
Токсичность автомобиля
В данной модели существует несколько степеней свободы: движение вперед-назад, возвратно-поступательного типа; вверх-вниз – в пределах определенных углов наклона. Кроме того, существует возможность присоединения элементов расчета, позволяющих в той или иной степени оценить углы подьема и спуска, а также углы продольного крена, и движение «влево-вправо» самой локальной системы координат. Таким образом для данной математической модели существует 8 основных степеней (это из аналитических апроксимаций автора монографии):
свободы, некоторые из которых имеют ограничения и упрощения. Не учитываются, например, такие факторы, как боковые крены, боковые углы рыскания, связанные в частности с уводом шин, но сама модель дает возможность в перспективе подключать соответствующие известные сложные методики для анализа этих случаев. В то же время в модели учитываются многие необходимые факторы с известными в теории автомобиля упрощениями: например, центр приложения силы аэродинамического сопротивления можно учитывать как фактор дорожного сопротивления, упругость шин учитывается аналогичным образом, а угол подъема определяется упрощенно и т. п.
Схема модели приведена на рис.2.1а,б. Здесь показан общий случай для движения автомобиля с произвольным ускорением на полотне дороги с определенным углом подьема. Для случая равномерного движения будет отсутствовать инерционная сила. На рис.2.16 показано расположение начальной и локальных, движущихся и связанных с автомобилем в виде материальной точки систем координат. В этой модели основные движущие, а также силы сопротивления приведены к центру масс автомобиля, представляемого как материальная точка. Кроме того, позволяет учитывать, например, жесткость подвески, а также упругость шин. Последний фактор дает представление об упругости шины как деформируемом элементе, поэтому в перспективе можно применять и более сложные модели качения. Для материальной точки в данной модели автомобиля можно также с помощью известных подходов оценивать динамическое распределение масс в виде ограничений, в некоторых случаях углы рыскания и т.п.Таким образом, связь локальных систем координат с движущейся материальной точкой может производить численный анализ на базе данной модели курсового движения с высокой точностью. При этом некоторые элементы в математической модели автомобиля можно рассматривать как известные, но вместе с тем отчасти трактовать как новые. Упругость шин, например, в данном представлении является коэффициентом сопротивления качению, который является отношением силы сопротивления качению к нормальной реакции на колесе и зависит от многих факторов. При этом можно учитывать коэффициент динамического перераспределения массы автомобиля, так как изменяется величины нормальных реакций в пятне контакта и параметры скольжения силы при передаче крутящего момента, т.е. как дополнительное упругое сопротивление или буксование. Боковые уводы также могут повлиять на точностъ расчетов, однако, в данной модели, как уже указывалось, они не учитываются, что принципиально важно. Их можно будет учитывать в дальнейшем не-посредственно для соответствующих задач математического моделирования Поэтому первоначально рассматриваются два допущения:
– криволинейное движение с большими радиусами, которое близко приближается к прямолинейному и является курсовым движением;
– величина продольного угла наклона изменяется в необхо-димых диапазонах, характерных для случая движения автомобиля, когда тангенс угла наклона принимается непосредственно равным углу наклона, что давно известно в данной области науки (о вопросах исследования):
Существует и ряд некоторых других малоизученных аспектов. Передаточная функция трансмиссии моделируется в данном случае известным образом и характеризует преобразование крутящего момента по его величине не зависимо от типа движителя и непосредственно трансмиссии. Для механической трансмиссии передаточное число общее определяется простым умножением пере-даточных чисел звеньев, а для автоматической или гидромеханической оно определяется по соотношению входного и выходного моментов, на что, в частности, влияет система управления данным механизмом.
2.4.Элементарный тяговый расчети его табличный вид.(классические методы)Тяговый расчет является основным известным методом для определения тягово-скоростных и топливно-экономических свойств автомобиля. Однако, он обладает большой погрешностью, так как основан на графоаналитическом методе, из чего следует, что он обладает большой неточностью. Поэтому используя функционалы интегрирования удается не только увеличивать точность расчетов благодаря методу интегрирования, а не графического сложения. но и сделать этот процесс менее трудоемким, простым и быстродейсгвующим. Тяговый расчет в сжатом виде можно представить в виде таблицы 2.1—2.2,а некоторые его составные элементы представлены на рис.2.2.В самом обычном варианте этот метод удобен для расчетов:
в том числе для электропривода
.

Кроме того, можно говорить об обобщении различных групп показателей для оценки эксплуатационных свойств автомобилей на перспективу, так как расширение их номенклатуры и возможность их сопоставимости в функции, например, скорости движения принципиально важно. Этот подход на базе сравнительного анализа продемонстрирован в таблице 2.2. Таким образом, можно даже разнородные показатели свести в единообразную форму и сравнивать их для различных автомобилей.
Поэтому в целом можно расширить возможности и сферу применения для тягового расчета для наземных транспортных средств. При этом можно использовать и новые методы математического моделирования.

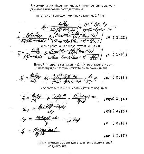
2.5.Интегральный вид уравнения движенияи определение параметров движения.2.5.1.Общий случай интегрирования.Рассмотрим случай для полиномной интерполяции мощности двигателя и часового расхода топлива.Путь разгона определяется на основании уравнения (2.7)как (2.11), а время разгона на основании уравнения (2.8)как (2.12).Второй интеграл выражения (2.11) представляет собой время разгона, поэтому путь разгона также может быть выражен иначе: (2.13)В формулах (2.11—2.13) используются следующие расчетные коэффициенты (2.14) – (2.17):Ме – крутящий момент двигателя при максимальной мощности, нм,VN – скорость автомобиля, соответствующая макси-мальной мощности, м/с,а,в,с – коэффициент полинома (2.18)We» – удельная угловая скорость,We – текущая угловая скорость коленвала двигателя, с-1,WN – угловая скорость при максимальной мощности, с-1,Vi, Vi+1 – начальная и конечная скорости разгона, м/с,Выражение (2.12) для определения времени разгона в диапазоне от Vi до Vi+1 может быть записано также в следующем виде (2.19)где delta – дискриминант.При значениях характерных для случая многих двухтактных двигателей, -интеграл в уравнении (2.8) будет вида: (2.20).Как показывают расчеты выражения (2.12) и (2.20) дают абсолютно идеинтичные результаты. Данный метод интегрирования для основных показателей основан на полиномной интерполяции характеристик двигателей, что сразу дает в аналитическом виде значение решения. Значения коэффициентов полиномов приведены в таблице 2.3,а формы кривых полиномов на рис.2.3.а-в. Значения коэффициентов полиномов можно определить известными методами.



2.5.2.Случай линеаризации.
Кроме того, существует частный случай интегрального вида уравнения движения. Он получается в идеальном случае, если момент двигателя постоянен: случай линеаризации. Иногда линеаризация может оказаться более выигрышной. При этом коэффициенты в уравнении движения (2.3) будут иметь несколько иной вид, а интегральное выражение для определения величины пути можно записать как, м (2.21),а время разгона (2.22). В этом же случае можно записать развернутое уравнение выбега, полученное из уравнения (2.26).Интегрируя его аналогично (2.7) определяем путь выбега (2.27),а время выбега определяется как (2.26),
где bврв – коэффициент учет вращающихся масс при выбеге,
Vв – условная скорость выбега, м/с,
Для вариационных исчисления, т.е. в описанной в дальнейшем задаче метода конечных элементов в теории движения, можно также формулу (2.21) привести к другому виду и использовать его как один из конечных элементов для определения пути разгона: (2.30)
где Vmax – максимальная, в том числе и кинематическая скорость движения автомобиля, м/с,
Для случая определения пути выбега можно получить следующий вид конечного элемента: (2.31)
Данные уравнения могут применяться непосредственно и при вариационной формулировке задачи при правильном подборе коэффициентов полиномов.
2.5.3.Определение расхода топлива при
разгоне автомобиля.
Часовой расход топлива, как известно можно определить через удельный расход топлива:,кг\ч (2.32)
где qe=qnKобКи – удельный расход топлива, г/кВтч,
Коб- коэффициент, учитывающий зависимость удельного расхода топлива от угловой скорости коленчатого вала двигателя,
Ки – коэффициент, учитывающий зависимость удельного расхода топлива от степени использования
мощности двигателя: для разгона при полной подаче топлива можно принимать =1.
Расход топлива при этом можно определить в упрощенном случае путем интегрироваания уравнения часового расхода топлива (2.33)Определенный интеграл в этом случае будет давать конечное аналитическое выражение в виде:,л (2.34)где pт – плотность топлива, г/см3.Последнее выражение может быть также записано в виде:,л (2.35)где Nmax – максимальная мощность двигателя, кВт.

Данный случай является упрощенной идеальной моделью. Для полиномных моделей коэффициентов Коб и Ки уравнения часового расхода топлива (2.32) пропорционально произведению скорости на коэффициенты полиномов Коб, Ме, Ки, являющиеся полиномами удельной частоты вращения, следовательно зависит от 5-й степени скорости автомобиля: (2.36), (2.37).Коэффициенты полиномов для разных типов двигателей могут быть рассчитаны аналитически, их значения представлены в таблице2.3. Однако, тогда уравнение расхода топлива (2.33) при интегрировании дает значение, пропорциональное 6-й степени скорости, что приводит к усложнению непосредственно интегрирования и уменьшения точности расчетов за счет разложения интеграла в ряд и т. п. Кроме того, необходимо отметить, что реальные характеристики двигателя, например, Ме не всегда могут быть описаны полиномами второй степени точно – для этого требуются полиномы 3-5-й степени.
Аналогичные преобразования необходимы и для полиномов Коб и Ки, поэтому уравнение для определения расхода топлива при разгоне Gр может стать очень сложным и громоздким, пропорциональным 10-й степени скорости и т. п. В этом случае можно получить слишком сложную и неудобную модель на базе рядов Тейлора с остаточными членами, мало влияющими на точность результата. В этом случае приходится либо довольствоваться исходной апраксимацией, либо переходить к численным математическим моделям в виде численного интегрирования и т. п.
Аналитический метод может быть упрощен без существенных погрешностей вычисления: на рис.2.3а-в показаны кривые 3,6,7—9,являющиеся произведениями полиномов для различных типов двигателей. В рабочих диапазонах двигателя они могут быть апраксимированы линейными исходными функциями, коэффициенты для которых приведены в таблице 2.3.В этом случае значительно упрощается уравнение часового расхода топлива: учитывая, Gt=0 при"нулевой"частоте вращения двигателя коэффициент aл=0. Оно будет иметь в этом случае вид, л (2.45).Тогда расход топлива определяется как интегральная функция, л (2.46)
Конец ознакомительного фрагмента.
Текст предоставлен ООО «Литрес».
Прочитайте эту книгу целиком, купив полную легальную версию на Литрес.
Безопасно оплатить книгу можно банковской картой Visa, MasterCard, Maestro, со счета мобильного телефона, с платежного терминала, в салоне МТС или Связной, через PayPal, WebMoney, Яндекс.Деньги, QIWI Кошелек, бонусными картами или другим удобным Вам способом.
Приобретайте полный текст книги у нашего партнера:

