
Матрица физики, законов природы

Матрица физики, законов природы
В. Б. Уральцев
© В. Б. Уральцев, 2016
ISBN 978-5-4483-2358-4
Создано в интеллектуальной издательской системе Ridero
Уважаемый читатель!
Предлагаю Вам книгу «Матрица физики, законов Природы». Название книги указывает на то, что разговор в ней пойдет об основах мироздания.
Основным источником познания основ мироздания для человека служит Солнечная система. Определение и расчет параметров процессов преобразования, происходящих в этой системе, будем производить с помощью системы (метр, секунда), пользуясь идеями Р.О. ди Бартини и П. Г. Кузнецова, в частности, «Системой пространственно-временных величин». LT
Параметры движения планет Солнечной системы являются системой естественных физических величин. Единицы и величины этих параметров определяются таблицей – матрицей физики, законов Природы. Эти величины являются инвариантами – законами сохранения.
Построить матрицу можно только с применением системы В данном случае система СИ не работает, как и другие системы измерения. Интересно, что матрица работает в микромире. Применяя матрицу, можно узнать много нового о процессах преобразования, которые совершаются постоянно в мире, в котором мы живем. LT.
Классическая наука системы не принимает. Провести качественный анализ и дать оценку полученным результатам поэтому не может. LT
Удивительно, что Р.О. ди Бартини и П. Г. Кузнецов, проделав огромную работу по созданию системы , к матрице не подошли. Р.О. ди Бартини предложил около двадцати констант, но их нельзя собрать в систему (матрицу), а назвать их естественными также нельзя. Оцените сами статьи, собранные в книгу. LT
Желаю успехов!
Физическая величина, инвариант, закон сохранения
Прежде чем начать наши исследования, выберем систему измерения, которой будем пользоваться. Только в этом случае мы подойдем к истине. Для этого обратимся к интересному документу: Брянск. 1974г. Академия наук СССР, научный совет по комплексной проблеме «кибернетика», проводят семинар-моделирование динамических систем. Труды семинара «Кибернетика электроэнергетических систем».
Статья Р. О. ди Бартини и П.Г.Кузнецова «Множественность геометрий и множественность физик» посвящена Системе пространственно-временных величин, системе LT. Фундаментальные понятия одной из физик:
ГРУППА
ПРЕОБРАЗОВАНИЯ
ИНВАРИАНТ
ФИЗИЧЕСКАЯ ВЕЛИЧИНА
Группа преобразований, имеющая определенную величину инвариантом, есть одна из физик. Инвариантом физической величины принято называть закон сохранения.
Статья заканчивается: «Рассмотренные нами примеры преследуют цель показать возможность формирования нового научного направления, значение которого как для решения прикладных задач, так и для развития теории трудно переоценить.
Авторы выражают свою признательность академикам Н. Н. Боголюбову и Б. М. Понтекорво за полезные советы и интерес к их работе».
Большой цикл исследований Н.Н.Боголюбова, выполненных совместно с Н. М. Крыловым, относится к одному из важнейших пограничных разделов между современной теорией дифференциальных уравнений и функциональным анализом: ученые создали так называемую теорию инвариантной меры в динамических системах.
В статье нет ни слова о генераторах, линиях электропередачи и трансформаторах, но она имеет прямое отношение к теме. В каждом районе электрических сетей диспетчерская служба и автоматика строго следят, чтобы получаемая энергия равнялась потребляемой и передаваемой в другие районы с учетом К. П. Д. Это закон сохранения энергии, и, соответственно, закон сохранения мощности.
Система LT является оптимальной системой при анализе и вычислениях преобразований в динамических системах мега и микромира.
Парадокс времени!
Мы живем в мире, который постоянно меняется. Эти перемены мы ощущаем постоянно вокруг себя, меняемся и мы сами – эти перемены, события, различные преобразования мы называем течением времени.
Скорость течения времени этих процессов мы связываем с естественными периодическими процессами, сменой дня и ночи – сутками, или сменой состояния в природе – месяцами, или годами. Эти процессы обусловлены вращением Земли вокруг своей оси и вокруг Солнца.
Кроме естественных систем отсчета преобразований, мы создали искусственные – часы. Но ведь они не меряют время! Точные периодические колебания, переведенные в цифру, служат нам отсчетом периодов процессов, в которых мы участвуем. Мы считаем – время идет.
Классическая наука утверждает, что масса замедляет ход времени! Но, в таком случае, эффекта близнецов не может быть: замедляются все процессы, как в летящей ракете, так и на Земле.
Природа предлагает нам замечательную формулу.
Согласно этой формулы на планете с большей массой процессы преобразования будут идти быстрее, т.е. время.
Откроем Библию: у Господа один день, как тысяча лет, и тысяча лет как один день. Почему древние мыслители считали, что с уходом координаты отсчета от Земли в космос время замедляет свой ход? Семь дней сотворения мира Творцом не являются семью днями в нашем понимании. Это тысячи лет у нас и один день у Творца.
Согласно приведенной формулы ход времени зависит от напряженности гравитационного поля. Эта напряженность у всех планет различна, у каждой планеты свой ход времени, своя скорость всех преобразований. Тогда эффект близнецов возможен. Космонавт, совершивший длительное космическое путешествие, будет выглядеть моложе брата-близнеца, живущего на Земле.

Законы Кеплера – часть более общего
закона движения планет
Чтобы найти истину, каждый должен хоть раз в жизни освободиться от усвоенных им представлений и совершенно заново построить систему своих взглядов.
Рене Декарт, фр. философ, математик и физик, XVII век.
Предлагаемый вниманию читателей материал и математические выкладки, непосредственно касаются законов немецкого астронома и математика XVI – XVII веков Иоганна Кеплера. Он был, прежде всего, теоретиком, увлеченным, а точнее, вооруженным мощью математики, преклоняющимся перед числами и с немецкой педантичностью ищущим во всем мироздании не только математические соотношения, а еще красоту и гармонию.
Три закона Кеплера поражают своей четкостью и информативностью.
гласит, что орбиты всех планет являются эллипсами с общим фокусом, в котором находится Солнце. Первый закон
говорит о том, что каждая планета по своей орбите движется так, что ее радиус-вектор за одинаковые промежутки времени проходит равные площади. Второй закон
И. Кеплер вывел, изучая работы знаменитого астронома Т. Браге за предшествующие полвека. Третий закон
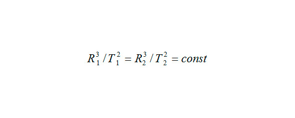
Первые два закона увидели свет в 1609 году. Спустя 10 лет был опубликован третий закон движения планет – в книге «Гармония мира». Эту зависимость великий астроном сформулировал так: отношение кубов больших полуосей орбит двух любых планет Солнечной системы равно отношению квадратов периодов их обращения вокруг Солнца.
Значение этих законов в познании мироздания неоспоримо. Вот слова американского физика, лауреата Нобелевской премии Л. Купера: «Эти законы представляли собой выдающееся достижение. Результаты двадцатилетних наблюдений итысяч измерений оказались сконцентрированными в простой системе кривых и правил. Всякий, кто захотел бы в будущем создать свою систему мира, должен был позаботиться, чтобы она содержала в себе эти три закона, описывающие движения планет. После Кеплера (признанного законодателем небес) возникал только один вопрос: какая из теорий дает правила Кеплера?» [3]
Увы, до настоящего времени такой теории нет. А ведь мыслители прошлого указывали на интересные факты. Великий Ньютон объяснил, что означает третий закон И. Кеплера: формула доказывала существование некой величины, которую он называл массой и которая сохраняется постоянной в планетных движениях. Что это за масса?
Дж. Максвелл пошел еще дальше, когда в 1873 году в своем трактате «Электричество и магнетизм» установил, что размерность массы – м/с, и что для создания системы измерения достаточно двух основных единиц измерения: L— длина, Т – время (метр, секунда). Все измерения в дальнейшем производим, пользуясь этой системой. 3 2
Запишем третий закон И. Кеплера:
Какая величина скрывается под выражением const?
Эти выражения встречаются в различной специальной литературе. Например, в книге уже упомянутого американского физика Л. Купера «Физика для всех» величина различна для всех планет, хотя и близка по значению. В книге американского физика Кл. Э. Суорца «Необыкновенная физика обыкновенных явлений» отношение дано одинаковой цифрой для всех планет. Почему? R/T 3 2 T/R 2 3
Обратимся к выражению . Умножим это соотношение на постоянный коэффициент, равный . Получаем: . R/T 3 2 4π 2 4πR/T 2 3 2
Эта формула приводится в учебниках физики для расчетов массы Солнца, но в ней отсутствует еще один множитель – постоянная Кавендиша. Этот множитель необходим только для перевода размерности L, T (метр, секунда) в килограммы (тонны).
Третий закон Кеплера в нашей трактовке принимает вид:
(размерность здесь и далее L, T). 4πR/T=m Солнца 2 3 2
Но в этом случае, подчеркнем, если величину , где -расстояние от Земли до Солнца (м), а – время одного оборота Земли вокруг Солнца (с), разделить на квадрат скорости движения Земли по орбите вокруг Солнца, получим – расстояние от Земли до Солнца. В свою очередь, если разделить значение этого расстояния еще раз на величину скорости, то получим время одного оборота Земли вокруг Солнца, деленное на . 4πR/T 2 3 2 R Т R 2π
Естественно, что эти расчеты можно провести, подставив величины и , соответствующие движению любой другой планеты по своей орбите. Пытливому читателю предоставлена возможность провести эти расчеты самостоятельно. R Т
На основании изложенного можно сделать вывод, что массу Солнца формирует динамика вращательного движения. Ведь в формуле не участвует значение массы планет!
Перейдем ко второму закону движения планет И. Кеплера и попытаемся определить его сущность. Для этого обратимся к вихрю. Да, к тому самому вихрю, который мы часто наблюдаем на улицах и площадях своих городов, в парках или в поле. Его разновидности – тайфуны и торнадо – нам показывают по телевидению. Вихрю посвящены сотни статей в научно-популярной и специальной литературе.
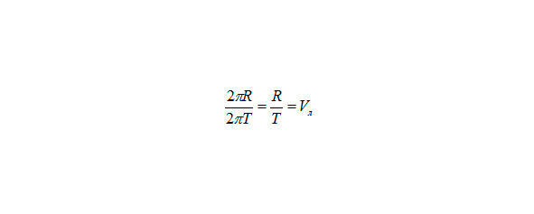
В специальной литературе по аэро- и гидродинамике приводится формула движения частицы в плоском вихре: . Это выражение можно сформулировать так: при вращении вихря радиус-вектор движущейся точки заметает равные площади в единицу времени: RV=соnst
, м/с R2πR/T=соnst 2
Таким образом, мы математической формулой выразили второй закон И. Кеплера. Квантованием получаем ряд:
, м/с – масса Солнца. (Третий закон И. Кеплера). 4πR/T 2 3 2 3 2
, м/с – площадь, заметаемая радиус-вектором в единицу времени. (Второй закон И. Кеплера). 2πR/T 2 2
,м – радиус движения точки вихря. R
, с – время одного оборота точки вихря. Т/2π
Единицей квантования данного ряда является линейная скорость движения точки данного вихря или любой планеты Солнечной системы.
В этом ряду формул чувствуется определенная закономерность!
Чтобы продолжить наши исследования, нам необходимо обратиться к работам нашего современника, человека необычной судьбы – Роберта Людвиговича Бартини.
Сын богатого итальянского барона-аристократа, он ни в чем не знал отказа: собственные яхты и вилла на берегу Адриатики, громадная библиотека отца, где мальчик зачитывался сочинениями Вольтера, Руссо, Дидро. В начале Первой мировой войны Бартини попадает в плен к русским. По возвращении в Италию экстерном заканчивает Миланский политехнический институт. С приходом к власти Муссолини Бартини покидает Италию и возвращается в Россию, где становится видным авиаконструктором. Известны его скоростные, на то время, самолеты «Сталь-6» и «Сталь-7» [7, 23].
Но нас будут интересовать не самолеты Бартини, а Таблица «Система пространственно-временных величин»
,предложенная им совместно с П. Кузнецовым. Она состоит из вертикальных столбцов, представляющих собой целочисленные степени длины Lи горизонтальных строк – целочисленных степеней времени Т. Пересечение каждого столбца и каждой строки автоматически дает размерность той или иной физической величины. Авторы пытались максимально заполнить клеточки таблицы известными физическими величинами.
Однако таблица не была привязана к физической реальности, она не имела ни одной математической формулы для выполнения анализа системы.
Автор, совместно с Волкевичем И. Ф. предлагают таблицу, построенную по тому же принципу, но заполненную математическими формулами. Она называется «Таблица формул для расчетов преобразований во вращательном и колебательном движениях» .
В нее прекрасно вписываются законы И. Кеплера. Таблица полна гармонии. По сути, мы имеем дело с одной формулой, ядром всей таблицы: . Основой таблицы является столбец и строка . На их пересечении находится безразмерная единица. Почему? На этот вопрос пока ответа нет. Всего в таблице 56 клеточек, из них 7 – от индуктивности до энергии – являются основными, которые определяют параметры процесса вращения любой планеты Солнечной системы вокруг Солнца: RV n m М 0 С 0 RV 1 -2 RV 1 4
– энергия системы «Солнце – Земля», м/с. 16πR/T, RV 4 5 4 1 4 5 4
– импульс системы «Солнце – Земля», м/с. 8πR/T, RV 3 4 3 1 3 4 3
– гравитационный заряд (масса) ядра вихря, масса Солнца (третий закон И. Кеплера), м/с. 4πR/T, RV 2 3 2 1 2 3 2
– площадь, заметаемая радиусом движения планеты Земля на орбите вокруг Солнца в единицу времени (второй закон И. Кеплера), м/с. 2πR/T, RV 2 1 1 2
– радиус движения планеты Земля на орбите вокруг Солнца. Емкость системы «Солнце-Земля», м. R, RV 1 0
– период обращения, деленный на с. Т/2π, RV 1 -1 2π,
– индуктивность системы «Солнце – Земля», с/м. Т/4πR, RV 2 2 1 -2 2
Поскольку мы имеем дело с вращательным движением, вводим число с соответствующей степенью. Число учитываем только при вычислениях с применением величин R и Т. π, π
Считаем, что оптимальным вращательным движением будет динамика среды – вихрь. Этого мнения придерживался Декарт, эти же идеи были и у Кеплера.
В рамках публикации просто невозможно произвести математические выкладки, поэтому предлагаем читателю данные расчета движения системы «Солнце – Земля». Расчеты для системы «Земля – искусственный спутник» или «Земля – Луна» предлагаем вам выполнить самостоятельно.
117,8 · 10 – энергия системы «Солнце – Земля». 27
39,55 · 10 – импульс системы «Солнце – Земля». 23
13,28 · 10 – гравитационный заряд (масса) ядра вихря, масса Солнца (третий закон И. Кеплера). 19
4,46 · 10 – площадь, заметаемая радиусом движения планеты Земля на орбите вокруг Солнца в единицу времени (второй закон И. Кеплера). 15
1,49 · 10 – радиус движения планеты Земля на орбите вокруг Солнца. Емкость системы «Солнце – Земля». 11
0,502 · 10 – период обращения, деленный на 2π. 7
0,168 · 10 – индуктивность системы «Солнце – Земля». 3
Обращаем внимание читателей на то, что масса ядра вихря Солнечной системы, масса Солнца равна (система L,Т) – 13,28 · 10, м/с. 19 3 2
Аналогично и масса Земли – 3,98 · 10 м/с. 14 3 2
Последняя физическая величина хорошо известна в классической физике. Первую космическую скорость (она различна на разных высотах над земной поверхностью) можно вычислить по формуле:
, м/с- геоцентрическая гравитационная постоянная! В нашей редакции – это масса Земли. RV=3,98 · 10 1 2 14 3 2
Интересна клеточка времени , которая расположена между индуктивностью и емкостью —. Это говорит о том, что система при вращении находится в резонансе. Отсюда прекрасно выводится формула Томсона: Т/2π Т/4πR 2 R
, с, или, учитывая, что согласно таблице , имеем: , с. Т=2π (LC) 1/2 L=1/g Т=2π (1/g) 1/2
В этой формуле, как и в формуле движения планет, не учитывается масса маятника!
Эта формула, определяющая ход времени, была незаслуженно забыта при создании различных теорий строения Вселенной. А ведь без знания значения емкости и индуктивности определить ход времени невозможно. Да и напрашивается вопрос: а может ли время быть без емкости и индуктивности?
Начав разговор о времени, мы должны перейти к вопросу о мерности пространства. Мы живем в мире, где имеются три координаты пространственные и одна – временная. В древности уже существовала идея (3+1) мерного континиума. дальнейшее развитие эта мысль получила в работах философа И. Канта, других мыслителей, философов, математиков, в их числе и Р. Бартини.
В 1908 году Минковский, учитель Эйнштейна, на 80-м съезде германского общества натуралистов и физиков объединяет пространство и время:
«Взгляды на пространство и время, которые я хочу изложить перед вами, развивались на основе экспериментальной физики, и в этом их сила. Они радикальны. Отныне пространство само по себе и время само по себе обратились в простые тени, и только какое-то единство их обоих сохранит независимую реальность».
Интересно, что предложенный нами ряд хорошо вписывается в понятие мерности пространства.
Течет время – есть точка!..
Движение точки по спирали в вихре (другого пути нет) дает прямую (радиус). Это одномерность.
Движение прямой (радиуса) в вихре дает площадь. Это двухмерность.
Движение площади в вихре формирует объем? Нет – массу!!! Это трехмерность.
И все три пространственные координаты (измерения) завязаны со временем.
Прямая строка в таблице дает Евклидову геометрию: точка, прямая, площадь, объем и т. д. – то, что выходит за рамки нашего представления о реальном мире. В этом случае время стоит (отсутствует). Оно существует только во вращении. С 0
Здесь уместно привести такой факт.
«Пифагор изучил эзотерическую науку в Индии; его ученики и говорят: «Монада (Проявленное) есть начало всего. От Монады и неопределенной Диады (Хаоса) произошли Числа (информация. – Прим. автора); От Чисел – Точки; от Точек – Линии; от Линий – Поверхности; от них – твердые тела, имеющие четыре элемента -Огонь, Воду, Воздух и Землю; из всех них, претворенных взаимодействием и совершенно измененных, и состоит Мир». от поверхностей – твердые тела;
Идеи совпадают? Но почему от поверхностей – твердые тела? Ведь это прямое указание на формулу или . Т.е. масса определяется: m=R·V 2 R·2πR/T·V=m
2-й закон Кеплера · m= V
Неужели уже тогда знали то, к чему мы пришли только сейчас?
Вращательное движение уникально. Только в нем могут возникать изменения центробежных и центростремительных сил, различные ускорения, изменения взаимодействия потенциальной и кинетической энергий и, в конечном счете, преобразование информации.
Вот идея, высказанная Ильей Пригожиным (бельгийский ученый, лауреат Нобелевской премии по химии) в книге «Великий Союз»: «Если подогревать кастрюлю с водой, то мы вызовем непрерывный подъем горячей жидкости, тогда холодная вода будет опускаться вниз. Кроме того, однако, наблюдается выделенное движение конвекционных потоков, препятствующих встрече горячей воды с холодной. Таким образом происходит разделение холодной воды и горячей и появление уникальной упорядоченности. Мы наблюдаем увеличение локального порядка, связанного с увеличением беспорядка в других местах». Добавим: возможно, вращательное движение (вихрь) является своего рода «демоном Максвелла», осуществляющего деление информации и энтропии, создавая порядок (цикличность) в одних местах, ближе к центру, и уменьшая его к периферии.
Вихрь – ключ к науке XXI века. Поняв законы его образования, вращения, преобразования происходящего в нем, взаимодействия различных вихрей и их исчезновения, человек может ответить на три вопроса:
1. Что такое Время?
2. Перемещение в пространстве с учетом времени.
3. Передача и обработка информации в природе.
При применении системы LT к расчетам параметров вращательного движения с помощью таблиц были обнаружены некоторые особенности вычислений.
Например, при расчете движения Земли вокруг Солнца, в таблице есть три величины, которые связаны между собой:
радиус вращения – R
период обращения – /2 T π
линейная скорость движения на орбите – V л
Тогда имеем:
Классическая физика этого нюанса не учитывает, когда производит расчет вращательного движения.
Тогда, пользуясь таблицей (величинамии), для определения массы импульса энергии, мощности и т.д., в формулу в числитель вносим величину в соответствующей степени, такую же величину необходимо внести и в знаменатель! То есть, величина в расчетах сокращается.




Фундаментальные (Планковские) величины
Космология – наука о происхождении Вселенной пользуется специальной системой измерения М. Планка. Ее значения определены с помощью фундаментальных величин: постоянной Планка, гравитационной постоянной и скорости света.
Вот некоторые из этих величин
Единица длины = 1,61 · 10 l p M —35
Единица времени = 0,54 · 10 t p C —43
Единица массы= 2,18 · 10кг=14,54 · 10 м/с[18]. m p —8 —19 3 2
Интересно, что в системе измерения Планка единица сопротивления имеет вполне определенную величину = 0,34 · 10c/м.Это величина обратная скорости света. r p —8
Классическая физика называет эти величины фундаментальными и пользуется ими для характеристики процессов, происходящих при Большом взрыве.
Теория Большого взрыва была создана трудами ученых А. Эйнштейна, А. Фридмана, Г. Гамова, Э. Хаббла. Согласно этой теории, расширение Вселенной является ее одним из основных свойств, и красное смещение в спектрах галактик говорит об их взаимном удалении друг от друга с увеличением скорости, которое продолжается с момента их возникновения.
Современная физика утверждает, что фундаментальные величины присущи веществу в момент = 0,54 · 10,после Большого взрыва, когда начали работать законы квантовой механики. При этом, радиус вещества был = 1,616 · 10, его плотность составляла = 3,47 · 10кг/м, а температура была = 10. Теория интересная. Но возникает множество вопросов. Почему взяты только эти величины? Появляется желание продолжить этот ряд и поставить следующую величину, определенную Планком: = 2,18 · 10. Но ведь эта величина явно не вписывается в таблицу, построенную на идее Большого взрыва. Ведь масса вещества Вселенной, спрессованного до фундаментальной плотности, явно не может быть равной планковской массе! Вот, что об этом говорит профессор И. Шкловский: «Конечно, очень трудно себе представить, что вся эта огромная масса, исчисляется совершенно фантастической цифрой – десять с пятьюдесятью нулями тонн – была втиснута в столь микроскопический объем. И тем не менее – это факт! Затем, по неизвестной нам пока причине, 20 миллиардов лет назад, эта „точка“ взорвалась. Взрыв был настолько чудовищный, что вещество, скрытое в ней, до сих пор разлетается в разные стороны с огромной скоростью». t p C R p м ρ p T p K m p кг —43 —35 96 3 32 —8

