В частности, за 1990–2000 годы доля этой категории пожилого населения увеличилась на 9,15 процентного пункта.
Табл. 1.2. Структура пожилого населения Китая в 1982–2010 гг.

Источник: информация за 2010 и 2000 год приводится по сводным данным 5-й и 6-й переписей населения КНР; информация за 1990 и 1982 годы – по «докладу «О старении населения и решении проблем пожилых людей в Китае – 2014» / под ред. Цзян Сянцюня и Ду Пэна. Пекин: Вестник Университета Жэньминь, 2015.
Темпы старения населения в Китае выше, чем во многих странах, однако КНР не лидирует по этим показателям
Если известен временной период, за который доля пожилого населения удваивается, можно рассчитать темп развития тенденции старения населения в отдельной стране или регионе. В качестве такого периода выбирается самый приближенный по времени год в пределах двух лет. Согласно докладу ООН «О мировой демографической ситуации и перспективах ее развития – 2015», для рассматриваемых девяти стран эти периоды в значительной мере варьируются.
В Китае доля пожилых людей в общем населении увеличилась с 7 до 14 % за 27 лет (табл. 1.3). Самое длительное время для достижения доли в 14 % потребовалось Франции – 114 лет, затем следуют США – 65 лет, Республика Корея – 20 лет, Бразилия – 22 года и Япония – 26 лет. Несмотря на краткий период и ускоренный рост показателей пожилого населения, Китай не лидирует по темпу увеличения этой возрастной группы. Повышение доли населения старше 60 лет в КНР связано с заметным и быстрым падением рождаемости после того, как в конце 1970-х годов в стране начали проводить политику планового деторождения. Среди развивающихся стран у Китая период, за который доля пожилых людей удваивается, меньше, чем у России и Индии, но больше, чем у Бразилии.
Табл. 1.3. Период, необходимый для достижения определенной доли пожилых людей в общем населении девяти стран

Источник: доклад ООН «О мировой демографической ситуации и перспективах ее развития – 2015». Данные по отдельным показателям в Германии отсутствуют. – Примеч. авт.
Темпы увеличения численности пожилого населения в различных возрастных группах за пятнадцать лет – с 2000 по 2015 год – отражены в табл. 1.4. В этот период резко увеличилось количество людей 60 лет и старше. Среди выбранных девяти стран по темпам роста этого показателя Китай (63,01 %) уступает только Бразилии (70,71 %) и Республике Корея (77,42 %). Аналогичная тенденция наблюдается и в возрастной группе 65 лет и старше. Китай здесь занимает четвертое место. Пожилое население КНР за пятнадцать лет заметно возросло, однако темпы этого роста не ускоренные.
Что касается темпов роста населения 80 лет и старше, показатели Китая ниже, чем в Республике Корея, Бразилии, Японии и Франции, но выше, чем в остальных странах (см. табл. 1.4).
Таким образом, КНР занимает средние позиции в рейтинге. За последние пятнадцать лет пожилое население старшего возраста в Китае росло значительно быстрее, чем пожилое население среднего и младшего возраста. На фоне этой тенденции следует уделять внимание проблемам со здоровьем у людей старшего поколения и уходу за ними.
Табл. 1.4. Темпы роста пожилого населения в девяти странах, в том числе в Китае, за 2000–2015 гг.

Источник: доклад ООН «О мировой демографической ситуации и перспективах ее развития – 2015».
Сравнение данных показывает, что темпы роста пожилого населения в КНР выше, чем в Европе, Америке и в Индии. Однако старение населения в Китае происходит медленнее, чем в Республике Корея и Бразилии.
По данным переписей населения, доля людей 60 лет и старше в общем населении Китая увеличилась с 6,1 % в 1964 году до 13,3 % в 2010 году. По результатам шестой переписи населения 2010 года, в материковом Китае (за исключением Гонконга, Макао и Тайваня) насчитывалось 177,65 млн чел. 60 лет и старше – 13,3 % от общей численности, а 65 лет и старше (8,9 %) – 118,83 млн чел. Общая численность населения материкового Китая в 2010 году – 1,34 млрд чел. Показатели представленных возрастных групп увеличились на 3 и 1,9 процентного пункта соответственно по сравнению с 2000 годом и на 6 и 4,5 – по сравнению с результатами первой переписи 1953 года. Примерно за последние шестьдесят лет как число, так и доля пожилых людей в общем населении Китая увеличивались ускоренными темпами. В особенности это касается периода с 2000 по 2010 год. Это значительно выше разницы значений, зафиксированных в ранних переписях. Тенденции старения населения Китая в это десятилетие развивались стремительно (табл. 1.5).
Табл. 1.5. Изменение долей пожилого населения различных возрастных групп в Китае по данным переписей населения

Источник: доклад «О старении населения и решении проблем пожилых людей в Китае – 2014» / под ред. Цзян Сянцюня и Ду Пэна. Пекин: China Renmin University Press Co, 2015
Ожидаемая продолжительность жизни населения Китая растет: она выше, чем в развивающихся странах, но ниже, чем в развитых
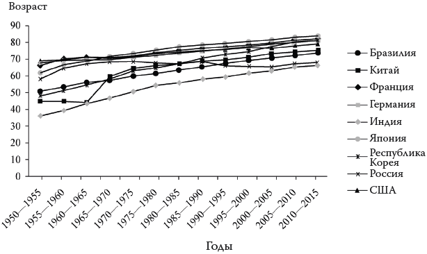
По мере социально-экономического развития в мире ожидаемая продолжительность жизни в отобранных девяти странах заметно возросла с 1950 по 2015 год. В 2015 году этот показатель в Китае достиг 75,25 года, то есть увеличился на 14,66 года (24,19 %). Самая высокая ожидаемая продолжительность жизни зафиксирована в Японии (83,51 года), а самая низкая – в Индии (66,28 года). Китай занимает средние позиции в рейтинге, опережая по этому параметру Бразилию (73,80 года), Индию и Россию (67,46 года) (рис. 1.1). КНР лидирует среди отобранных развивающихся стран, но уступает развитым государствам. Ожидаемая продолжительность жизни населения тесно связана с уровнем социально-экономического развития.
Рис. 1.1. График изменения ожидаемой продолжительности жизни в девяти странах, в том числе в Китае

Темпы роста ожидаемой продолжительности жизни максимальные в Индии (83,14 %), а минимальные – в США (14,97 %). Китай превосходит в этом отношении страны, представленные на графике, за исключением Индии и Республики Корея. Это связано со стремительным социально-экономическим развитием КНР.
Содержание пожилого населения в Китае сравнительно нетяжелое, однако далее бремя увеличится
Содержание пожилого населения – это количество трудоспособных людей в возрасте 15–64 лет, которые содержат одного человека 65 лет и старше. Этот показатель отражает бремя, которое ложится на трудоспособное население, обеспечивающее пожилых людей. По данным ООН за 2013 год, минимальное значение демонстрировала Япония (2,5 %), а максимальное – Индия (12,4 %). Китай среди девяти отобранных для сравнения стран занимает седьмую позицию. На этот период 8,2 % трудоспособного населения КНР поддерживали одного пожилого человека. Ожидается, что этот показатель к 2030 году сократится до 4,2 %, а к 2050 году – до 2,6 %, что сопоставимо с Японией в настоящее время. В ближайшие тридцать лет бремя содержания пожилого населения в Китае будет постоянно увеличиваться (табл. 1.6).
Табл. 1.6. Изменения показателей содержания пожилого населения в девяти странах, в том числе Китае, за 1980–2050 гг.

В 2013 году были показатели содержания пожилого населения были высокими в Японии (1:2,5 %), Германии (1:3,1 %), Франции (1:3,6 %), США (1:4,8 %) и Республике Корея (1:6,0 %). Высокое значение и в России (1:5,5 %). К середине XXI века бремя содержания пожилого населения в этих и многих других странах мира заметно возрастет.
Вовлеченность пожилого населения Китая в трудовую деятельность держится на среднем уровне. Этот показатель выше, чем во многих развитых странах, но ниже, чем в развивающихся
Степень вовлеченности пожилых людей в трудовую деятельность в развивающихся странах высокая. Исключение составляет Россия. В развитых странах, кроме Японии и Республики Корея, этот показатель низок. Такие тенденции зависят от экономического развития и социального обеспечения. В 2013 году вовлеченность в трудовую деятельность в Китае среди людей 65 лет и старше составила 19,4 %. Это значит, что примерно 20 из 100 пожилых людей либо работали неофициально, либо были трудоустроены на основе трудового договора[3]. По показателю вовлеченности пожилых людей Китай среди выбранных девяти стран занимает пятую позицию, среди развивающихся – вторую (табл. 1.7).
Табл. 1.7. Изменение вовлеченности в трудовую деятельность пожилых людей в девяти странах, в том числе Китае, за 1980–2050 гг.

Источник: рассчитано по докладу ООН «Данные о старении – 2013».
По прогнозам ООН, в 2020 году вовлеченность людей 65 лет и старше в трудовую деятельность повысится в разной степени в зависимости от страны. (Предполагается, что в Китае этот показатель останется прежним – Примеч. авт.) Это указывает на еще более активное участие пожилых людей в социально-экономическом развитии и на их крепкое здоровье.
Пожилые женщины Китая лидируют по показателям пребывания в браке по сравнению с другими странами. Разница между мужчинами и женщинами здесь относительно небольшая
В силу физиологических особенностей, образа жизни и других факторов средняя ожидаемая продолжительность жизни у женщин больше, чем у мужчин. Это явление влияет на долю состоящих в браке пожилых людей. У мужчин ожидаемая продолжительность жизни меньше, чем у женщин, поэтому у последних большая вероятность остаться в пожилом возрасте в одиночестве.
На пребывание в браке пожилых людей также влияют сформировавшиеся в молодости личные обстоятельства и социально-семейное положение. В Китае разница между долями состоящих в браке пожилых мужчин и женщин минимальна (17,8 %). Это связано с тем, что женщины данной возрастной группы в Китае заметно чаще состоят в браке, чем пожилые женщины в других странах (64,1 %). Самая большая разница по этому показателю между мужчинами и женщинами – в Республике Корея (43 %) (табл. 1.8).
Табл. 1.8. Доля состоящих в браке людей 60 лет и старше в девяти странах за 2013 г.

Источник: Доклад ООН «Данные о старении – 2013».
Степень безграмотности пожилых людей в Китае сравнительно высокая, у женщин выше, чем у мужчин
Уровень образования и грамотности пожилых людей связан с доходом, здоровьем и степенью независимости, экономическим развитием и историческими особенностями страны. По данным ООН, процент безграмотности пожилых людей в Китае составляет 22,7–45,7 %. Со временем этот показатель увеличивается. Уровень безграмотности у пожилых мужчин всех возрастных групп в КНР заметно ниже, чем у женщин. Сходная ситуация и в других странах: у мужчин более высокие показатели образованности, чем у женщин.
Табл. 1.9. Показатели безграмотности пожилого населения в пяти странах, в том числе Китае, за 2010 г.

