
Справочник инженера по теплоснабжению

Светлана Ильина
Справочник инженера по теплоснабжению
Основные ГОСТы и типовые альбомы по виду прокладки
Подвальная прокладка, прокладка в камереТрубы стальные бесшовные горячедеформированные – ГОСТ 8732-78
Отводы – ГОСТ 17375-2001
Переходы – ГОСТ 17378-2001
Тройники – ГОСТ 17376-2001, Серия 5.903-13 вып. 1 ч. 1
Накладки – Серия 4.903-10 вып. 1 (Т94…)
Фланцы – ГОСТ 33259-2015
Металлическая заглушка изоляции на ППУ – ГОСТ 30732-2020
Заглушка плоская приварная – Серия 5.903-13 вып. 1-95
Сальники – Серия 3.903 кл 13 вып. 0-1
Секторы концевые – Серия 5.903-13 выпуск 1-95 ТС-583.001-005
Подземная прокладкаТрубы стальные бесшовные горячедеформированные в изоляции ППУ в ПЭ оболочке с ОДК – ГОСТ 30732-2020
Труба стальная электросварная прямошовная (футляры усиленные) – ГОСТ 10704-91
Железобетонные элементы колодцев – ГОСТ 8020-2016
Люк Т(С250)-ТС.2-60 – ГОСТ 3634-2019
Обратный клапан типа «Захлопка» – Серия А-397-80 «Гиппроинжпроект»
РазноеТопливо дизельное – ГОСТ 305-82
Типовые альбомы
1-487-1997.00.000 «Скользящие опоры для подземных и наземных трубопроводов диаметром 50-1000 мм в оболочке на основе пенополиуретана»
313.ТС-002.000 «Типовые решения прокладки трубопроводов тепловых сетей в изоляции из пенополиуретана диаметром 50-1000 мм»:
– неподвижные щитовые опоры – стр. 82.
313.ТС-008.000 «Типовые решения прокладки трубопроводов тепловых сетей в изоляции из пенополиуретана диаметром Ду 50-600 мм. Конструкции и детали»;
313.ТС-012.000 «Типовые решения прокладки трубопроводов тепловых сетей в изоляции из пенополиуретана диаметром Ду 700 – 1000 мм»;
3.903 КЛ-13 выпуск 0-1 «Теплоснабжение. Сборные железобетонные камеры на тепловых сетях»:
– общие данные камер – стр. 1;
– сальники в камерах – стр. 7;
– узел примыкания канала к камере – стр. 12;
– узел примыкания футляра к камере – стр. 13;
– дополнительные опоры в камерах – стр. 21;
– неподвижные опоры в камерах – стр. 25.
3.903 КЛ-13 выпуск 0-2 «Теплоснабжение. Сборные железобетонные камеры на тепловых сетях» – камеры большого размера.
3.903 КЛ-13 выпуск 1-3 «Теплоснабжение. Сборные железобетонные камеры на тепловых сетях» – подробные чертежи камер.
– лестницы для колодцев и камер
3.903 КЛ-13 выпуск 1-5 «Теплоснабжение. Сборные железобетонные камеры на тепловых сетях» – камеры 1,8х1,8х2; 1,8х1,8х4; 2,6х2,6х2; 2,6х2,6х4.
3.903 КЛ-14 выпуск 1-1 «Каналы непроходные. Опоры неподвижные щитовые»:
– опоры неподвижные щитовые – стр. 24.
4.903-10 выпуск 1 – «Изделия и детали трубопроводов тепловых сетей»:
– накладки – стр. 111
5.903-13 выпуск 7-95 – «Опоры трубопроводов неподвижные» (упоры).
5.903-13 выпуск 8-95 – «Опоры трубопроводов подвижные» (скользящие опоры в подвале).
5.905-25.05 выпуск 1, часть 1 и 2 – «Оборудование, узлы, детали наружных и внутренних газопроводов»:
– футляр на газопровод – часть 2 стр. 103.
НТС 65-06 выпуск 1 «Опорные конструкции трубопроводов тепловых сетей. Подвижные и направляющие опоры для канальной прокладки теплопроводов Ду=100-1000мм в ППУ изоляции в полиэтиленовой оболочке»
Формулы для перевода единиц
ЦЕНА с НДС = ЦЕНА * 1,20
ЦЕНА без НДС = ЦЕНА с НДС / 1,20
Объемный расход воды (т/ч=м3/ч) = массовый расход воды (кг/с) * 3,6
Массовый расход воды (кг/с) = объемный расход воды (т/ч=м3/ч) / 3,6
Гкал/ч = 1,163 МВт
кВт/ч = 860,42 ккал/ч
ккал/ч = 1,163 Вт = 0,001163 кВт = 1,163 * 10-6 МВт
1 м3 = 1000 л
1 л/с = 3,6 м3/ч
1 м3/ч = 0,277 л/с
Объемный расход

Массовый расход

Неподвижные щитовые опоры

*п – с трубоэлементом в ППУ
Устанавливаются на основание из уплотненного щебня, пролитого битумом (δ=100 мм) + подбетонка из тощего бетона В7.5 (δ=100 мм).
Гидроизоляция наружной поверхности: обмазать горячим битумом за 2 раза по битумной грунтовке.
Обратную засыпку конструкций неподвижных опор выполнить среднезернистым песком ГОСТ 8736-2014 с тщательным послойным уплотнением. Зона засыпки не менее 2,0 метров от щита вдоль трассы.
Лотки каналов
(серия 3.903. кл-14 вып. 1-4)

* примыкание канала к камере л. 12 серия 3.903 кл. 13 вып. 0-1
Швы между лотками заполняются цементно-песчаным раствором М100 ~ 0,02 м3 на компл. (верх+низ) далее оклеивают стыки двумя слоями гидростеклоизола шириной 300 мм.
Грунтовка из разжиженного битума БН 90/10 ~ 1,5 кг/м2;
Битум БН 90/10 ~ 2,5 кг/м2.
Дренажные колодцы
Параметры колодца диаметром 1000 мм (средние данные из опыта ~2 м глубиной (для быстрых расчетов)):
Объем бетона – 0,8 м3
Лестница – 40 кг
Люк – 100 кг
Щебень (основание) – 0,3 м3
Битум (проливка основания) – 6 кг
Грунтовка из разжиженного битума БН 90/10 (обмазка) – 12 кг
Битум БН 90/10 (обмазка) – 20 кг
Гидроизоляция (оклейка) стыков – 4,3 м2
Разработка грунта – 6,6 м3
Обратная засыпка (без коэф. упл.) – 4,7 м3
Объем вытесненного грунта – 1,6 м3
Площадь поверхности – 7,9 м2.
Параметры колодца диаметром 1500 мм (средние данные из опыта ~2 м глубиной (для быстрых расчетов)):
Объем бетона – 1,29 м3
Лестница – 40 кг
Люк – 100 кг
Щебень (основание) – 0,5 м3
Битум (проливка основания) – 10 кг
Грунтовка из разжиженного битума БН 90/10 (обмазка) – 20 кг
Битум БН 90/10 (обмазка) – 34 кг
Гидроизоляция (оклейка) стыков – 5,7 м2
Разработка грунта – 10,3 м3
Обратная засыпка (без коэф. упл.) – 6,3 м3
Объем вытесненного грунта – 3,5 м3
Площадь поверхности – 13,4 м2.
Железобетонные элементы дренажных колодцевКольцо с плитой днища* – ДК 10.9 (d=1000мм, h=900мм) 0,36 м3.
Кольцо с плитой днища* – ДК 15.9 (d=1000мм, h=900мм) 0,58 м3.
Стеновое кольцо – КС 10.3 (d=1000мм, h=300мм) 0,08 м3.
Стеновое кольцо – КС 10.6 (d=1000мм, h=600мм) 0,16 м3.
Стеновое кольцо – КС 10.9 (d=1000мм, h=900мм) 0,24 м3.
Стеновое кольцо – КС 15.3 (d=1500мм, h=300мм) 0,13 м3.
Стеновое кольцо – КС 15.6 (d=1500мм, h=600мм) 0,265 м3.
Стеновое кольцо – КС 15.9 (d=1500мм, h=900мм) 0,454 м3.
Кольцо с плитой перекрытия (КСП)* – ПК 10.9 (d=1000мм, h=900мм) 0,34 м3.
Кольцо с плитой перекрытия (КСП)* – ПК 15.9 (d=1500мм, h=900мм) 0,56 м3.
Кольцо опорное – КО-6 (d=580мм, h=70мм) – 0,02 м3.
*обязательные элементы, все остальные добирается исходя из требуемой глубины колодца.
Тепловые камеры
(серия 3.903 КЛ13 вып. 0-1)

* данные из опыта
Гидроизоляция: наружную поверхность обмазать горячим битумом за 2 раза по битумной грунтовке, стыки проклеить двумя слоями гидростеклоизола шириной 300 мм.
Обратная засыпка: песком.
Упоры
Упоры (серия 5.903-13 выпуск 7-95) для опоры неподвижной двухупорной (применяются в подвале, тепловой камере)

Упоры (серия 5.903-13 выпуск 7-95) для опоры неподвижной четырехупорной (применяются в подвале, тепловой камере)

Упоры (серия 5.903-13 выпуск 7-95) для неподвижной щитовой опоры


Давление
Номинальное (условное) давление
PNХХ или РуХХ – ХХ кгс/см2 = Х,Х МПа
Пример: PN40 или Ру40 – 40 кгс/см2 = 4,0 МПа
Схема для перевода единиц давления

Уклон сети

ПТЭТЭУ п. 6.1.3 – уклон тепловой сети должен быть не менее 0,002.
Формулы объема, площади и т.д.
Объем цилиндра = πR2h = π(D2/4)h
Площадь круга = πR2 = π(D2/4)
Длина окружности = 2πR= πD
Площадь поверхности трубопровода S= πDL
D – диаметр трубопровода;
L – длина трубы
Объем изоляции V= π(D+δИ)δL
D – диаметр трубопровода;
δИ – толщина изоляции;
L – длина трубы
Площадь поверхности изоляции SИ= π(D+δИ)L
D – диаметр трубопровода;
δИ – толщина изоляции;
L – длина трубы
Нужные формулы, касающиеся теплоэнергетики
Расход теплотыQ=G×Δt×c/1000 [Гкал/ч], где
G – расход теплоносителя [т/ч или м3/ч];
Δt – разность температур между подающим и обратным трубопроводами [ºС];
с – теплоемкость воды [ккал/кг*ºС] (для расчетов теплоемкость воды принимают 1 ккал/кг*ºС).
Расход теплоносителя
G = Q*1000/(Δt×c) [т/ч] , где
Q – расход теплоты [Гкал/ч];
Δt – разность температур между подающим и обратным трубопроводами [ºС];
с – теплоемкость воды [ккал/кг*ºС] (для расчетов теплоемкость воды принимают 1 ккал/кг*ºС).
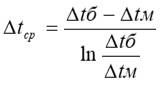
Поверхность теплообмена
F=Q*1000/(k*Δtср) [м2], где
Q – расход теплоты [ккал/ч или Вт];
Δtср – логарифмическая разность температур между подающим и обратным трубопроводами теплообменника [ºС или К];
k – коэффициент теплопередачи [ккал/м2*ч* ºС или Вт/ м2*К].
Логарифмическая разность температур между подающим и обратным трубопроводами теплообменника [ºС или К]


Пропускная способность регулирующего клапана
Kvs=G/(√ΔР/100) [м3/ч], где
G – расход воды [м3/ч];
ΔР – потери давления на клапане [кПа].
Потери давления на клапане
ΔР=(G/ Kvs)2 [кгс/см2], где
G – расход воды [м3/ч];
Kvs – пропускная способность регулирующего клапана [м3/ч].
Расход воды на подпитку закрытой системы теплоснабжения
Gз.подп = 0,0025×V [м3/ч], где
V – объем воды в трубопроводах тепловых сетей и непосредственно присоединенных местных систем отопления и вентиляции [м3].
Расход воды на подпитку открытой системы теплоснабжения
Gо.подп = 0,0025×V + Ghm [м3/ч], где
V – объем воды в трубопроводах тепловых сетей и непосредственно присоединенных местных систем отопления и вентиляции [м3];
Ghm – среднечасовой расход воды на горячее водоснабжение [м3/ч].
Удельная норма расхода условного топлива на выработку теплоты, отпускаемой в тепловую сеть
bотп=14286/ηнеттоср.к. [кг у.т./Гкал], где
ηнеттоср.к.– коэффициент полезного действия котла [%] (можно найти в паспорте на котел).
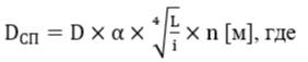
Диаметр спускника для тепловой сети

L – длина трубопровода [м];
D – диаметр трубопровода [м];
i – уклон трубы (по факту или принимаем 0,002);
n – число часов, за которое необходимо спустить участок трубопровода (1 ч, 2 ч, 3 ч);
α – коэффициент, принимаем 0,011.
Должен быть не менее Ду32 (СП 124.13330.2012 п. 10.19)
Скорость теплоносителя в трубопроводе
C=G×1000/S [м/с], где
G – расход воды [л/с];
S – площадь поперечного сечения [мм2].
Перевод кг условного топлива в м3 природного газа
кг у.т. / 1,15629 = м3 прир. газа.
Расчет нагрузки системы вентиляции
Q = L×ρ×C×(tв-tн) [ккал/ч], где
L – расход воздуха [м3/ч]:
L=V×n [м3/ч], где
V – объем помещения, [м3];
n – кратность воздухообмена [1/ч].
ρ – плотность воздуха [кг/м3], принимаем 1,225 кг/м3;
С – теплоемкость воздуха [ккал/кгºС], принимаем 0,24 ккал/кгºС;
tв – температура внутреннего воздуха [ºС], для жилых комнат 20 ºС;
tн – температура наружного воздуха [ºС], для СПб -24 ºС.
Расход тепла на вентиляцию общественных и производственных зданий при отсутствии проектов [10]:
QВ=k1× QОТ, где
k1 – коэффициент, учитывающий расход тепла на вентиляцию общественных зданий (при отсутствии данных принимается 0,4);
QОТ – расход тепла на отопление.
Расчет нагрузки системы ГВС
Q = G×ρ×C×(tв-tн) [ккал/ч], где
G – расход воды максимальный или средний [м3/ч];
ρ – плотность воды [кг/м3], принимаем 1000 кг/м3;
С – теплоемкость воды [ккал/кгºС], принимаем 1 ккал/кгºС;
tв – температура внутреннего воздуха [ºС], для жилых комнат 22 ºС;
tн – температура наружного воздуха [ºС], для СПб -24 ºС.
Средний расход тепла на ГВС, если есть информация только о количестве жителей [10]:
Qг.ср.= N×gсут.ср.×(tг-tх)/24 [ккал/ч], где
N – количество жителей;
gсут.ср. – средний расход горячей воды одним жителем в сутки [л/сут] (принимается по СП 30.13330.2020 табл. А.2: для жилого дома с ванной 70 л/с; ДОО – 25 л/сут; школа – 5 л/сут);
tг – температура горячей воды (65°С);
tх – температура холодной воды (5°С);
24 – число часов подачи ГВС.
Максимальный расход тепла на ГВС [10]:
Qг.макс.= Qг.ср.×(2…2,4) [ккал/ч].
Максимальный секундный расход воды на ГВС
qh=5×q0h×α [л/с], где
q0h – секундный расход воды характерным прибором [л/с] (принимается 0,2 для жилой части; 0,1 для встроенной части);
α – коэффициент, принимаемый по табл. Б.1, Б.2 СП 30.13330.2020, в зависимости от N×P, где
N – количество приборов;
Р – вероятность действия водозаборных приборов.
Вероятность действия водозаборных приборов:
Р= qhr,uh×U/(q0h×N×3600), где
qhr,uh – расход горячей воды одним потребителем [л/ч] в час наибольшего водопотребления, принимается по табл. А.2 СП 30.13330.2020 (6,5 л/ч для жилой части; 1,7 л/ч для административных зданий, встроенной части, ДОО и школ);
U – количество потребителей (жителей) в здании;
N – количество приборов.
Суточный расход [м3/сут]=24×средний часовой расход[м3/сут]
24 – число часов работы (для встроенной части, ДОО и школ принимается 8 ч).
Максимальный часовой расход воды на ГВС
qhrh=0,005×q0,hnh×αhr [м3/ч], где
q0,hnh – часовой расход воды водозаборным прибором [л/ч], принимается по табл. А.2 СП 30.13330.2020 (200 л/с для жилой части; 60 л/с для встроенной части, ДОО и школ);
αhr – коэффициент, принимаемый по табл. Б.1, Б.2 СП 30.13330.2020, в зависимости от N×Phr.
Вероятность использования водозаборных приборов:
Phr= 3600×Р×q0h/q0,hnh
Средний часовой расход воды на ГВС
qт,mh= qu,mh ×U/(1000×T) [м3/ч], где
qu,mh – расход горячей воды одним потребителем в средние сутки [л/сут], принимается по табл. А.2 СП 30.13330.2020 (70 л/сут для жилой части; 4,5 л/сут для встроенной части, школ и административных зданий; 25 л/сут для ДОО);
U – количество потребителей (жителей) в здании;
T – количество часов в сутках или в смену (для встроенной части, ДОО и школ принимается 8 ч).



Расход воды на циркуляцию ГВС
Потери тепла трубопроводами:
Qцирк.гвс = Qг.ср.×kтп/(1+kтп) [Гкал/ч], где
kтп – коэффициент, учитывающий потери тепла трубопроводами ГВС, принимается по СП 41-101-95 табл. 2 (при изолированных стояках с полотенцесушителями kтп=0,2);
Qцирк.гвс[Гкал/ч]×1163= Qцирк.гвс[кВт].
Qцирк=β×Qцирк.гвс/(4,2×Δt) [л/с], где
β – коэффициент регулировки циркуляции (принимается равным 1).
Qцирк.гвс – потери тепла трубопроводами [кВт];
Δt – разность температур подающих трубопроводов от водонагревателя до наиболее удаленной точки [ºС] (принимаем Δt=10ºС);
Qцирк[л/с]×3,6=Qцирк[м3/ч].
Расчет нагрузки системы отопления
Q = q×V×(tв-tн)×kmn×a [Вт или ккал/ч], где
q – удельная тепловая характеристика здания [Вт/(м3׺С) или ккал/(ч×м3׺С)], (принимается по [1] по таблицам 3-7);
V – объем здания [м3];
kmn – коэффициент, учитывающий потери теплоты трубопроводами, принимаем 1,05;
а – поправочный коэффициент, учитывающий район строительства (принимается по [1] по таблице 2), для -24 ºС принимаем 1,098;
tв – температура внутреннего воздуха [ºС], для жилых комнат 20 ºС;
tн – температура наружного воздуха [ºС], для СПб -24 ºС.
Тепловые потери через ограждающие конструкции
Q = Vогр×k×n×(tв-tн)×(1+β) [Вт], где
Vогр – площадь ограждения [м2]:
k – коэффициент теплопередачи ограждения [Вт/м2ºС];
n – коэффициент (для жилого дома принимаем 1);
tв – температура внутреннего воздуха [ºС], для жилых комнат 22 ºС;
tн – температура наружного воздуха [ºС], для СПб -24 ºС;
1+β – добавки к потерям (сторона света и т.д.).
Потери тепла на инфильтрацию
Qинф = 0,28×L×ρ×C×(tв-tн)×kн [Вт], где
L – расход воздуха [м3/ч];
ρ – плотность воздуха [кг/м3], принимаем 1,447 кг/м3;
С – теплоемкость воздуха [кДж/кгºС], принимаем 1 кДж/кгºС;
tв – температура внутреннего воздуха [ºС], для жилых комнат 22 ºС;
tн – температура наружного воздуха [ºС], для СПб -24 ºС;
kн – коэффициент, учитывающий влияние встречного теплового потока в конструкциях
kн=0,7 – для стыков панелей стен и для окон с тройными переплетами
kн=0,8 – для окон и балконных дверей с раздельными переплетами
kн=1 – для одинарных окон, окон и балконных дверей со спаренными переплетами и открытых проемов.
Удельная тепловая характеристика здания
q = (1,16×(1+2×d)×A+S)/Vn [Вт/м3К], где
d – доля остекления стен (если нет данных, то можно принять 0,3);
A – площадь наружных стен [м2];
S – площадь здания в плане [м2];
Vn – отапливаемый объем здания [м3].
*без коэффициента 1,16 рассчитывается в ккал/ч.
Потери тепла трубопроводами
Q=qi×li, где
qi – удельный тепловой поток i-го трубопровода;
li – длина трубопровода, м.
Удельный тепловой поток i-го трубопровода:

th – температура горячей воды [°С] (при отсутствии данных можно принять 55°С);
ti – температура окружающей среды [°С] (при отсутствии данных можно принять 5°С);
αн – коэффициент теплопередачи от поверхности изоляции к окружающему воздуху (при отсутствии данных можно принять 6 Вт/м°С; 7 ккал/чм°С;
d – наружный диаметр трубопровода [м];
dиз – диаметр трубопровода с изоляцией [м];
λ – коэффициент теплопроводности теплоизоляционного слоя (при отсутствии данных можно принять 0,05 Вт/м°С; 0,06 ккал/чм°С для минераловатной изоляции)
Справочные данные
Срок службы трубопроводовТрубопроводы после 2013 г. – 30 лет (СП 124.13330.2012)
Трубопроводы до 2013 г. – 25 лет (СП 41-106-2006)
Периодичность проведения теплоэнергетических мероприятий и документации

*при монтаже скользящих опор на трущиеся поверхности наносят графитную смазку.
Маркировка ФСО

*при монтаже скользящих опор на трущиеся поверхности наносят графитную смазку.
Объем воды на наполнение систем
Объем воды на наполнение системы ГВС при открытой схеме [1]:
5,2 м3 на 1 МВт (среднечасовой расчетной мощности ГВС)
6 м3 на 1 Гкал/ч (среднечасовой расчетной мощности ГВС)
Удельный объем воды на наполнение системы отопления (СО) и системы вентиляции (СВ), при отсутствии данных о типе нагревательных приборов [1]:
25,9 м3 на 1 МВт (суммарного расчетного часового расхода теплоты на СО и СВ)
30 м3 на 1 Гкал/ч (суммарного расчетного часового расхода теплоты на СО и СВ)
Общий удельный объем на заполнение местных систем и наружных тепловых сетей [1]:
34,5-43,1 м3 на 1 МВт (расхода отпущенной теплоты)
40-50 м3 на 1 Гкал/ч (расхода отпущенной теплоты)
Перевод условных диаметров в дюймы:
Ду10 – 3/8”
Ду15 – 1/2”
Ду20 – 3/4”
Ду25 – 1”
Ду32 – 1 1/4”
Ду40 – 1 1/2”
Ду50 – 2”
Ду65 – 2 1/2”
Ду80 – 3”
Ду90 – 3 1/2”
Ду100 – 4”
Ду125 – 5”
Ду150 – 6”
Диаметры спускников
Ду600 – Ду100
Ду400 – Ду100
Ду300 – Ду80
Ду250 – Ду80
Ду200 – Ду80
Ду150 – Ду50
Ду125 – Ду40
Ду100 – Ду40
Ду80 – Ду40
Ду65 – Ду32
Должен быть не менее Ду32 (СП 124.13330.2012 п. 10.19)
Диаметры промывочных кранов на вводе в ИТП
Ду150 – Ду80
Ду125 – Ду80
Ду100 – Ду80
Ду80 – Ду40
Ду65 – Ду40
Ду50 – Ду40
Должен быть не менее Ду32 (СП 124.13330.2012 п. 10.19)
Диаметры воздушников
Ду600 – Ду50
Ду400 – Ду50
Ду300 – Ду50
Ду250 – Ду50
Ду200 – Ду25
Ду150 – Ду20
Ду125 – Ду20
Ду100 – Ду20
Ду80 – Ду15
Ду65 – Ду15
Ду50 – Ду15
Минимальная глубина заложения тепловых сетей
(СП 124.13330.2012 Тепловые сети, приложение А, таблица А.1)
– при бесканальной прокладке – 0,7 м от поверхности земли до верха изоляции;
– канальная и футлярная прокладка – 0,5 м от поверхности земли до верха канала или футляра;
– 0,3 м до верха перекрытия камер;
– 0,2 м до водопровода, водостока, газопровода, канализации;
– 1 м до верха дорожного покрытия автомобильных дорог общего пользования I, II и III категорий;
– на вводе тепловых сетей в здание допускается принимать заглубления от поверхности земли до верха перекрытия каналов или тоннелей – 0,3 м и до верха оболочки бесканальной прокладки – 0,5 м;
– при высоком уровне грунтовых вод допускается предусматривать уменьшение величины заглубления каналов и тоннелей и расположение перекрытий выше поверхности земли на высоту не менее 0,4 м, если при этом не нарушаются условия передвижения транспорта;
Конец ознакомительного фрагмента.
Текст предоставлен ООО «Литрес».
Прочитайте эту книгу целиком, купив полную легальную версию на Литрес.
Безопасно оплатить книгу можно банковской картой Visa, MasterCard, Maestro, со счета мобильного телефона, с платежного терминала, в салоне МТС или Связной, через PayPal, WebMoney, Яндекс.Деньги, QIWI Кошелек, бонусными картами или другим удобным Вам способом.
Приобретайте полный текст книги у нашего партнера:

