
Биохимия для студентов-медиков. Учебно-методический комплект заданий

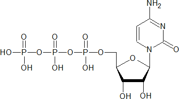
Цитидинтрифосфат (ЦТФ) – нуклеотид, содержащий цитидин и три остатка фосфорной кислоты.

Эстрадиол – производное холестерина, стероидный гормон из группы женских половых гормонов эстрогенов, секретируемый фолликулами яичников.

1.3. Вопросы для самоконтроля по теме раздела
✓ Перечислите функции белков.
✓ Перечислите методы выделения и очистки белков из биообъектов.
✓ Дайте определение понятиям: высаливание, хроматография, электрофорез, кристаллизация.
✓ Перечислите физико-химические свойства аминокислот.
✓ Составьте формулы аминокислот, образующихся в результате постсинтетической химической модификации (оксилизин, селеноцистеин, ɣ-карбоксиглутаминовая кислота, 3,5-дийодтирозин).
✓ Перечислите химические реакции для открытия и определения аминокислот в гидролизатах белков.
✓ Перечислите физико-химические свойства белков.
✓ Дайте определение понятиям: денатурация, иозоэлектрическая точка, изоионная точка, лактамная (кетонная) форма, лактимная (енольная) форма.
✓ Перечислите методы определения первичной структуры белков.
✓ Опишите вторичную структуру белка.
✓ Дать определение понятиям: протомер (мономер, субъединица), олигомер (мультимер), изофермент, комплементарность.
✓ Назовите примеры простых белков
✓ Приведите примеры природных пептидов.
✓ Опишите гемопротеины.
✓ Опишите флавопротеины.
✓ Опишите нуклеопротеины.
✓ Опишите липопротеины.
✓ Перечислите фосфопротеины.
✓ Дать определение понятиям: гликоконьюгаты, гликобиология, гликопатология, гликотерапия.
✓ Опишите интерфероны и иммуноглобулины
✓ Опишите трансферрин и гемосидерин.
✓ Перечислите методы выделения нуклеиновых кислот из биообъектов.
✓ Составьте формулы минорных нуклеотидов пуринового ряда (инозин, ксантин, гипоксантин, 7-метилгуанозин).
✓ Перечислите минорные пиримидиновые основания.
✓ Каковая первичная структура нуклеиновых кислот?
✓ Какова вторичная структура нуклеиновых кислот?
✓ Дайте определение понятию «Фермент» (энзим).
✓ Назовите области применения ферментов.
✓ Дать определение понятиям: холофермент, простетическая группа, апофермент, кофермент, активный центр фермента, аллостерический центр, синзимы.
✓ Приведите примеры изоферментов.
✓ Опишите механизм действия ферментов.
✓ Что такое энергия активации, константа диссоциации фермент-субстратного комплекса, явление насыщения, константа Михаэлиса, уравнение Лайнуивера-Бэрка.
✓ Перечислите основные свойства ферментов.
✓ Что такое относительная и абсолютная специфичность ферментов?
✓ Приведите примеры стереохимической специфичности.
✓ Каковы типы ингибирования ферментов?
✓ Дайте определение понятиям: индуцированный синтез ферментов, конститутивные ферменты, летальный синтез, проферменты (зимогены), ингибирование по принципу обратной связи, ретроингибирование, активация предшественником, компартментализация.
✓ Как рассчитать удельную активность фермента, молекулярную активность фермента?
✓ Какова международная классификация ферментов?
✓ Перечислите основные направления медицинской энзимологии.
✓ Дайте определение понятию «Липиды».
✓ Какова классификация липидов?
✓ Перечислите функции липидов.
✓ Дайте определение понятиям: «Жирная кислота», «Высшая жирная кислота».
✓ Приведите примеры диеновых и и триеновых жирных кислот.
✓ Составьте формулу тетраеновой жирной кислоты.
✓ Составьте формулу триацилглицерола (ТАГ) с остатком олеиновой, линолевой и пальмитиновой кислот.
✓ Напишите пример формулы липида из класса «Воски».
✓ Составьте общий план строения фосфолипидов.
✓ Составьте общий план строения сфинголипидов.
✓ Перечислите биологические функции глицерофосфолипидов.
✓ Перечислите биологические функции сфингофосфолипидов.
✓ Составьте формулу липида с остатком N-ацетилнейраминовой кислоты, дайте ему название.
✓ Перечислите стероидные соединения. Что является признаком стероидных соединений?
✓ Составьте формулу холестерина и дайте характеристику этому соединению.
✓ Составьте формулу желчной кислоты и её коньюгата, объясните биологическую роль желчных кислот.
✓ Дайте определение понятию «Витамины». Какова классификация витаминов?
✓ Перечислите методы определения витаминов в биожидкостях.
✓ Дайте характеристику витамину «Аскорбиновая кислота». Какими методами можно обнаружит этот витамин в биологических объектах?
✓ Дайте характеристику витамину «Тиамин» (строение витамина а кофермента, биологические функции, признаки авитаминозов, особенности применения в медицине).
✓ Опишите особенности химической структуры и биологические свойства рибофлавина.
✓ Опишите особенности химической структуры и биологические свойства цианокобаламина.
✓ Составьте описание особенностей структуры, биологической активности и признаков гипо- и авитаминоза для ретинола.
✓ Составьте описание особенностей структуры, биологической активности и признаков гипо- и авитаминоза для кальциферола.
✓ Составьте формулу НАД и покажите его переход из окисленной формы в восстановленную.
✓ Составьте формулу ФАД и покажите его переход из окисленной формы в восстановленную.
✓ Перечислите витаминоподобные соединения.
✓ Назовите известные вам антивитамины.
✓ Какова биологическая роль нижеперечисленных соединений: ПАБК, пангамовая кислота, инозитол, убихинон, S-метилметионин, липоевая кислот, холин
✓ Какова классификация гормонов?
✓ Дайте характеристику гормонов гипоталамуса.
✓ Дайте характеристику гормонов гипофиза.
✓ Дайте характеристику гормонов паращитовидных желез.
✓ Дайте характеристику гормонов щитовидной железы.
✓ Дайте характеристику гормонов поджелудочной железы.
✓ Дайте характеристику гормонов надпочечников.
✓ Дайте характеристику женских половых гормонов.
✓ Дайте характеристику мужских половых гормонов.
✓ Опишите структуру и биологические свойства простагландинов.
✓ Опишите аденилатциклазную мессенджерную систему.
✓ Опишите гуанилатциклазную мессенджерную систему.
✓ Опишите Ca2+– мессенджерную систему.
✓ Опишите механизм действия на клетку адреналина.
✓ Опишите механизм действия на клетку инсулина.
✓ Опишите механизм действия на клетку тестостерона.
✓ Опишите типичное проявление авитаминоза (по выбору).
✓ Опишите типичное проявление гипофункции железы (по выбору).
✓ Опишите типичное проявление гиперфункции железы (по выбору).
✓ Что такое эйкозаноиды?
✓ Объясните биологические эффекты простагландинов, лейкотриенов и тромбоксанов.
2. Контрольная работа
2.1. Логические задания
Инструкция к выполнению заданий: выполнить письменную работу, вписав недостающие по смыслу слова, термины и формулы:
1. Аминокислоты – производные карбоновых (органических) кислот, у которых один из атомов водорода у α-углерода заменен на ______________группу; мономеры для биосинтеза ____________________________________.
2. Ароматические аминокислоты – аминокислоты, содержащие ______________ кольцо; к ароматическим аминокислотам относят _______________, тирозин, ______________________.
3. _________________________________ аминокислоты не синтезируются в организме и должны поступать с пищей; к ним относят ________________, ___________________, __________________, лейцин, изолейцин, треонин, аргинин, гистидин, валин и метионин.
4. ____________________________ аминокислоты не входят в состав природных белков; к ним относят (_______________, _________________, цитруллин, γ-аминомасляную кислоту.
5. _________________ (α-амино-5-гуанидиновалериановая кислота) – условно незаменимая для человека аминокислота, входящая в состав многих белков и являющаяся промежуточным продуктом в процессе мочевинообразования; необходима для синтеза креатина, оксида азота и др.
6. α-Аланин (___________________________ кислота) – заменимая, неполярная, гликогенная аминокислота; входит в состав белков.
Имеет формулу: _______________________________
7. Белки – высокомолекулярные соединения, биополимеры, состоящие из остатков __________________ соединенных _________________ связями в определенной последовательности, и имеющие определённую структурную и пространственную организацию (___________________, вторичную, __________________________ и четвертичную), обладающие структурной, каталитической, рецепторной, транспортной, защитной, сократительной и др. функциями.
8. Название аминокислоты:

9. ________________________ – название гетерогенной группы белков плазмы крови, растворимых в слабых растворах нейтральных солей и кислот и выпадающих в осадок при 50 % насыщении растворов сульфатом аммония.
10. Глутатион – трипептид, состоящий из остатков ______________, ______________ и _____________________кислоты и участвующий в окислительно-восстановительных реакциях.
11. Ферменты (энзимы) – биологические катализаторы ________________природы с регулируемой активностью; молекула фермента может быть простым или сложным __________________. В сложном белке (_____________________) присутствует небелковый компонент – _____________________.
12. ______________________________ – уникальная комбинация аминокислотных остатков белковой молекулы, участвующих в присоединении и превращении субстрата, формируется на уровне третичной структуры. В нём выделяют субстратсвязывающий и ___________________ участки.
13. ____________________________ – низкомолекулярное органическое соединение, являющееся составной частью сложного белка, обладающего каталитической активностью; большинство из них являются производными водорастворимых ______________________, а также нуклеозидов, пептидов и др.
14. Константа ___________________ (КM) – величина, характеризующая сродство фермента к _______________; численно равна концентрации субстрата, при которой начальная скорость реакции составляет половину максимальной скорости (Vmax).
15. Дегидрогеназы – ферменты класса _________________________, катализирующие перенос водорода с окисляемого субстрата на другое вещество (косубстрат). Акцептором водорода часто выступают ___________, NADP+, FAD и др.
16. ____________________________ – генетически обусловленные множественные формы ферментов, которые катализируют одну и ту же реакцию, но различаются по ___________________, физико-химическим и каталитическим свойствам.
17. Катал (кат) – единица _______________________ активности фермента, способная осуществлять реакцию со скоростью, равной ____________моль в ___________.
18. _____________________ – четвертый класс ферментов, катализирующих негидролитическое отщепление атомов или групп атомов (NH3, С02 и др.) от субстратов с образованием _____________________ связей и обратные реакции присоединения по _______________________связям, а также реакции конденсации, не сопряженные с расщеплением пирофосфатной связи в молекуле нуклеозидтрифосфатов.
19. Никотинамидадениндинуклеотид (NAD+) – кофермент некоторых оксидоредуктаз, состоящий из ______________________ и аденилового нуклеозидов, связанных через остатки _______________________кислоты; окисленная форма NAD+ имеет положительный заряд на атоме азота пиримидинового кольца и способна восстанавливаться до NADH путем присоединения гидрид-иона.
20. _______________________ – диагностика заболеваний, основанная на определении изменения активности ферментов (изоферментов) в биологических жидкостях и тканях; например, для панкреатита характерно повышение в плазме крови активности ______________________________, для инфаркта миокарда – активности креатинкиназы, ____________________и др.
21. Азотистые основания – общее название азотсодержащих _____________________ органических соединений, входящих в состав _____________________ и нуклеотидов.
22. _______________________(см. формулу) – азотсодержащее шестичленное гетероциклическое соединение, входящее в состав ___________________ нуклеозидов и _______________.

23. __________________ (6-аминопурин) – пуриновое основание, содержащееся в составе пуриновых нуклеотидов, нуклеозидов и их производных. В генетическом коде обозначается заглавной буквой ___.

24. __________________ азотистые основания – видоизмененные азотистые основания, отличающиеся по строению от аденина, гуанина, урацила и тимина; к ним относятся N6-метиладенин, N-метилгуанин, дигидроурацил и др.
25. __________________________ – мононуклеотид, состоящий из гуанина и пентозы, связанной с одной молекулой фосфорной кислоты; структурный компонент нуклеиновых кислот.

26. ____________________________________________ – биополимер, состоящий из нуклеотидов, содержащих дезоксирибозу; локализуется преимущественно в ядре клеток; является носителем генетической информации.
27. _____________________ – фермент класса лигаз, катализирующий образование фосфодиэфирных связей в местах разрыва одной цепи двухцепочечной ДНК.
28. ____________________ – фермент класса трансфераз, катализирующий образование комплементарной цепи из дезоксинуклеозидтрифосфатов на матричной цепочке ДНК.
29. Назвать химическое соединение: _________________________________________

30. Нуклеопротеины – сложные белки, простетическая группа которых представлена ______________________ или ____________________ (дезоксирибонуклеопротеины) кислотой; являются составной частью ___________________ и рибосомы; обладают каталитической активностью (малые ядерные рибонуклеопротеины).
Конец ознакомительного фрагмента.
Текст предоставлен ООО «Литрес».
Прочитайте эту книгу целиком, купив полную легальную версию на Литрес.
Безопасно оплатить книгу можно банковской картой Visa, MasterCard, Maestro, со счета мобильного телефона, с платежного терминала, в салоне МТС или Связной, через PayPal, WebMoney, Яндекс.Деньги, QIWI Кошелек, бонусными картами или другим удобным Вам способом.
Приобретайте полный текст книги у нашего партнера:

