
Я работаю собой
Посчитать просто:
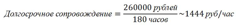
Юрист Мария за три месяца заработала 400 000 рублей.
260 000 рублей она получила по двум договорам, которые подразумевали долгосрочное сопровождение клиентов.
130 000 рублей ей заплатили за разовые консультации и заключения.
Глядя на эту картину, Мария подумала, что ей нужно больше долгосрочных клиентов. А потом она решила посчитать. Получилось вот так.


Мария сначала удивилась такой математике, потому что была уверена, что где больше сумма оплаты, там и доходность выше. Но потом поняла, почему так получилось – в долгосрочной работе, помимо собственно юридических аспектов, ей приходится много времени посвящать общению с клиентами. Причем, призналась она, зачастую по требованию клиента, в не очень удобное для нее время.
Выводы, которые сделала Мария:
Я могу сосредоточиться на привлечении клиентов на разовые консультации
Я могу увеличить цену долгосрочного сопровождения, если клиент хочет общаться со мной много и в разное время.
Я могу заранее оговаривать с долгосрочным клиентом количество времени на обсуждение вопросов в переписке. Мы все успеем обсудить. Но я тогда не буду «привязана» к клиенту, у меня появится время на то, чтобы провести больше разовых консультаций.
Как у вас обстоят дела с рентабельностью ваших продуктов, знаете? В каких из них живет больше эффективности в единицу вашего времени? Даже если только начинаете работать на себя, попробуйте посчитать. Получаются очень интересные и показательные цифры.
Зачем я так подробно расписываю для вас эти линейки?
Чтобы показать вам, что работа над ними – не страшный зверь, а простой и логичный шаг.
Чтобы вам было легче их создавать.
Да, вы будете их менять год от года, убирать ненужное и добавлять востребованное: опыт – лучший учитель и источник самой прекрасной аналитики.
Начинать нужно с понимания, что вы продаете. Сформулируете понятно на старте – сэкономите себе кучу сил, спокойствия и уверенности, когда начнутся продажи.
Среди моих клиентов, участников программ, друзей в социальных сетях и просто хороших знакомых множество тех, кто выбирает себе занятие – об этом говорится в самом начале этой главы – и сразу начинает продавать. Путаясь в том, что и кому продает. Когда вы говорите или пишете о своих продуктах не четко и не внятно, без полного собственного понимания сказанного или написанного, то производите впечатление неуверенного в себе человека. И уж точно – не эксперта, которого хочет видеть ваш клиент.
У неуверенных людей покупают гораздо меньше, потому что это ощущение подсознательно переносится на тот продукт, который вы предлагаете. Продавать в таких невыносимых условиях сложно, продается мало.
Получается замкнутый круг:
нет четкого понимания своих продуктов – сквозит неуверенность в рассказе о них;
неуверенность в рассказе клиент считывает, как «что-то не то с продуктом»;
«что-то не то с продуктом» – у клиента не появляется желания его купить;
клиент не покупает –у вас мало продаж;
мало продаж – растет неуверенность в себе, своей способности заниматься развитием своего дела и возможности достойно зарабатывать.
Поэтому первая глава этой книги и посвящена продукту – мы создаем задел на будущее.
Бонусы для тех, кто дочитал до этого места.
Лафхак №1: Ваш VIP-продукт.
Винные карты кафе и ресторанов зачастую в первых строчках своих меню содержат такие вина, что взгляд на цену вызывает единственную реакцию: «Скооолько???»
Глаза скользят ниже: «Уф, есть же нормальные цены, зачем было так пугать?»
Если вы периодически покупаете программы обучения on-line, там такая же картина – среди нескольких возможных вариантов почти всегда есть VIP-пакет. В искусственно созданном состоянии шока от стоимости первоначального пакета остальные цены смотрятся весьма гуманно.
Давний маркетинговый ход: размещать в перечне продуктов что-то дорогое. Иногда очень дорогое. С годами такой ход не заплесневел, не испортился, продолжает работать – в процессе сравнения цена стандартного продукта воспринимается как нормальная и адекватная.
Главный эффект этого хода: клиент начинает сравнивать не ваши цены с ценами конкурентов, а ваши цены с вашими же ценами. Он не смотрит «налево», он остается с вами.
А еще VIP-продукты продаются. Среди вашей аудитории есть люди, которые живут в другом формате цен. Их устраивает ваш базовый продукт, они хотят его купить, но…Им слишком дешево. Стандартная цена не вызывает у них доверия к качеству. Лучше они купят дороже и получат за это больше: качества, количества, внимания, впечатлений.
Наличие VIP-продукта в вашей продуктовой линейке однозначно идет на пользу продажам:
– клиент спокойнее воспринимает стоимость базовых продуктов;
– вы можете увеличить свой доход, периодически продавая VIP-продукт;
– наличие дорогого продукта в вашей линейке поможет вам постепенно привыкнуть, что такого формата цены бывают тоже. И что вам (пусть не часто) готовы платить дорого. Такой опыт пригодится, когда вы задумаетесь о пересмотре цен.
Только учтите, VIP продукт у вас должен быть прямо ПРОДУКТ – обязательно стоить своих денег! Либо по размеру, либо по сервису и впечатлению.
Лафхак №2: «Сопровождение» как часть продуктовой линейки
Мало в нашем предпринимательском пространстве фокуса на сопровождение после продажи, ох, мало! А зря. Возможности для продвижения здесь прекрасные.
Чего хочет от вас клиент?
Качества того товара/услуги, которые вы ему предлагаете. Нормального общения. Внимания к себе.
Чего хотите вы от клиента?
Чтобы ему понравилось. Чтобы он вас запомнил. Чтобы он вернулся и купил еще раз. Чтобы он порекомендовал вас своим друзьям и знакомым.
Ни один ваш клиент не обязан о вас помнить. Даже если вы сотрудничали довольно долго, а не встретились один раз случайно. Он может быть доволен вами и вашими товарами/услугами. Но он может про вас забыть.
Слишком много дел, проблем и задач сейчас в жизни каждого человека. Слишком много людей, у которых каждый из нас что-то покупает, чтобы держать всех в оперативной памяти. Напомнить о себе вместо того, чтобы томиться ожиданием, когда вспомнит сам – ваша прямая задача.
Неудобно? А вы задумывались, что такое напоминание может быть важно ему самому?
– Можно я вам послезавтра напишу, чтобы спросить, как вам торт? – спрашивает кондитер в момент, когда у него забирают заказ на юбилей.
– Можно я вам через полгода напишу, чтобы спросить, как вы устроились на новом месте? – спрашивает риелтор у клиента после завершения сделки по покупке квартиры.
– После окончания контракта, мы с вами (при вашем желании) можем встречаться примерно раз в месяц или как договоримся, чтобы вы могли важные темы обсуждать и решать, а не накапливать, – предлагаю я своим коучинговым клиентам ближе к окончанию сотрудничества.
– Я хотел бы вам написать через полгода, чтобы узнать, как работает то, что мы с вами сделали, – может сказать клиенту сантехник, стоматолог, веб-дизайнер…Да практически кто угодно, если он приносит клиенту долгосрочную пользу.
– Через год мы можем приехать и провести техобслуживание, – говорит столяр клиенту, который купил у него большой набор деревянной мебели для загородного дома. – Да, услуга платная, но так будет меньше влияния непогоды, дольше прослужит и будет выглядеть как новая.
Понятен принцип? Подумайте, как вы можете включить сопровождение в вашу продуктовую линейку. Конечно, на вашем сайте или странице в социальных сетях не будет написано «звонок после выполнения заказа». Но сами вы будете знать, что с выполнением условий договора с клиентом и получением денег ваше общение не заканчивается, что у вас в линии общения с клиентом есть еще один важный шаг.
В таком простом общении с клиентом после продажи содержится множество важных моментов:
вы даете человеку внимание – и он понимает, что вам не все равно после того, как вы получили деньги. Человеческое внимание – неоспоримая ценность. Это вам не механический голос в трубке: «Недавно вы воспользовались нашей услугой, пройдите, пожалуйста, небольшой опрос для повышения качества обслуживания». Искреннее внимание – это повод вернуться к вам или рекомендовать вас;
вы подтверждаете качество своего продукта, раз готовы и хотите услышать обратную связь после того, как сделка завершилась;
вы напоминаете клиенту о себе, причем приходите не с новой продажей, что может быть не к месту, а с разговором о предыдущей;
вы можете получить отличный отзыв о своей работе и использовать его в дальнейшем (с согласия клиента, разумеется);
вы действительно удовлетворяете свой интерес – ну ведь интересно же, как там?
вы повышаете свою уверенность и самооценку, когда получаете в ответ благодарность. В трудные минуты такая опора может очень пригодиться.
Основные правила того, что я назвала «сопровождением»:
Оговаривайте его сразу, до того, как расстались с клиентом. Можно, конечно, и вслед написать «как вам»? Но лучше сразу договориться – поставите в календарь и не нужно в голове держать. Платное сопровождение только заранее – чтобы не было у человека ощущения, что вы что-то пытаетесь ему «втюхать», внезапно вновь появившись в его жизни.
Выполняйте все обещанное. Сразу ставьте пометку в календарь «25 июня: Максим Ш., набор садовой мебели, через полгода».
Потом идите по календарю и просто выполняйте все то, что обещали. Через неделю, через месяц, через год.
Будьте готовы к тому, что не все в ответ кинутся вас благодарить и хвалить. Бывает, что скамейка оказалась маловата или великовата для того места, куда ее хотел поставить Максим Ш. Вам он может не сказать, что просчитался, но и благодарить особо не станет. Или ваши клиенты, которым вы как риелтор помогли купить квартиру, развелись через полгода после переезда. Так бывает.
Но чаще люди рады, что вы о них вспомнили. Рады, что вы искренне интересуетесь. Они про вас на фоне вашего сообщения тоже вспомнят – и вполне может быть, что буквально на днях при случае расскажут про внимательного сантехника, риелтора, стоматолога кому-то из своих знакомых. А тот попросит ваш контакт.
Будьте готовы к тому, что в ответ на ваше внимание вам могут выдать претензию. Обоснованную или нет. Эмоционально это может быть неприятно, да. Зато, по сути, полезно: про свои недоработки, мнимые и настоящие, лучше знать, чем не знать.
Когда вы допустили небольшой промах (про большой вам расскажут раньше, чем вы спросите), сами спросили, сами все исправили – человек, скорее всего, останется вашим лояльным клиентом и дальше. А вот если не спросили, ваш небольшой промах может стать причиной ухода клиента. Вы и не узнаете, в чем дело.
Продукт и продуктовая линейка – это фундамент и опора для вашего дела. Дом может стоять и на земле, без фундамента. Иногда такие дома стоят долго и надежно. Но чаще всего такая конструкция получается не долговременной, едут крыша и стены.
Продавать можно и без продуктовой линейки, достаточно определиться с тем, чем вы занимаетесь. Знаю тех, у кого это отлично получается. Но гораздо больше знаю тех, кто без такой основы
не чувствует себя устойчиво и уверенно в своем деле;
не может сформулировать четко и увлекательно, что он продает;
сетует, что продажи идут ни шатко, ни валко;
накапливает усталость и разочарование.
Лучше создать фундамент, чем не создать.
Благо, можно это сделать на любом этапе развития своего дела, а не только на старте.
По-моему, так.
КЛЮЧЕВЫЕ ИДЕИ ГЛАВЫ
1. То, чем вы выбираете заниматься, и то, что вы продаете – разные вещи. Занятие не продается и не покупается, оно дает информацию о вашей сфере деятельности. Юридические услуги, дизайн, коучинг, ремонт, выпечка, изготовление сумок, сувениров – это занятие, а не продукт.
2. Людям интересен нужный и понятный результат, упакованный в продукт. Они покупают именно его.
3. Выбирайте занятие, от которого вам нравится уставать. Такая усталость – в удовольствие. Да, конъюнктуру рынка никто не отменял. Но прежде, чем заходить в перспективную, на ваш взгляд, нишу, проверьте, как вы себя чувствуете в процессе многочасового ежедневного занятия выбранным делом. Вам с ним несколько лет жить.
Выбирая себе занятие, сразу смотрите, насколько рынок приучен к нему – вам в будущем предстоит продвигать только свою продукцию или идею вашего продукта тоже? Приучать ваших покупателей к мысли, что им в принципе нужны такие товары и услуги.
5удьте готовы к тому, что во втором варианте на продвижение будет уходить значительно больше времени и сил. И к тому, что на достижение желаемого дохода может понадобиться более длительный период, чем если бы вы занимались привычным вашим будущим покупателям делом.
Это не рекомендация заниматься чем-то уже проверенным. Но важно сразу учитывать свое время и силы на продвижение, если одновременно продвигаете и идею, и продукт.
4. Проверьте математику: сможете ли в принципе изготовить столько продукции, чтобы обеспечить себе желаемый доход. Учтите, что фактически «работой» вы будете заниматься примерно половину рабочего времени. Остальное время будет отдано продвижению, административным моментам, обучению и развитию, а также переключению между разными занятиями.
5. Линейка продуктов – это простая логичная система, которая помогает вам понимать, что и кому вы можете предложить, а вашим покупателям – оказаться в понятном, и потому безопасном месте выбора нужного товара или услуги. Чем больше ясности вы создаете вашим клиентам в современном мире, переполненном информацией и постоянной необходимостью делать выбор, тем выше шанс, что купят именно у вас.
6. Оптимальная и достаточная продуктовая линейка для тех, кто работает на себя: пробный продукт – базовый продукт (продукты) – VIP продукт – сопровождение.
7. Даже если сейчас вам кажется, что это сложно – возьмите лист бумаги и попробуйте сделать. Пусть в голове останется эта идея. Голова –штука толковая, она будет постепенно генерировать варианты, как можно сделать проще и лучше.
8. Создайте свою продуктовую линейку. А если она у вас уже есть, стоит периодически проверять ее актуальность. Логика оптимальной продуктовой линейки должна быть понятна и вам, и вашим покупателям.
Для покупателя важно:
Есть из чего выбрать, в зависимости от текущей потребности.
Интуитивно понятно, почему у вас собраны именно такие продукты.
Для вас самих важно:
Время. Сколько разных продуктов вы можете производить качественно? Помним, что на переключение между разными продуктами уходит время.
Деньги. Какие из ваших продуктов самые рентабельные? То есть, приносят больше всего времени на единицу затраченного на них времени?
9. Ваша продуктовая линейка может быть построена либо в глубину, либо в ширину. В глубину – линия продуктов усложняется, становится более дорогой. Клиент получает больше. Он примерно знает, чего хочет на данном этапе и ему проще выбрать степень сотрудничества с вами сейчас. В ширину – продукты связаны общей идеей, но не связаны друг с другом. Клиент просто выбирает нужное из нескольких возможностей. Позже он может покупать тот же продукт раз за разом или пробовать другие.
10. Подумайте о VIP-продукте.
Он может выгодно оттенять стоимость ваших базовых продуктов.
Он может привлекать тех, кто готов платить больше за качество, количество, сервис, впечатление.
VIP-продукт должен действительно стоить своих денег.
11. Договаривайтесь с клиентами о сопровождении.
Можно действительно сопровождать: на этапе продажи обсуждать, например, техобслуживание через определенное время. Будет здорово, если это время вы согласуете с клиентом сразу, договоритесь на берегу.
Можно сказать, что хотели бы написать ему через день/месяц/год, чтобы узнать, понравился ли ему ваш товар/услуга, всем ли он остался доволен.
Такие простые действия решают важные задачи:
Вы даете человеку внимание – вам не все равно после того, как вы получили деньги. Искреннее внимание –это аргумент вернуться к вам или рекомендовать вас.
Вы подтверждаете качество своего продукта, раз готовы и хотите услышать обратную связь после того, как сделка завершилась.
Вы напоминаете клиенту о себе.
Вы собираете отзывы о своей работе.
Вы действительно удовлетворяете свой интерес – ну ведь интересно же, как там?
Вы повышаете свою уверенность и самооценку, когда получаете в ответ благодарность. В трудные минуты очень пригождается такая опора.
А теперь те задания, которые из моего опыта работы с людьми, было бы здорово выполнить тем, кто хочет создать крепкий фундамент для развития своего дела.
Задание 1.
Сформулируйте, чем вы занимаетесь, и что вы продаете.
То, что продаете, пишите в двух разных формулировках:
– на уровне больших смыслов
– на уровне конкретики.
Только, чур, не пытайтесь сделать это идеально. Идеал – это враг движения вперед.
Как понимаете сейчас, так и пишите.
Например:
Я – коуч, провожу с клиентами коучинговые сессии. Еще я тренер, веду программы по развитию своего дела.
Я помогаю людям разобраться в системе развития своего дела (а порою и в жизни) и найти в себе то, что позволяет жить и работать более уверенно, эффективно и радостно. Мне нравится, когда есть много людей, которым по душе их занятие и их жизнь. Мне нравится жить и действовать так, чтобы таких людей стало больше.
Это то, чем я занимаюсь. Длинно получилось, увлеклась. Вы можете короче написать. А можете войти во вкус и написать больше. Пригодится.
На уровне ценности и смысла для клиента моим продуктом является повышение качества жизни клиента вследствие того, что он решает важную для себя на данном этапе задачу. Открывает за время сотрудничества новые, более эффективные, радостные и понятные ему самому стратегии собственных действий в различных ситуациях.
На уровне конкретики со мной можно работать в разных форматах:
Контракт из 5 сессий, продолжительность полтора месяца.Обобщенный результат: создание ясности цели, плана действий.
Контракт из 10 сессий, продолжительность 4-5 месяцев.
Обобщенный результат: ясность, план действий, устойчивые результаты реализации плана. Более стабильное состояние уверенности в направлении движения и развития.
Аудит вашего дела за 2 часа. Обобщенный результат: экспертный анализ составляющих вашего дела. Конкретные рекомендации по необходимым знаниям, предпринимательским навыкам, управлению своим состоянием. И план действий, куда же без него.
Это была не шпаргалка и не образец. Просто пример. С первого раза может не получиться стройно и гладко – но это нормально. Получится с пятого раза. Или с десятого. Но для этого обязательно нужно, чтобы был первый раз!
Задание 2. Распишите свою линейку продуктов.
Делайте не идеальную, а как видите сейчас. Да, я это уже писала. И еще напишу.
Буквы и цифры в электронном файле можно будет поменять столько раз, сколько вам понадобится. Нет смысла ждать, когда в голову придет «идеальная» продуктовая линейка. Чтобы думать над улучшением, нужно чтобы было, что улучшать.

Следите за тем, сколько пользы у вас в пробных продуктах и сколько они стоят. От желания привлечь клиента порою столько пользы выдают бесплатно или за небольшие деньги, что человеку уже больше и не надо. Оно все получил недорого или вообще бесплатно. Хороший пробный продукт – это аперитив: вкусно, возбуждает аппетит и готовит рецепторы к еде.
В основной продукт и, тем более, в VIP пользу отмеряйте щедро! Чтобы у клиента долго оставалось восхитительное послевкусие, хотелось вернуться к вам и друзей направить.
Задание 3. Заполните таблицу «Время-деньги».

Сможете решить сразу три важных задачи:
1. Поймете, реально ли тем, что вы делаете, заработать столько, сколько хотите? Найдете ли вы столько клиентов, готовы ли работать столько времени?
2. Получите отличный материал для анализа. Определите, устраивает ли вас прибыль за час работы? Та ли стоимость ваших продуктов при таких затратах времени.
3. Увидите, какие из ваших продуктов самые рентабельные – дают больше прибыли за час работы. Продукты все равно нужны разные, а рентабельность лучше знать, чтобы перекосов в продвижении сильных не было.
Как заполнять таблицу?
На самом деле это просто, но могут сказаться моменты, про которые вы раньше не думали и не обращали на них внимание. Я собрала примеры из разных областей, у вас же в ней будет все разнообразие ваших товаров и услуг. Цифры при делении округляла.
Стоимость. То, что платит клиент за этот товар или услугу.
Расходы. Не всегда известны точно. Это зависит от вида вашей деятельности. Парикмахеру сложно посчитать расходы на каждую стрижку, они считают расходы по месяцу: сколько закупили всего. Если у вас тоже сложно высчитать, хотя бы примерно прикиньте. Идеальной точности не будет, но вектор все равно получится правильный. Риелтор, дизайнер и множество других специалистов легко посчитают расходы на каждый заказ.
Время на исполнение. Ставьте общее время. Плюсуйте к чистому времени работы время на переговоры, переписку, подготовку себя и рабочих материалов, уточнения, дорогу и так далее. Чтобы было по-честному.
Прибыль за продукт. «Стоимость» минус «Расходы» – то, что вы действительно заработали.
Прибыль за час. «Прибыль за продукт» делим на «Время на исполнение». Полученная цифра может показаться слишком маленькой или слишком большой, не впадайте, пожалуйста, в эмоции. Это материал для анализа и решений. Эмоции в анализе – так себе помощник.
Хочу прибыли в месяц. Та сумма, которую вы хотите зарабатывать, забирать и тратить. Не вычитать из нее рабочие расходы, не платить из нее налоги, а именно забирать и тратить на жизнь, а еще и откладывать.
Сколько на это работать. «Хочу прибыли в месяц» делим на «Прибыль за час». Столько часов в месяц вам предстоит заниматься изготовлением продукта. Умножьте это время на два – получите честный результат. Со всеми другими рабочими делами, кроме, собственно, работы: юридическими вопросами, продвижением, ведением финансов, обучением и переключением между этими направлениями. Совпадает расчетное рабочее время с вашими представлениями?
Сколько продуктов сделать и продать. «Хочу прибыли в месяц» делим на «Прибыль за продукт». Полученная цифра означает, сколько этого вида товара или услуги вам предстоит продать за месяц.
На каждой строке – один ваш продукт. Соответственно, ваша прибыль и ваше рабочее время в месяц – это сумма всех ваших продуктов.
Задание 4. Начните вводить в свою работу «сопровождение».
Договоритесь с текущими клиентами о том, что вы хотите им написать через некоторое время, узнать впечатления. Сразу ставьте договоренности в календарь. Нехорошо будет, если пообещаете и забудете.
Напишите нескольким людям, которые с вами уже работали. Расскажите, что вам очень интересно узнать их мнение и впечатление. Только не продавайте ничего, пожалуйста. Просто спросите. И не озвучивайте один текст всем подряд – люди разные, им нужны разные слова, чтобы ваше сообщение вызвало у них тепло и доверие, а не ощущение бездушного скрипта.
***
Волнительно предлагать вам эти задания, когда я не могу узнать, как они у вас получаются. Из опыта знаю, что кому-то замечательно: многое стало яснее, появилась опора под ногами.
Может быть и другое послевкусие, что-то типа «все плохо, у меня ничего не получается, не получится, вон у других не то, что у меня» – но это только мысли, фокусы вашего мышления. Про него, мышление – следующая глава.
ГЛАВА 2. МЫШЛЕНИЕ: БИЗНЕС ВАМ НЕ НАЙМ
Определившись со своим занятием (до продукта, как правило, дело не доходит) и, выбрав юридическую форму ведения своего дела, 60% людей пробуют зарабатывать. Как умеют, пробираясь сквозь сомнения и неумения.

