
Квантовая теория гравитации

Квантовая теория гравитации
Устин Чащихин
© Устин Чащихин, 2022
ISBN 978-5-0051-1835-6
Создано в интеллектуальной издательской системе Ridero
Раздел 1. Квантование гравитационного поля
Аннотация
Впервые выведены уравнения квантовой теории гравитации, содержание все три фундаментальные постоянные – G, c и h.
Использован принципиально новый подход для вычисления кванта гравитационного поля – через поиск элементарных масс, энергии и импульса.
Теория полностью согласуется с экспериментами.
1. Отойдем от шаблонного мышления
Классическая теория гравитации Ньютона, созданная в 1687 году, содержит только одну мировую константу – гравитационную постоянную G, и имеет две границы применимости – релятивистскую и квантовую.
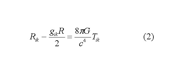
Релятивистская теория гравитации – общая теория относительности (ОТО) Эйнштейна (1915—16) – содержит две фундаментальные постоянные – гравитационную G и скорость света в вакууме c. И потому она применима для релятивистских явлений, но имеет только одну границу применимости – квантовую.
А квантовая теория гравитации по определению должна содержать все три фундаментальные мировые константы – гравитационную постоянную G, скорость света c и постоянную Планка h. И должна быть применима для любых явлений природы, включая квантовые и релятивистские. Это – теория, которая должна объединить квантовую теорию и ОТО. Именно такая теория и создана мной и представлена в этой книге. Здесь в части 1 описаны гравитационное взаимодействие и гравитационное поле на квантовом уровне, а в части 2 выведены максимальная плотность квантовой материи и максимальная кривизна пространства-времени, решена проблема сингулярностей в черных дырах, выяснена причина Большого взрыва и предсказана неизбежность очередного Большого взрыва в результате Большого сжатия.
При этом, несмотря на отсутствие экспериментальных наблюдений, ранее была выдвинута гипотеза гравитона – предполагаемого кванта гравитационного поля, по аналогии с фотоном – квантом электромагнитного поля, которое описывается в квантовой электродинамике как бозе-конденсат виртуальных фотонов. Однако на протяжении более века с момента создания ОТО все попытки описать гравитационное поле как бозе-конденсат виртуальных гравитонов наталкивались на фундаментальные трудности и все эти теории оказались неперенормируемы, и петлевая квантовая гравитация и геометродинамика также не решили проблему [1—21]. Из недавних обзоров проблемы квантования гравитационного поля можно отметить [16]. При этом, что особо примечательно, единственный перенормируемый вариант [17] использует фейковые частицы, т.е. такой подход изначально заведомо ошибочен экспериментально. И гравитон до сих пор не обнаружен экспериментально [22—28].
И многие физики признают необходимость принципиально новых подходов для создания квантовой теории гравитации:
«для создания квантовой гравитации могут быть нужны радикально новые идеи» [10]
«Нам могут понадобиться радикальные перемены в наших вглядах или полностью новые идеи для решения задачи (квантовой гравитации).» [11]
Для создания великих научных открытий великие ученые всегда вынуждены были идти против общепринятого мнения, против догм, бросая вызов толпе – например:
* Коперник и Галилей доказывали гелиоцентризм, пока все верили в геоцентризм. И они оказались правы!
* Колумб поплыл на Запад в поисках Индии с убеждением в шарообразности Земли, когда весь мир считал Землю плоской. И Колумб тоже оказался прав!
Кого ни возьми – Магеллан, Ньютон, Максвелл, Планк и иные гении – ни один из великих ученых не был догматиком, не подчинялся стадному инстинкту. Потому что догматизм держится за старое и мешает создать новое и мешает даже понять уже созданное другими новое научное открытие. Именно поэтому догматики не только не совершают открытий, но даже и не понимают первопроходцев и тормозят развитие научного прогресса своими догмами.
Аналогично для реализации научного открытия, прорыва в любой области нам придется поступить как все гении – отойти от толпы и перебороть свой животный стадный инстинкт, признав его таким же атавизмом, как и потливость рук. Ведь мы, представители Человека Разумного – не стадо баранов, чтобы идти за толпой, подчиняясь стадному инстинкту, а мыслящие люди. Поэтому руководствоваться мы должны человеческим разумом, а не животным стадным инстинктом.
Для формирования такого подхода нам нужны критическое мышление и отход от шаблонов, привычных стереотипов в мышлении:
«Человек с некритическим умом склонен первое пришедшее ему в голову решение задачи рассматривать как окончательное…
Гибкость ума, под которой разумеется свобода мысли от предвзятых предположений и шаблонных способов решения, способность находить новые решения при изменении обстановки и условий задачи.
Гибкость ума выражается не только в свободе от сковывающего влияния трафаретных приёмов, но и в уменье разнообразить попытки решения, не повторять тех попыток, неправильность которых уже обнаружилась. Многие люди плохо справляются с решением задач, главным образом, потому, что в поисках решения они снова и снова возвращаются к способу, который первым пришёл им на ум, хотя всякий раз убеждаются в том, что этот способ ни к чему не приводит. Здесь обнаруживается своего рода «инертность» мысли: человек не умеет сдвинуть свою мысль с того пути, по которому она однажды пошла.» [29]
Поэтому давайте постараемся отойти от стадного инстинкта и шаблонного мышления и попытаемся открыть свой ум для понимания новых горизонтов.
2. Причина квантования электромагнитного поля – наличие элементарного электрического заряда
Для создания квантовой теории гравитации я применяю принципиально новый, инновационный подход – поиск элементарной массы и элементарного тензора энергии-импульса, по аналогии с элементарным электрическим зарядом в квантовой электродинамике (КЭД).
Физической причиной квантования электромагнитного поля в КЭД является то, что в природе существует минимальный, элементарный электрический заряд e, – такой, что все остальные заряды кратны ему:

Электрические заряды абсолютно всех без исключения атомных ядер и всех элементарных частиц строго кратны элементарному заряду (у трех кварков в барионе один элементарный заряд на троих, как и у двух кварков в мезоне – один на двоих, но свободных кварков нет).
В природе не существует электрического заряда, который бы не был кратен заряду электрона, все заряды ему кратны.
Электрический заряд не принимает ни хаотических, ни бесконечно малых значений, а только строго дискретные значения, кратные заряду электрона.
Именно по этой причине протон и электрон, имея одинаковый по модулю заряд, могут обменяться одним квантом электромагнитного поля – одним виртуальным фотоном. Элементарный электрический заряд может и излучить и поглотить элементарное электромагнитное поле – его квант – виртуальный фотон.
Поэтому именно значение элементарного электрического заряда и входит в уравнения и классической и квантовой электродинамики.
3. Новый подход к квантовой гравитации
Аналогичным образом для вывода уравнений квантовой гравитации я предлагаю новый подход – поискать и измерить элементарные, минимальные значения массы, энергии и импульса. И эти элементарные массу, энергию и импульс можно будет считать источником предполагаемого гравитона.
И только после измерения элементарных значений массы, энергии и импульса эти величины можно будет использовать в уравнениях квантовой теории гравитации, чтобы описать гравитационное поле на квантовом уровне.
Хочу обратить внимание читателя на важный факт по поводу квантования энергии и импульса.
В теории гравитации Ньютона источником гравитации является масса. А в общей теории относительности источником гравитационнго поля является тензор энергии-импульса – мера плотности энергии и импульса в объеме:

Поэтому для нахождения кванта гравитационного поля – предполагаемого гравитона – нам надо найти минимальные, элементарные величины массы, энергии и импульса.
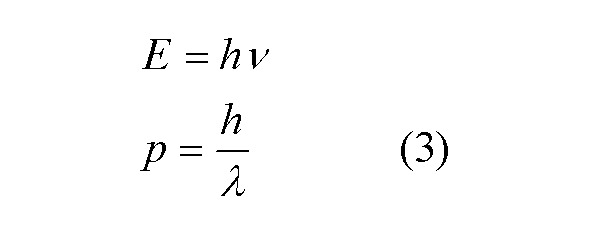
Да, все мы знаем, что энергия и импульс квантованы:

И обычно физики полагают, что именно факт квантования энергии и импульса (а значит, и тензора энергии-импульса в ОТО) является очевидным аргументом в пользу гравитона и квантовой природы гравитационного поля. Но любые попытки создания квантовой теории гравитации наталкиваются на непреодолимые трудности – все эти модели неперенормируемы.
Значит, здесь тупик? В чем же проблема?
Дело в том, что вопрос квантования энергии и импульса на самом деле гораздо сложнее.
Постоянная Планка, в отличие от электрического заряда, не является ни элементарной энергией, ни элементарным импульсом.
А частота и длина волны в выражениях (3) могут принимать самые разные значения. Да, электромагнитные волны квантованы, но квант ИК света имеет меньшую энергию, чем УФ-квант, а квант УФ света имеет меньшую энергию, чем квант рентгеновского диапазона.
Следовательно, квант электромагнитного излучения (3) еще пока не является элементарной минимальной энергией, поскольку в природе существуют меньшие по значения кванты излучения других длин волн.
Поэтому вопрос существования элементарной энергии упирается не только в постоянную Планка, но также и в вопрос существования элементарной частоты. Этот вопрос физики упускают из внимания.
Именно на этом вопросе я и хочу заострить внимание читателя. Именно этот вопрос надо решить для создания квантовой теории гравитации.
Поэтому мой подход – как для построения КЭД необходим элементарный электрический заряд, также и для построения квантовой гравитации необходимы элементарные минимальные значения массы, энергии, импульса и частоты.
Для более полного понимания рассмотрим графики зависимости электрического заряда, энергии и импульса.

Рис. 1. Электрический заряд квантован.

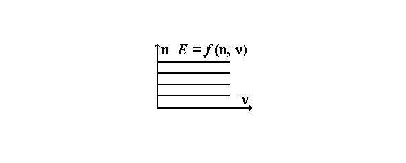
Рис. 2. Энергия и импульс квантованы по n, но они не квантованы по частоте.

Рис. 3. Квантованный спектр энергий по n и
непрерывный спектр энергий по частоте.
4. Существует ли минимальная элементарная масса?
Самые легкие частицы с массой покоя – электрон и позитрон. Является ли масса электрона элементарной массой – минимальной массой, которой кратны все остальные массы? Есть ли здесь такая же ситуация, как и в случае с электрическим зарядом?
Для ответа на этот вопрос достаточно рассчитать отношения масс всех элементарных частиц к массе электрона. Если все эти отношения будут равны натуральным числам, тогда можно будет утверждать, что масса электрона – элементарная масса.
Однако, проделав эти рассчеты, мы увидим, что эти отношения не являются натуральными числами, например, отношение масс мюона и электрона равно ~206,768, отношение масс протона и электрона равно ~1836,1527 и т. д.
Вы можете перепроверить эти рассчеты для всех частиц с массой покоя. В результате этих простых вычислений можно легко убедиться в том, что, в отличие от электрического заряда, массы элементарных частиц отнюдь не пропорциональны массе электрона.

Какие выводы следуют из этих фактов? Можно ли на основе этих фактов утверждать, что масса электрона – это элементарная масса? Не правда ли, что скорее напрашивается противоположный вывод?
Значит, мы уже не можем описать гравитационное взаимодействие между электроном и протоном как обмен одним виртуальным гравитоном. Протон тяжелее электрона и его гравитационное поле сильнее, чем у электрона. Причем сильнее в нецелое число раз.
Поймите правильно – электрон и протон имеют строго одинаковый по модулю электрический заряд. Поэтому у каждого из них строго одинаковое электрическое поле. Именно поэтому элементарный акт электромагнитного взаимодействия между ними можно представить как обмен одним виртуальным фотоном между двумя элементарными зарядами – протоном и электроном.
Но массы у протона и электрона разные. Поэтому гравитационное поле протона больше, чем гравитационное поле электрона.
Правильно ли мы рассуждаем? Может быть, есть масса у нейтрино и она является минимальной и элементарной массой? Или, может быть, существует некая элементарная частица – носитель минимальной элементарной массы? Тогда логично предположить, что все остальные частицы, обладающие массой покоя, должны быть построены из нейтрино или из такой частицы – носителя элементарной массы. Но тогда при столкновениях элементарных частиц на коллайдерах должна была бы появляться эта частица с массой меньше массы электрона. Однако опыты опровергают эту гипотезу [17—19].
Можно ли на основе этих данных утверждать наличие элементарной массы? Нет.
5. Существует ли элементарная масса в теории относительности?
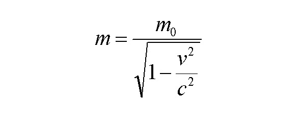
Даже если бы мы и нашли элементарную массу в нерелятивистской теории, то в теории относительности попытки квантования массы осложняются еще и тем, что в ней масса зависит от скорости, причем зависит нелинейно:

Следовательно, в теории относительности вопрос существования элементарной массы зависит от существования элементарной скорости.
Если скорость неквантована, недискретна, если нет элементарной минимальной величины скорости, если скорость имеет непрерывный спектр значений, то и масса также неквантована, недискретна, имеет непрерывный спектр значений.
6. Дискретна ли скорость?
Как решить вопрос о квантовании, дискретности скорости? Влияет ли предполагаемая дискретность пространства-времени на вопрос о дискретности скорости?
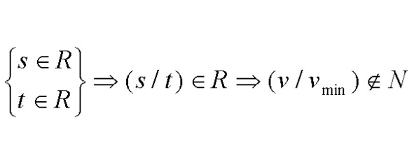
Рассмотрим сначала классический случай. Скорость равна v=s/t, где s – путь в пространстве, а t – время.
Если время или пространство дискретны, то логически вопрос дискретности скорости решается так.
1) Если и пространство и время не дискретны, то и скорость также не дискретна:

2) Если расстояние s не дискретно, а время t дискретно, то нет и дискретной скорости v=s/t.
3) Если расстояние s дискретно, а время t – нет, то скорость также недискретна.
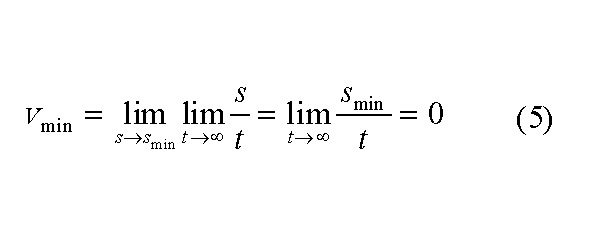
4) Если и пространство и время дискретны, то существуют такие минимальные, элементарные величины пространства smin и времени tmin, такие, что:

тогда вычислим предел:

А значит, и в случае дискретности и пространства и времени скорость все равно не дискретна.
Итак, получается, что независимо от того, дискретны пространство и время или нет, скорость все равно не является дискретной vmin=0.
Думаю, что этот расчет можно считать доказательством того, что скорость недискретна и что не существует элементарной скорости.
Врядли имеет смысл рассматривать вопрос о дискретности скорости в теории относительности, поскольку релятивистская поправка к скорости только усугубляет ее недискретность и к тому же на малых скоростях можно пренебречь релятивистскими поправками.
7. Существуют ли элементарные энергия, импульс и частота?
Да, энергия и импульс квантованы и для каждой определенной длины волны и частоты их минимальные значения равны (3).
Но, как говорилось выше, квант электромагнитного излучения (3) еще пока не является элементарной минимальной энергией, поскольку в природе существуют меньшие по значения кванты излучения других длин волн, других частот. Поэтому вопрос существования элементарной энергии упирается не только в постоянную Планка h, но также и в вопрос существования элементарной частоты либо максимальной длины волны.
Хочу повторить – для поиска наименьших квантов энергии и импульса (3) необходимо найти наименьшую частоту и наибольшую длину волны.
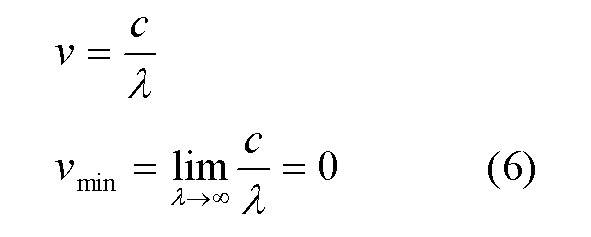
Квантована ли частота? Принимает ли частота дискретные значения – как электрический заряд – или же она имеет непрерывный спектр значений?
Существует ли ограничение сверху на длину волны? Наличие законов сохранения энергии и импульса связано с однородностью пространства и времени. Если пространство однородно, то оно также должно быть и бесконечным. Ибо, если бы существовала граница пространства, то оно было бы уже неоднородным. Итак, пространство бесконечно и следовательно, длина волны не ограничена сверху. А следовательно, частота не ограничена снизу, а может принимать сколь угодно малые значения – нет кванта частоты:

Решая вопрос об элементарных энергии и импульсе аналогично вопросу об элементарной скорости (глава 6), имеем:

(7)
Это означает, что элементарных минимальных значений частоты, энергии и импульса в природе нет, а значит, нечему излучить элементарное гравитационное поле – гравитон.
Я понимаю, что это звучит необычно, когда все знают, что есть кванты энергии и импульса. Но надо понимать, что квант – это минимальная величина энергии света определенной частоты, определенной длины волны, а для меньших частот есть и меньшие кванты и так до бесконечности. А квант излучения сколь угодно малой частоты является также сколь угодно малым (6). А поскольку в силу однородности и бесконечности пространства могут быть кванты сколь угодно большой длины волны, то и их энергия также сколь угодно мала (7).
8. Квантована ли поступательная энергия электрона, атома, молекулы?
На вопрос существования минимального элементарного кванта энергии можно посмотреть и по-другому.
Как мы знаем, энергия молекулы Emol выражается суммой:
Emol = Ep + Er + Ec + Ee + Enгде Ep – поступательная энергия молекулы, Er – ее вращательная энергия, Ec – колебательная энергия, Ee – электронная энергия, En – ядерная энергия. Мы знаем, что ядерная, электронная, колебательная и вращательная энергия квантована – есть определенные дискретные уровни энергии, которые может принимать молекула. И эти уровни можно увидеть в спектрах.
Но вот вопрос – квантована ли поступательная энергия молекулы? Если да, то как? И каким экспериментом это можно проверить, доказать или опровергнуть?
Энергия электрона в атоме квантована. Но квантована ли энергия свободного электрона? На рисунке 4 изображен энергетический спектр электрона в атоме водорода. В области положительных энергий энергетический спектр свободного электрона является сплошным спектром [30].
Конец ознакомительного фрагмента.
Текст предоставлен ООО «ЛитРес».
Прочитайте эту книгу целиком, купив полную легальную версию на ЛитРес.
Безопасно оплатить книгу можно банковской картой Visa, MasterCard, Maestro, со счета мобильного телефона, с платежного терминала, в салоне МТС или Связной, через PayPal, WebMoney, Яндекс.Деньги, QIWI Кошелек, бонусными картами или другим удобным Вам способом.
Приобретайте полный текст книги у нашего партнера:

