
Методические указания для курсового и дипломного проектирования главных понижающих подстанций промышленных предприятий

Арвид Упит, Любовь Татьянченко
Методические указания для курсового и дипломного проектирования главных понижающих подстанций промышленных предприятий для студентов всех форм обучения специальности 13.03.02 – «Электроэнергетика и электротехника»
ФЕДЕРАЛЬНОЕ ГОСУДАРСТВЕННОЕ БЮДЖЕТНОЕ ОБРАЗОВАТЕЛЬНОЕ
УЧРЕЖДЕНИЕ ВЫСШЕГО ОБРАЗОВАНИЯ «АЛТАЙСКИЙ ГОСУДАРСТВЕННЫЙ ТЕХНИЧЕСКИЙ УНИВЕРСИТЕТ ИМ. И. И. ПОЛЗУНОВА»
ООО «МЕЖРЕГИОНАЛЬНЫЙ ЦЕНТР ЭЛЕКТРОННЫХ ОБРАЗОВАТЕЛЬНЫХ РЕСУРСОВ»

Рассмотрены и одобрены на заседании кафедры «Электроснабжение промышленных предприятий».
Протокол № 2 от 12.12.2018 г.
© ООО «МЦ ЭОР», 2019
Введение
Развитие и усложнение структуры систем электроснабженияВозрастающие требования к экономичности и надежности их работы в сочетании с изменяющейся структурой и характером потребителей электроэнергии, широкое внедрение устройств управления распределением и потреблением электроэнергии на базе современной вычислительной техники ставят проблему подготовки высококвалифицированных инженеров.
Важнейшим этапом в развитии творческой деятельности будущих специалистов является дипломное проектирование, в ходе которого развиваются навыки самостоятельного решения инженерных задач и практического применения теоретических знаний.
При написании пособия была поставлена задача систематизировать и доступно изложить основные вопросы проектирования, опираясь на существующие нормативные материалы, ГОСТа и исследования в области электроснабжения промышленных предприятий.
При проектировании электроснабжения объекта необходимо выполнить следующие работы: спроектировать ГПП, выбрать оборудование на стороне высокого (35, 110, 220 кВ) и низкого (6/10 кВ) напряжения и проверить на термическую и динамическую устойчивость в различных режимах работы, выбрать типы кабелей, питающих потребители (6/10 кВ) с шин ГПП, выбрать типы и места установки ограничителей перенапряжения, рассчитать заземляющее устройство и молниезащиту. Рассчитать и выбрать мощность и тип компенсирующих устройств, доведя COS φ на шинах 6 кВ до 0.92. Выбрать приборы учета и измерения, определить места их установки. Рассчитать мощность потребителей собственных нужд, выбрать тип источников оперативного тока и трансформаторов собственных нужд.
Для выполнения дипломного проектирования по электроснабжению промышленного предприятия либо другого объекта необходимы следующие данные:
• мощность источника внешнего электроснабжения;
• протяженность линий высокого напряжения;
• процентное соотношение категорий потребителей;
• коэффициент мощности COS φ либо tgна шинах 6, 10 кВ;
• установленная мощность потребителей;
• генеральный план завода;
• принципиальная однолинейная схема электроснабжения;
• схема участка сети.
I. Методические указания для курсового и дипломного проектирования главной понижающей подстанции (ГПП)
1. Выбор числа и мощности силовых трансформаторов
Основными критериями выбора оптимальной мощности трансформаторов являются: экономические соображения, обеспечивающие минимум приведенных затрат и условия нагрева, зависящие от графика нагрузки, температуры окружающей среды, коэффициента начальной загрузки и длительности максимума.
1.1 По экономическим соображениям

Рисунок 1.1
Зависимость приведенных затрат З от мощности двухобмоточных трансформаторов 110 кВ при ч/год для района I
1.1.1 Для выбора оптимально-экономической мощности трансформаторов, аналогично тому, как это производится для линий, используется метод экономических интервалов. Однако исследования усложняются из-за наличия в трансформаторах двух видов потерь: холостого хода и короткого замыкания, зависящих от разных факторов. Между тем построение зависимостей З=f(S) для трансформаторов (рисунок 1.1) и аналогичных зависимостей З=(l) для линий (рисунок 1.2) дает ломаную кривую минимальных приведенных затрат. На рисунке 1.1 фактическая максимальная мощность, протекающая через трансформатор, обозначается через S, а это же обозначение в кружке показывает номинальную мощность, при которой трансформатор является экономически выгодным для какого-то фактического интервала мощностей, заключенного между точками пересечений парабол.
Однако могут быть трансформаторы, у которых зависимости З=f(S) проходят выше кривой минимума, нигде с ней не пересекаясь. Это показывает, что такие трансформаторы вообще не имеют экономической зоны использования, то есть их применение в данном случае нецелесообразно.

Рисунок 1.2
Зависимость приведенных затрат З от тока в линии I для различных сечений
1.1.2 Граничное значение экономической мощности, при которой целесообразен переход от одной номинальной мощности трансформатора Sном1 к большей Sном2:

где Kтр2 и Kтр1 – стоимость трансформаторов, руб.; Т – время включения трансформатора; cэх и cэк – стоимость 1 кВтч потерь энергии холостого хода и короткого замыкания соответственно.
Обозначив в предыдущем выражении




Все величины под корнем для заданных сравниваемых трансформаторов с Sном1 и Sном21 известны. Значения cэх зависят от величины Т и района страны. Так как в большинстве случаев время включения трансформатора Т постоянно и равно 8760 ч/ год, то есть принимается, что трансформатор включен весь год, то величины зависят только от района страны.
1.1.3 Построенные номограммы экономических интервалов, представляющие собой по выражению прямые cэх = ƒ(ψ), разграничивают экономические области целесообразного применения трансформаторов различных мощностей. Кроме указанных наклонных прямых, горизонтальными прямыми ограничиваются зоны, допустимые по условиям нагрева.
Ориентировочно принято, что допустимая мощность по условиям нагрева Sдоп =(1,1∽1,5)Sном. Зоны таких допустимых перегрузок на номограммах заштрихованы. Если точка с координатами () не попадает в заштрихованную зону, то выбор оптимальной мощности трансформатора определяется экономическими соображениями; если попадает, то условиями нагрева (рисунок Б.1-Б.3).
1.2 По перегрузочной способности
1.2.1 Выбор числа и мощности силовых трансформаторов может быть определен по перегрузочной способности и должен быть технически и экономически обоснованным, т. к. он оказывает существенное влияние на рациональное построении схем промышленного электроснабжения.
Наиболее часто ГПП промышленных предприятий выполняют двухтрансформаторными. Одно – трансформаторные ГПП допустимы только при наличии централизованного резерва трансформаторов и при поэтапном строительстве ГПП. Установка более двух трансформаторов возможна в исключительных случаях: когда требуется выделить резко переменные нагрузки и питать их от отдельного трансформатора; при реконструкции ГПП; если установка третьего трансформатора экономически целесообразна.
Важной характеристикой силовых трансформаторов является их нагрузочная способность, представляющая собой совокупность допустимых нагрузок и перегрузок. Силовые трансформаторы выпускают с номинальной мощностью, которую они могут длительно пропускать при нормальных условиях: номинальном напряжении, номинальной частоте, номинальной температуре окружающей среды. В этом случае превышение температуры масла и обмоток над температурой окружающей среды не выходит за установленные пределы, а срок службы трансформатора соответствует экономически целесообразному. В действительности трансформаторы работают в условиях, отличных от номинальных. Нагрузка их меняется в течение суток и года, не постоянна и температура охлаждающей среды. Это приводит, как правило, к неиспользованию трансформаторов. Опыт эксплуатации показал, что трансформаторы могут быть без ущерба для нормального срока службы загружены в течение части суток (года) сверх номинальной мощности, если в другую часть рассматриваемого периода их нагрузка была меньше номинальной. Загрузка трансформатора сверх номинальной мощности называется перегрузкой.
1.2.2 Величину и длительность допустимых перегрузок, а также термический износ изоляции обмоток при перегрузках определяют для прямоугольных двухступенчатых или многоступенчатых графиков нагрузки, в которые необходимо преобразовать заданные и реальные графики нагрузки.
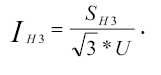
Определение нагрузки SН3:

где: COS φ – коэффициент мощности; η – к.п.д. двигателя.

Определение суммарной мощности нагрузки на шинах ГПП 6кВ:
Sсум. гпп = SН1+SН2+SН3. (1.5)
Определение ориентировочной мощности главного трансформатора на ГПП:

1.2.3 Технико-экономическое обоснование выбора трансформаторов предусматривает решение вопроса о целесообразности установки трансформаторов большой мощности, замене трансформаторов и т. д. Для решения этих вопросов выполняется технико-экономическое сравнение вариантов. Одновременно с выбором номинальной мощности трансформаторов следует предусматривать экономичные режимы их работы, которые характеризуются минимумом потерь мощности в трансформаторах при работе их по заданному графику нагрузки. При этом надо учитывать не только потери активной мощности в самих трансформаторах, но и потери активной мощности, возникающие в системе электроснабжения по всей цепочке питания – от генераторов электростанций до рассматриваемых трансформаторов из-за потребления трансформаторами реактивной мощности. Эти потери называют приведенными в отличие от потерь в самих трансформаторах.
Технико-экономический расчет проводится с учетом следующих факторов:
– категории надежности электроснабжения потребителей;
– компенсации реактивных нагрузок на напряжении до 1 кВ;
– перегрузочной способности трансформаторов в нормальных и аварийных режимах,
– шага стандартных мощностей;
– экономичных режимов работы трансформаторов в зависимости от графика нагрузки.
Конец ознакомительного фрагмента.
Текст предоставлен ООО «ЛитРес».
Прочитайте эту книгу целиком, купив полную легальную версию на ЛитРес.
Безопасно оплатить книгу можно банковской картой Visa, MasterCard, Maestro, со счета мобильного телефона, с платежного терминала, в салоне МТС или Связной, через PayPal, WebMoney, Яндекс.Деньги, QIWI Кошелек, бонусными картами или другим удобным Вам способом.
Приобретайте полный текст книги у нашего партнера:

