
Дезинфекция, дезинсекция и дератизация на птицефабриках промышленного типа
Отрицательные свойства: микрокапсулы быстро оседают в суспензиях (при работе необходимо часто встряхивать распыливающее устройство), небольшой срок хранения, оставляют слабо видимые следы, не выдерживают замораживания и высоких температур.
Гранулированные инсектициды. Гранулированные инсектициды получают путем пропитки жидкими инсектицидами гранул бентонита, каолина, перлита и других наполнителей. Величина гранул может колебаться от 0,2 до 1мм. Они могут содержать до 20 – 50% инсектицида. Преимуществом гранул является их хорошая оседаемость на поверхности земли при распылении. Удобны при обработках водоемов и в виде приманки для мух.
Эмульсии. Представляют собой системы из двух несмешивающихся жидкостей, стабилизированных прибавлением эмульгаторов и других вспомогательных веществ таким образом, что одна жидкость в виде мелких капель равномерно распределяется в другой. Выпускаются они в виде концентратов эмульсий, которые представляют собой коллоидные растворы действующих веществ в органических растворителях и содержат эмульгаторы.
Положительные свойства: высокий острый эффект, отсутствие маркости.
Отрицательные свойства: сравнительно сильный запах, впитываемость в некоторые обрабатываемые поверхности (штукатурка, глина, фанера и т.д.), возможная реакция с масляными и эмульсионными красками на обрабатываемых поверхностях (растворитель и эмульгатор), легкое проникновение через кожу дезинфектора (высокая токсичность для операторов), небольшой срок хранения, отсутствие морозостойкости и стойкости к высоким температурам, недостаточная продолжительность остаточного действия.
При смешивании эмульсий с водой образуется смесь белого или кремового цвета.
Аэрозоли. Представляют собой твѐрдые или жидкие частицы инсектицидов, находящиеся в воздухе во взвешенном состоянии. Аэрозоль, состоящий из капель жидкости, называется туманом, из твѐрдых частиц – дымом. Аэрозоли создаются с помощью дымовых шашек и аэрозольных генераторов.
Положительные свойства: быстрое и эффективное действие, лѐгкость применения.
Отрицательные свойства: отсутствие остаточного действия.
Классы (группы) инсектицидов по химическому составу
По своей химической структуре инсектициды относятся к различным классам соединений: хлорорганическим, фосфорорганическим, карбаматам, пиретроидам, фенилпиразолам, неоникотиноидам, пирролам и другим.
1.Хлорорганические соединения (ХОС).
Инсектициды класса хлорорганических соединений в настоящее время в России не применяются. Ранее широко использовались такие известные инсектициды, как ДДТ (дихлордифенилтрихлорэтан), Гексахлоран (гексахлорциклогексан, ГХЦГ), Диелдрин, Дилор и другие. Эти инсектициды обладают длительным остаточным действием (более 6 месяцев) и стойкостью к воздействию внешней среды. Имеют ярко выраженную способность накапливаться в тканях растений, животных и человека (кумулирующее действие). Инсектицид ДДТ является высоко токсичным для человека и животных.
Механизм действия инсектицидов этого класса заключается в подавлении активности ферментов оксидаз, подавлении активности гамма-аминомасляной кислоты, как медиатора нервных сигналов в синапсах, а также в нарушении работы так называемого «содового канала» передачи нервных импульсов в синапсах (через ионы К+ и Na+).
По причине длительного остаточного и высоко эффективного действия хлорорганических инсектицидов на членистоногих, внедрение в практику открытых вслед за ДДТ фосфорорганических инсектицидных соединений, а также карбаматов и пиретроидов было отложено на много лет.
Недостатки: хлорорганические пестициды стойки к воздействию высокой температуры, практически нерастворимы в воде, что делает невозможным полное освобождение пищевых продуктов от их остатков.
2.Фосфорорганические соединения (ФОС).
Инсектициды класса фосфорорганических соединений стали входить в практику дезинсекции в 50 – х годах прошлого века после того, как у многих вредных членистоногих появилась устойчивость к хлорорганическим инсектицидам, и возникла необходимость замены их на соединения из других классов, к которым насекомые и клещи оставались чувствительными. «Расцвет» применения фосфорорганических инсектицидов пришѐлся на 60 – 70 – е и первую половину 80 – х годов.
Фосфорорганические соединения представляют собой сложные эфиры ряда кислот (фосфорной, тиофосфорной, дитиофосфорной, фосфоновой и других). К ним относится Бай Mайт действующим веществом которого является фоксим (диэтил – α – цианобензил – диенамино – тиофосфат (Bayer), Хлорофос, Флай Клин (действующим веществом является Азаметифос, Винилфосфат (0,0 – диметил – 0, 1, 2, 4, 5 трихлорвинил (2 хлорвинил) фосфат). Препараты обладают разной степенью активности и токсичности. Например токсичность для кур винилфосфата или LD50 = 767 мг/кг, а хлорофоса 141 мг/кг, но инсектицидная активность винилфосфата против куриных клещей значительно ниже чем у хлорофоса, хотя овоцидная активность (уничтожение яиц клещей) винилфосфата превышает таковую у хлорофоса.
В основе механизма действия большинства фосфорорганических инсектицидов лежит угнетение активности ряда ферментов, относящихся к эстеразам, в частности, ацетилхолинэстеразы, регулирующей количество ацетилхолина (уксуснокислого эфира холина), образующегося в синапсах.
В норме ацетилхолин выполняет функцию передачи сигналов нервной системы через синапсы, в которых он образуется, при большом его количестве – блокирует их передачу, что приводит к параличу организма и смерти. При появлении избытка ацетилхолина начинает действовать ацетилхолинэстераза, которая разлагает его избыточное количество на составные части, выводимые из организма членистоногого через выделительную систему. Таким образом поддерживается требуемое равновесие. Подавляя активность ацетилхолинэстеразы, фосфорорганические инсектициды способствуют накоплению в синапсах ацетилхолина, что приводит организм к параличу и смерти.
Преимуществами фосфорорганических инсектицидов являются острое инсектицидное действие и малая стойкость в объектах внешней среды: они довольно быстро разлагаются на нетоксичные компоненты в воде, почве, на растительности, и накопления инсектицидов не происходит. Частично или полностью разрушаются при воздействии высоких температур. При случайном загрязнении мяса большими количествами фосфорорганических пестицидов (превышающих ДОК в 3 – 4 раза) оно не может быть реализовано через торговую сеть. Можно использовать его для изготовления вареных колбас, технология производства которых требует высокой температуры.
Недостатками многих фосфорорганических инсектицидов являются их высокая токсичность для млекопитающих, что влечѐт за собой необходимость соблюдения строгих мер предосторожности при их использовании, короткий срок остаточного действия и способность быстро проникать через неповреждѐнную кожу теплокровных животных и человека.
Наиболее применяемыми фосфорорганическими действующими веществами в птицеводстве является: Хлорофос.
3.Карбаматы.
Инсектициды класса карбаматов разработаны в 50 – х годах прошлого века и вошли в практику дезинсекции в то же время, что и фосфорорганические. Представляют собой производные карбаминовой, тио- и дитиокарбаминовых кислот. По своему действию карбаматы очень близки к фосфорорганическим соединениям, т.е. также ингибируют активность ацетилхолинэстеразы, но, в отличие от фосфорорганических инсектицидов, ингибируют ещѐ активность глутатион – S – трансферазы.
К ним относятся: Флай Байт (Байер, Нидерланды), Дикрезид, Байгон, Мекарбенил, Севин. Метомил, входящий в состав некоторых препаратов (из группы карбаматов) относится к I классу опасности высокопасных соединений, ЛД50 при введении в желудок 17 – 24 мг/кг.
По классификации рисков Европейской Комиссии относится к группе с очень высокой токсичностью, представляющей опасность для окружающей среды: R50, R53.
Недостатками являются относительно высокая токсичность, а также эмбриотропность, мутагенность и кумулятивность. Из пестицидов этого химического класса наибольшую опасность представляют севин, цирам, ТМТД (тетраметилтиурамдисульфид). Они отличаются значительной стойкостью к высокой температуре, обладают цитогенетической активностью, гонадотоксическими свойствами, выраженным кумулятивным действием.
4.Пиретрины и пиретроиды.
Пиретрины являются одними из старейших инсектицидов растительного происхождения. Представителем класса пиретринов является пиретрум, который отличается быстротой действия на насекомых и безвредностью для человека. Получают его из многолетних видов горных ромашек.
Действующим началом пиретрума являются 6 близких по химическому строению веществ: пиретрин – 1, пиретрин – 2, циперин – 1, циперин – 2, жасмолин – 1 и жасмолин – 2, объединенных под общим названием – пиретрины. Это сильнодействующие контактные яды для насекомых. В настоящее время они используются как добавки к пиретроидам для усиления их действия.
В отличие от пиретринов пиретроиды – это сложные эфиры хризантемовой, перметриновой, циклопропанкарбоновой, изовалериановой и других кислот.
Синтез первого пиретроида был осуществлен в 1949 г Шехтером, Грином и Ла Форжем и получил название аллетрин. В настоящее время пиретроиды доминируют на рынке производимых в мире инсектицидов.
Различают пиретроиды первого поколения (аллетрин, неопинамин (тетраметрин), ресметрин и др.) и второго поколения (перметрин (его отечественный аналог анометрин – Н), циперметрин (отечественный аналог – анометрин – Ц), дельтаметрин, цигалотрин и др.). Исследования Фролова Б.А. показали, что препараты на основе перметрина токсичнее для кур, чем анометрин – Н (в сопоставимых концентрациях по ДВ). По эффективности анометрин – Ц и циперметрин одинаковы, но они значительно токсичнее анометрина – Н и технического хлорофоса.
Инсектициды первого поколения пиретроидов имеют недостатки – слабую фотостабильность (чувствительны к солнечному свету) и краткосрочность остаточного действия на обработанных поверхностях, не превышающую 5 -1 0 суток. Однако, острая инсектицидная активность пиретроидов этого поколения в 5 – 20 раз выше, чем у пиретринов.
Инсектициды второго поколения пиретроидов имеют длительное остаточное действие. Инсектицидная активность пиретроидов второго поколения превосходит фосфорорганические соединения и карбаматы в десятки – сотни раз.
По механизму действия на членистоногих пиретроиды относятся к нейротропным ядам, причем действие их более выражено при пониженных температурах. Подавление Nа+ и К+ проницаемости в синапсах при контакте с пиретроидами – одна из причин, которая приводит к последующей блокаде передачи нервных сигналов, параличу организма и его смерти. Другой причиной смерти является подавление активности ферментов – монооксигеназ. К ним относят Дюрасид С, Дракер 10.2.
Преимущества пиретроидов: эффективное инсектицидное действие на многие виды насекомых в сравнительно малых дозах. Быстрое и глубокое парализующее действие даже в сублетальных дозах. Высокая избирательность действия (высоко токсичны для насекомых и мало токсичны для животных и человека). Длительное остаточное действие на обработанных поверхностях.
Степень токсичности у представителей группы неодинакова. Имеются как малотоксичные соединения (неопинамин, перметрин и др.), так и высокотоксичные (дельтаметрин, цигалотрин и др.). Некоторые обладают раздражающими свойствами (дельтаметрин, фенвалерат, перметрин). В целом, более токсичны соединения, содержащие циан группу.
Наиболее применяемыми пиретроидами (по действующим веществам) и препаратами на их основе являются: Перметрин, Циперметрин.
Недостатком пиретроидов второго поколения является то, что у членистоногих выработалась способность обнаруживать инсектицид при контакте и покидать место его применения до получения летальной дозы, так называемая раздражимость. Раздражимость, также как и резистентность, наследуется, т.е. контролируется соответствующими генами и развивается через отбор раздражимых особей. Например, широко известный перметрин вызывает сильную раздражимость у многих насекомых, даже если применяется впервые.
5.Неоникотиноиды.
В 90 – е годы ХХ века в Японии был синтезирован хлоринированный дериватив никотина, но права на это действующее вещество были куплены фирмой «Байер», которая доработала соединение и выпустила на рынок под названием Имидаклоприд.
Механизм действия неоникотиноидов заключается в ингибировании никотин-ацетилхолиновых рецепторов насекомых, что выражается в блокировании ацетилхолиновых синапсов нервной системы.
6.Фенилпиразолы.
В России зарегистрировано единственное действующее вещество из этого класса – Фипронил. Механизм действия: фипронил блокирует передачу нервных сигналов в синапсах, осуществляемую гамма-аминомасляной кислотой, что приводит к параличу и смерти насекомых.
В сельском хозяйстве для борьбы с вредителями разрешены следующие инсектициды: Адонис 4% КЭ, Космос 25% КС, Регент 2.5% КЭ, Регент 80% ВРГ.
7.Сульфонамиды и гидразоны (аминогидразоны).
Механизм действия этих двух классов веществ заключается в подавлении работы митохондрий в клетках эпителия кишечника и нарушении процесса синтеза АТФ, т.е. эти вещества практически подавляют процесс выработки членистоногими энергии (синтез АТФ – главный источник энергии большинства биологических процессов). Сульфонамиды кроме этого подавляют синтез РНК. Оба класса веществ относятся к «чисто» кишечным инсектицидам, т.е. эти вещества действуют только при попадании в кишечник насекомых и не будут «работать» при нанесении их на различные поверхности.
Используются в различных отравленных приманках для уничтожения тараканов и муравьѐв. Оба класса веществ действуют медленно, и особенно подходят для борьбы с муравьями, так как муравьи – фуражиры успевают принести отравленную приманку в своѐ гнездо и накормить ей личинок, своих собратьев и, главное, матку (а также запасных маток), что приводит к быстрой гибели всех муравьѐв.
При использовании против муравьѐв отравленных приманок с инсектицидами контактного или контактно – кишечного действия муравьи – фуражиры, как правило, не успевают донести еѐ до гнезда из-за быстрого действия указанных инсектицидов.
8.Соли кислот.
Из этой группы веществ в дезинсекции для борьбы с тараканами и муравьями широко используется в отравленных приманках Бура (тетраборат натрия) – натриевая соль борной кислоты. Относится к «чисто» кишечным инсектицидам.
9.Пирролы.
Американская фирма Cyanamid разработала новый класс инсектицидов, названный пирролами (pyrroles). Помимо действия на насекомых, они эффективны и против клещей. Механизм действия пирролов – подавление выработки энергии в клеточных митохондриях членистоногих.
Пирролы безопасны для человека и млекопитающих, потому что в их организме проинсектицид не может конвертироваться в активные молекулы и, кроме того, быстро экскретируется в мочу. Зарегистрирован только один инсектицид – Хлорфенапир.
Резистентность (устойчивость) членистоногих к инсектицидам
Устойчивость или резистентность членистоногих к инсектицидам это их способность к нейтрализации действия ядов (обезвреживание).
Явление это врождѐнное, контролируемое одним или несколькими генами, и возникает под давлением отбора при использовании инсектицида.
Обычно в популяциях членистоногих имеются лишь единичные экземпляры с генами (геном) устойчивости к определенному инсектициду. Эти особи не погибают во время дезинсекции, как большинство их собратьев, и дают потомство, сохраняющее и закрепляющее признаки родителей.
С каждым туром обработок этим же инсектицидом на том же объекте таких особей будет становиться всѐ больше и больше. И наступает такой момент, когда применение инсектицида не дает желаемого эффекта.
Таким образом, чем больше происходит за год генераций насекомых, подвергающихся воздействию инсектицида, тем быстрее может развиваться у них устойчивость к инсектициду. Скорость развития резистентности также зависит от того, каким количеством генов она контролируется.
У членистоногих, имеющих один ген резистентности к определѐнному инсектициду (например, к фосфорорганическим инсектицидам), устойчивость развивается гораздо быстрее, чем у тех, которые имеют несколько таких генов (к ДДТ, многим пиретроидам).
При подозрении, на устойчивость насекомых (членистоногих) к инсектициду, прежде всего необходимо убедиться, что падение эффективности инсектицида произошло именно по этой причине. Зачастую эффективность проведения дезинсекции зависит от качества препарата и соблюдения технологии обработки. В таком случае целесообразно проверить:
а) сроки годности инсектицида (возможно вышел срок годности);
б) соблюдение условий его хранения;
в) правильность приготовления рабочей смеси;
г) качество обработки (равномерность нанесения препарата, полноту покрытия поверхностей, особенно если работают новые или малоопытные дезинфекторы). Если все эти условия соблюдены и, тем не менее, препарат не работает, только тогда можно говорить о появлении устойчивости.
В опытах по определению степени резистентности применяют такие количества яда и в течение столь длительного периода времени, чтобы наверняка убить всех чувствительных особей. Такая доза (концентрация), убивающая всех чувствительных особей при определѐнной (различной для разных инсектицидов) экспозиции (времени опыта), называется дискриминирующей или диагностической.
Резистентной считается популяция, у которой в опыте 50% и более особей не погибает под воздействием дискриминирующей дозы. В большинстве случаев такая ситуация требует немедленной замены инсектицида.
Существуют монорезистентность, когда членистоногое устойчиво к одному инсектициду и чувствительно к другим, мультирезистентность, когда членистоногое устойчиво к нескольким инсектицидам из разных химических классов веществ, имеющих одинаковый механизм действия, и перекрѐстная резистентность, когда в результате применения одного инсектицида возникает резистентность к другому, часто принадлежащего к иному классу инсектицидов.
Например, резистентные к ДДТ популяции насекомых часто являются также резистентными к некоторым пиретроидам. Или высоко резистентные к хлорофосу комнатные мухи оказываются устойчивыми к аналогу ювенильного гормона – метопрену, который вообще не применялся ранее в борьбе с мухами. Что делать, когда у насекомых появилась устойчивость к применяемому инсектициду?
В этом случае необходимо сменить применяемый инсектицид на другой и с иным механизмом действия, при этом придерживаясь следующей схемы замены инсектицидов:
–фосфорорганический инсектицид можно заменить инсектицидом из этого же класса только в том случае, если эти инсектициды сильно различаются по своей химической формуле. Его можно также заменить инсектицидом из карбаматов или ингибиторов развития насекомых. Но лучше всего сделать замену пиретроидом.
–инсектицид из класса карбаматов можно заменить инсектицидом из ингибиторов развития насекомых, но лучше пиретроидом.
–пиретроид можно заменить инсектицидами из всех представленных классов инсектицидов, но лучше всего фосфорорганическим инсектицидом, так как резистентность к пиретроиду при этом будет исчезать быстрее, чем при замене любым другим инсектицидом. Ротацию инсектицидов необходимо проводить ежегодно.
Как показала практика, лучше работать смесью двух инсектицидов из разных классов, например, фосфорорганичекого инсектицида и пиретроида. Даже при возникновении резистентности к одному из компонентов этой пары, во-первых, смесь будет высоко эффективна и, во-вторых, наличие в смеси другого компонента ведѐт к быстрому исчезновению уже возникшей резистентности к первому.
Замена фосфорорганических инсектицидов и пиретроидов карбаматами (пропоксур, бендиокарб) не ведѐт к исчезновению возникшей устойчивости к препаратам этих двух групп. То же наблюдается и при обратной последовательности в ротации (последовательной замене) инсектицидов: резистентность к карбаматам не исчезает при замене их на пиретроиды.
Раздражимость членистоногих к инсектицидам
Раздражимость это способность членистоногого обнаруживать инсектицид при контакте и покидать место его применения до получения летальной дозы.
Раздражимость, также как и резистентность, наследуется, т.е. контролируется соответствующими генами и развивается через отбор раздражимых особей. Например широко известный перметрин вызывает сильную раздражимость у многих насекомых, даже если применяется впервые.
Как правило, высоко резистентные популяции членистоногих почти не раздражимы и наоборот. К сожалению, механизм раздражимости членистоногих к инсектицидам мало изучен. Что же делать в случае появления раздражимости у насекомых? Как и в случае с появлением резистентности нужно провести замену инсектицида. Но во многих случаях нельзя заменять используемый инсектицид другим из того же класса химических соединений.
Нельзя также проводить замену инсектицида на многокомпонентную смесь, если в еѐ состав входит заменяемый инсектицид. Лучше всего проводить замену инсектицидом другого класса веществ.
Раздражимость часто бывает более значимой, чем устойчивость: резистентности к инсектициду нет, а он не работает, так как насекомые избегают контакта с ним (сидят на развешенной одежде, в необработанных местах), но если инсектицид обладает сильным репеллентным (фумигантным) действием, то раздражимые насекомые покидают помещения (перебираются в необработанные).
Расчет эффективности дезинсекции и концентрации рабочего раствора
1. Расчет эффективности дезинсекции ведут по формуле:
Эффективность (%) =

N1 – численность членистоногих до обработки или на контрольном участке;
N2 – то же после обработки или на опытном участке.
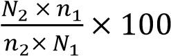
Для более объективной оценки эффективности дезинсекции применяют модифицированную формулу, учитывающую естественную гибель членистоногих за период времени ожидания эффекта (между последовательными учетами обилия до и после обработки):
Эффективность (%) = 100 -

N1 – среднее число членистоногих на опытных площадках до обработки;
N2 – то же после обработки;
n1 – среднее число членистоногих на контрольных участках до обработки n2 – то же после обработки на опытных участках.
2. Расчет концентрации рабочего раствора дезинфектантов для влажной дезинсекции. Рабочие растворы готовят путем разведения препаратов в воде до соответствующих концентраций. Расчет требуемого количества исходного препаратаведут по формуле: V

V1 – количество исходного препарата (л);
Кр – эффективная концентрация ДВ в рабочей жидкости (%); Кп – концентрация ДВ в исходном препарате (%); V2 – необходимый объем рабочей жидкости (л).
К вычисленному таким образом количеству препаратив-
ной формы добавляют воду до необходимого объема рабочей жидкости.
Оценка эффективности истребительных мероприятий
Проверку эффективности дезинсекционных работ осуществляют, используя не менее двух следующих методов контроля: визуальный: осмотр мест возможного нахождения насекомых, с применением средств, активизирующих их выход из укрытий (провокантов, получаемых из инсектицидных аэрозольных баллонов, предназначенных для уничтожения нелетающих насекомых, просто постукиванием по поверхности объекта);
Объективный: обнаружение погибших и парализованных насекомых, отлов на липкие листы. При оценке эффективности используют липкие листы (20 х 30 см), которые раскладывают на полу под клетками из расчета 2 листа на 10 кв.м. площади помещения или в местах, подходящих для размножения, из расчѐта 2 листа на 40 – 50 кв.м.