Источник: доклад ООН «Старение мирового населения – 1950–2050»Данные по Франции, Германии, Японии и США отсутствуют. – Примеч. авт.
Утрата физической дееспособности у пожилых людей Китая
Утратившие дееспособность пожилые люди – представители старшего поколения, которые из-за старости, немощности, инвалидности, болезней и психологических проблем не могут самостоятельно одеваться, есть, умываться, ходить в туалет, заниматься спортом в закрытом помещении и совершать покупки. Они не способны заботиться о себе в повседневной жизни. Показатель потери дееспособности указывает на долю утративших дееспособность пожилых людей в общей численности населения. Вместе с количеством потерявших дееспособность пожилых людей он определяет политику в отношении пожилых людей в стране, услуги по уходу за ними, дружественную жизненную среду и инфраструктуру для всех возрастных групп. Именно поэтому необходимо правильно рассчитать эти показатели для Китая.
«Статистический отчет по профессиональному развитию пожилого населения – 2010», обнародованный канцелярией Всекитайского рабочего комитета по вопросам старения, показывает, что на конец 2010 года примерно 33 млн пожилых людей в Китае частично или полностью утратили дееспособность (19 % от общей численности пожилого населения). В 2012 году, в конце двенадцатой пятилетки, этот показатель достиг 40 млн чел. По предварительным расчетам в шестой переписи населения общий показатель потери дееспособности у пожилого населения Китая составил 2,95 %. Среди мужчин этот показатель – 2,52 %, среди женщин заметно выше – 3,35 %. В городах потеря дееспособности зафиксирована у 2,35 % пожилого населения, в поселках – у 2,60 %, в деревнях – у 3,32 %. Процент потери дееспособности возрастает с увеличением возраста пожилого населения. Среди пожилых людей 80 лет и старше он составляет около 30 %. Соответственно, этот показатель увеличится с ростом численности пожилого населения[4].
Используемые в этой главе данные по потере дееспособности пожилого населения из шестой переписи и информация профильных структур ООН о пожилом населении Китая за 2015 год позволяют приблизительно рассчитать численность утративших дееспособность пожилых людей в стране: около 6,17 млн чел. в 2015 году, среди них 3,54 млн женщин. Со временем количество утративших дееспособность пожилых людей стремительно увеличивается, особенно в группе 80 лет и старше. Необходимо обеспечить за ними уход, что составляет серьезный вызов для индустрии профильных услуг в Китае.
Влияние возможности иметь двух детей на старение населения Китая
Предложение «Об установлении тринадцатого пятилетнего плана развития национальной экономики и общества» было принято 29 октября 2015 года на основе политики разрешения на рождение второго ребенка на пятом пленарном заседании ЦК КПК восемнадцатого созыва. В документе говорится: «Следует стимулировать сбалансированное развитие населения. Отстаивая основополагающую государственную политику планового деторождения, важно совершенствовать стратегию демографического развития. Необходимо реализовывать политику «Одна семья – два ребенка», а также «следует принимать активные меры по реагированию на старение населения». Демографическая политика и политика планового деторождения были скорректированы. Возможность иметь двух детей повлияет на количественные, структурные и качественные демографические показатели и социально-экономическое развитие в Китае.
Низкий уровень рождаемости и увеличение ожидаемой продолжительности жизни, сохранявшиеся в КНР длительное время, привели к проявлению тенденции старения населения. Возможность для семьи иметь двух детей не изменит количественный масштаб пожилого населения в ближайшие пятьдесят лет, но поспособствует повышению рождаемости. При достаточно высоких показателях демографического роста доля пожилых людей снизится, и процесс старения населения смягчится.
Новая политика деторождения не приведет к стремительному росту населения, но может нормализовать его гендерный баланс, ослабить социальные противоречия и т. д. На ее фоне тенденция старения будет сглаживаться в ближайшие тридцать лет. Ди Чжэньу предполагает, что если бы новую политику деторождения начали реализовать в 2012 году, то уже к 2020 году доля пожилых людей составила бы 16,6 % – на 1 % ниже, чем в ситуации с политикой жесткого демографического контроля. Соответственно, к 2030 году этот показатель достиг бы 23,6 % (на 1,6 процентного пункта ниже), к 2040 году – 27,3 % (на 2,8 процентного пункта ниже), к 2050 году – 29,9 % (на 4,6 процентного пункта ниже). Новая политика деторождения окажет нарастающий эффект на тенденцию старения населения[5]. Государственный комитет по делам здравоохранения и планового деторождения КНР прогнозирует, что в этих условиях степень старения населения снизится на 2 % к 2030 году[6].
Возможность иметь двух детей – мера активного реагирования на старение населения, которая позволит сократить масштаб и замедлить скорость данной тенденции. Эта политика, однако, не разрешит ситуацию с общей численностью пожилого населения в Китае, не снизит темпы старения и не обратит этот процесс вспять.
Основная проблема старения заключается в бремени заботы о многочисленных пожилых людях, которое ляжет на работающее население. Люди, появившиеся на свет в результате смягчения политики деторождаемости, будут трудоспособны как минимум через пятнадцать лет. В краткосрочной же перспективе именно работающие люди будут отвечать за воспитание и обеспечение несовершеннолетних. Таким образом, трудоспособное население одновременно должно заботиться и о старших, и о младших. Необходимо улучшить социальное обеспечение пожилых и облегчить нагрузку на семью. Это касается не только для людей 60 лет и старше, но и большинства семей в КНР. Китай должен увеличивать поддержку семьям, расширять внутренний спрос, стимулировать здоровое развитие экономики, в дальнейшем совершенствовать структуру семьи и общества в целом и добиваться благоприятного и скоординированного социально-экономического развития.
Краткие итоги и предложения
Население неизбежно стареет в результате демографических изменений, когда достигается определенный социально-экономический уровень. С этой тенденцией одновременно сталкиваются многие страны мира. Однако проблемы разнятся в государствах с различными социально-экономическими условиями, уровнями старения населения и темпами развития. Только межнациональные исследования позволяют понять тенденции, особенности и проблемы в старении населения Китая. В этой главе рассматривается текущая обстановка и тенденции в сфере старения, а также проводится кросс-национальное сравнение отдельных стран. Так формируется относительно новая информация, применимая для исследований и выработки политических курсов. При сопоставлении тенденций старения населения в Китае со сходными явлениями в Индии, США, Бразилии, России, Японии, Республике Корея, Франции и Германии выявляются следующие особенности данного этого процесса в КНР.
Степень старения населения в Китае выше, чем в развивающихся странах, но значительно ниже, чем в развитых. Темпы старения в Китае выше, чем во многих государствах, но не самые быстрые. Ожидаемая продолжительность жизни населения в КНР заметно возрастает, однако она ниже, чем в развитых странах. Бремя содержания пожилого населения в Китае не представляется тяжелым, но оно будет постепенно нарастать в дальнейшем. Степень вовлеченности пожилых людей в трудовую деятельность в Китае остается на среднем уровне. Этот параметр выше, чем в большинстве развитых стран, однако ниже, чем в развивающихся. Длительность пребывания в браке китайских пожилых женщин больше, чем в других странах, разница в показателях между мужчинами и женщинами старшего возраста небольшая. Коэффициент безграмотности пожилых людей в Китае значительно выше, чем в развитых странах, а также в Бразилии и других развивающихся странах. Таким образом, показатели старения населения в Китае действительно высокие, но не столь велики на фоне других стран.

