
Анализ рядов динамики в электронных таблицах. Учебное пособие

Анализ рядов динамики в электронных таблицах
Учебное пособие
Валентин Юльевич Арьков
© Валентин Юльевич Арьков, 2020
ISBN 978-5-4498-0461-7
Создано в интеллектуальной издательской системе Ridero
Введение
В данной работе мы рассмотрим раздел «Динамика». Здесь изучают данные, привязанные ко времени. Мы будем опираться на две предыдущие работы: «Анализ распределения (Сводка и группировка)» и «Анализ взаимосвязи (Корреляция и регрессия)». Работа выполняется в последней версии Microsoft Excel, хотя при желании можно использовать любой другой пакет типа электронных таблиц.
Рекомендуем работать с ноутбуком или настольным компьютером. На данном этапе мы не советуем использовать мобильные или облачные версии электронных таблиц, поскольку набор функций в них будет несколько ограничен.
Как и в предыдущих работах, вначале мы сгенерируем случайные числа и потренируемся на них, а затем поработаем с реальными данными.
1. Цель и задачи
Целью данной работы является освоение методов статистического АНАЛИЗА ДИНАМИКИ социально-экономических явлений. В статистике есть ряд стандартных инструментов и технологий для анализа динамики. Эти методы появились гораздо раньше, чем вычислительная техника. Фактически, большинство компьютерных программ реализуют те методы, которые были разработаны в далёком прошлом и прошли проверку временем.
Для достижения поставленной цели мы будем решать следующие задачи:
1. Мы проведём имитационное моделирование рядов динамики с помощью генератора случайных чисел. В каждом варианте задания будет два ряда динамики – аддитивная и мультипликативная модели. Заодно подробно разберёмся, как эти модели устроены и как они работают.
2. Мы рассмотрим методы сглаживания ряда динамики. Это разнообразные скользящие средние и их вариации. В числе прочего, нас ожидает скользящая медиана.
3. Мы проведём линию тренда на графике и построим уравнение тренда. Будем работать с самым простым вариантом – линейной моделью.
4. После освоения инструментов анализа динамики мы применим их к реальным данным о ценах на акции на Московской бирже. Мы построим разные виды биржевых графиков, нанесём на них линии тренда, а также проведём сглаживание.
Все описанные выше действия мы будем проводить несколькими способами. Это и встроенные средства графиков, и надстройка «Анализ данных», и готовые функции Excel, и формулы, которые мы пропишем вручную.
2. Отчёт
Отчёт по работе оформляется в одном файле (рабочей книге) Microsoft Excel. Все действия и комментарии фиксируем в документе. Отдельный текстовый файл оформлять не требуется. Оформление отчёта мы уже подробно рассмотрели в первой работе [1].
Задание. Создайте новый документ Excel и сохраните в файле с коротким информативным названием. При необходимости обращайтесь к описанию первой работы.
Первый лист книги Excel называем 01. На титульном листе указываем следующие сведения (в соответствии с требованиями к оформлению текстовых документов):
– название министерства;
– название вуза;
– название кафедры, которая проводит занятия;
– название дисциплины;
– тип документа;
– номер и тему работы;
– номер варианта;
– номер группы;
– фамилии и инициалы студентов;
– должность, фамилию и инициалы преподавателя;
– город;
– год.
Для каждого задания создаём новую страницу в книге Excel и называем её в соответствии с выполняемым действием. Чтобы не загромождать вкладки длинными названиями, будем указывать только порядковые номера страниц. А вот на самих страницах можно написать название поподробнее.
Задание. Создайте две новых страницы и озаглавьте их 02 и 03. В верхней части листов укажите соответственно «Оглавление» и «Задание».
Для удобства навигации по тексту сделаем оглавление со ссылками на каждую страницу отчёта. Кроме того, на каждой странице сделаем ссылку на страницу оглавления. Подробности работы с оглавлением мы тоже рассмотрели в описании первой работы.
Задание. Оформите оглавление.
3. Ключевые термины
В этом разделе нам придётся рассмотреть несколько самых что ни на есть важных, ключевых слов. Чтобы потом говорить на одном языке. Чтобы понять несложную теорию вопроса. Чтобы читателю было более или менее ясно, что делать в заданиях.
В конце данного учебного пособия приводится словарик. В этом словарике мы повторим короткие объяснения значений терминов. К моменту защиты работы студент должен понимать все эти термины и быть способным объяснить их значение своими словами (не наизусть).
3.1. Динамика
ДИНАМИКА – это раздел статистики, в котором изучается изменение каких-нибудь значений во времени. Это просто последовательность моментов времени и соответствующие им числовые значения. В других дисциплинах слово «динамика» может означать что-нибудь другое. К примеру, в физике слово «динамика» – это название раздела, в котором изучается движение тел под воздействием сил. Ну а в обычном, разговорном понимании «динамика» – это просто изменение чего-нибудь – безо всякого изучения, анализа и математических формул.
Происходит слово динамика от греческого dynamis – «сила, мощь». В английском языке есть дополнительное значение у похожего слова dynamics – «движущая физическая или моральная сила, источник изменений или движения в какой-либо ситуации». В русском языке у слова «динамика» такого значения нет, но зато многие родственные слова с корнем «динам…» имеют оттенок «силы или энергии». В статистике раздел «Динамика» имеет дело только с изменениями значений, и здесь не рассматриваются «движущие силы».
Задание. Дайте определение слову ДИНАМИКА.
3.2. Ряд динамики
Наши исходные данные называются РЯД ДИНАМИКИ – это последовательность числовых значений с привязкой ко времени. Иногда используют другие названия: динамический ряд или временнóй ряд. Английское название: Time Series.
В данной работе мы рассматриваем самую простую ситуацию: постоянный шаг по времени, а моменты времени пронумерованы 1, 2, 3 и т. д. В теории статистики рассматриваются и другие варианты по привязке данных ко времени. Эти подробности мы будем обсуждать на практических занятиях и опишем в другой книге. Пока нужно хотя бы с этим материалом разобраться.
Очень упрощённо можно сказать, что ряд динамики – это таблица последовательных значений чего-нибудь: цен на один и тот же товар, курса одной и той же валюты, количества произведённой продукции на одном и том же предприятии. Это колонка исходных данных, упорядоченных по времени. В таблице может быть указано время. А может и не быть указания времени. Но в любом случае, значения идут друг за другом, в хронологическом порядке.
Задание. Дайте определение выражению РЯД ДИНАМИКИ.
Вот, кстати, ещё одно слово: ХРОНОЛОГИЯ. В нашем случае слово хронология означает «последовательность каких-либо событий во времени; временнáя последовательность». Происходит от греческих слов chronos – «время» и logos – «учение, изучение, описание».
Задание. Дайте определение слову ХРОНОЛОГИЯ.
3.3. Уровень
Отдельное значение в ряду динамики называется УРОВЕНЬ РЯДА или просто уровень. Поэтому можно встретить такие фразы: «По сравнению в уровнем прошлого года». Условное обозначение: y (t) или просто y. С одной стороны, это латинская буква «игрек». С другой стороны, эта русская буква «У» – начало слова «уровень». Вот такая игра слов. Точнее, букв.
Задание. Дайте определение выражению УРОВЕНЬ РЯДА.
3.4. Анализ
Считается, что в рядах динамики могут присутствовать разные составные части. При анализе динамики эти части пытаются выделить и рассмотреть по отдельности. Слово АНАЛИЗ означает «разделение на части и рассмотрение по частям, а также изучение того, как эти части соединяются в единое целое». Происходит от греческого слова analysis – «разложение, растворение», где ana – «обратно» и lysis —«развязывание, разрешение, освобождение; растворение».
Задание. Дайте определение слову АНАЛИЗ.
3.5. Компонент
Итак, анализ – это деление на составные части, выделение компонентов. КОМПОНЕНТ – это составная часть чего-либо. Происходит от латинского слова componens – «составляющий», от componere – «складывать; строить; сочинять», где com– — «с, вместе» и ponere – «класть, ставить». Получается, что буквальное значение слова компонент – «составная часть, составляющая». Обратите внимание, что слово компонент мужского рода.
Задание. Дайте определение слову КОМПОНЕНТ.
3.6. Компоненты ряда динамики
Какие же компоненты ряда динамики пытаются выделить и изучить по отдельности при проведении анализа? Для начала перечислим эти три составные части:
T – тренд;
S – колебания;
E – случайность.
Далее в работе мы будем использовать эти условные обозначения в наших несложных формулах. Каждый компонент мы тоже подробно обсудим – буквально в следующем абзаце.
Каждый из этих трёх компонентов не похож на два других. Их перепутать невозможно. Слишком уж они разные.
Задание. Перечислите три компонента динамики и укажите их обозначения.
3.7. Тренд
ТРЕНД – основная тенденция ряда динамики, долгосрочное направление в развитии, изменении чего-либо. Английское название: Trend. Условное обозначение – латинская буква T. Происходит от английского слова trend – «изгиб реки; направление движения, изменения», от глагола trend – «отклоняться; изгибаться, загибаться».
Задание. Дайте определение слову ТРЕНД.
3.8. Колебания
КОЛЕБАНИЯ – это повторение изменений с течением времени. Колебания происходят вокруг среднего значения. А точнее, вокруг тренда. Происходит от слова колебать – «качать, укачивать». Получается, что это «качание» значений – то выше, то ниже среднего значения.
Задание. Дайте определение слову КОЛЕБАНИЯ.
3.9. Сезонные колебания
Мы будем рассматривать один из видов колебаний в экономике – это СЕЗОННЫЕ КОЛЕБАНИЯ. Слово СЕЗОН означает «время года», то есть «зима-весна-лето-осень». Эта смена времён года приводит к колебаниям цен в течение года – на картошку, апельсины, мороженое, плавки и тёплую одежду. Причины колебаний просты – на цены влияет время сбора урожая и, соответственно, температура за окном.
Происходит от французского слова saison – «время года», от латинского satio – «время сева», от serere – «сеять». Понятно, что время сева для каждого вида растений каждый год одинаково – например, весна.
Условное обозначение – латинская буква S.
Наличие сезонных колебаний и сами эти колебания для краткости иногда называют СЕЗОННОСТЬ.
Задание. Дайте определение слову СЕЗОННОСТЬ.
3.10. Случайная составляющая
СЛУЧАЙНАЯ СОСТАВЛЯЮЩАЯ – это нечто непредсказуемое; то, что не удаётся учесть. Это непредсказуемая часть динамики, которая не была учтена с помощью двух предыдущих компонентов – тренда и колебаний.
Условное обозначение – латинская буква E. Можно предположить, что буква E – это намёк на английское слово Error – «ошибка». Понятно, что ошибка – это чаще всего что-то случайное, непреднамеренное.
Иногда встречается сокращённое название СЛУЧАЙНОСТЬ.
В противоположность случайности, оба предыдущих компонента рядов динамики являются закономерными, систематическими, неслучайными. Их можно даже пытаться предсказывать. При наличии тренда значения постоянно растут или постоянно падают. При наличии колебаний значения регулярно возрастают и уменьшаются – эта картина предсказуемо повторяется. А вот для случайности можно в лучшем случае указать границы разброса.
Задание. Дайте определение выражению СЛУЧАЙНАЯ СОСТАВЛЯЮЩАЯ.
4. Модели рядов динамики
Ряд динамики составлен из трёх компонентов, которые мы только что рассмотрели. Теперь остаётся вопрос: как именно соединить эти части в одну модель?
Обычно рассматривают два вида моделей динамики.
Вариант первый: сложить.
Вариант второй: перемножить.
Мы обсудим оба типа моделей. А потом ещё и сгенерируем данные обоих типов.
4.1. Аддитивная модель
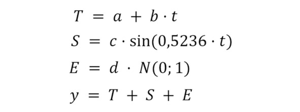
Сложение компонентов даёт нам АДДИТИВНУЮ МОДЕЛЬ:
y = T + S + E.
Естественно, это сумма для каждого момента времени. То есть каждый член уравнения зависит от времени и меняется со временем:
y (t) = T (t) + S (t) + E (t).
В дальнейшем мы не будем постоянно писать, что все компоненты зависят от времени. Но это подразумевается.
Слово АДДИТИВНАЯ означает «сложение», от английского add – «складывать».
Задание. Дайте определение слову АДДИТИВНАЯ.
Рассмотрим, как же происходит сложение компонентов (рис. 4.1).
На верхнем графике изображён тренд в виде прямой линии, направленной вверх. Это растущий тренд.
На среднем графике показаны сезонные колебания ВОКРУГ НУЛЯ. Например, это могут быть колебания от —20 до +20. То есть «плюс-минус двадцать рублей».
Теперь будем складывать эти два графика и построим нижний график: T + S. На графике колебаний есть точки, где линия S проходит через ноль: S = 0. Если к любому значению Т прибавить ноль, мы получаем то же самое значение Т. Это значит, что в этих точках мы окажемся на линии тренда.
Когда S положительно, линия S находится выше горизонтальной оси, и мы оказываемся выше линии тренда. Когда S отрицательно, мы будем ниже линии тренда. Так получаются колебания с постоянной амплитудой вокруг линии тренда. Размах этих колебаний соответствует амплитуде сезонных колебаний S. Например, «сто плюс-минус двадцать рублей» или «тысяча плюс-минус двадцать рублей».

Рис. 4.1. Тренд плюс сезонность
Нам предстоит делать много зарисовок по ходу выполнения работы. Технология вставки ручных зарисовок подробно описана в первой работе [1]. Можете ещё раз открыть это пособие и освежить в памяти материал.
Задание. Сделайте зарисовку рис. 4.1 и вставьте в отчёт.
4.2. Мультипликативная модель
Произведение компонентов даёт нам МУЛЬТИПЛИКАТИВНУЮ МОДЕЛЬ:
y = T * S * E.
Как и в предыдущем случае, каждый член уравнения является функцией времени:
y (t) = T (t) * S (t) * E (t).
Слово МУЛЬТИПЛИКАТИВНАЯ означает «умножение», от английского multiply – «умножать».
Можно умножать числа. Можно почувствовать, как происходит умножение на графике. Буквально увидеть умножение. Если вы его освоите, то в дальнейшем сможете легко узнать просто по внешнему виду.
Задание. Дайте определение слову МУЛЬТИПЛИКАТИВНАЯ.
Рассмотрим, как же происходит умножение компонентов (рис. 4.2).
На верхнем графике изображён растущий тренд – как и в предыдущем примере.
На среднем графике показаны сезонные колебания. Но теперь это колебания ВОКРУГ ЕДИНИЦЫ. Например, это могут быть колебания от 0,8 до 1,2. То есть плюс-минус 20% от единицы. Здесь колебания будут В ПРОЦЕНТАХ, а не в рублях!
Перемножим эти два графика и построим нижний график:
T * S.
На графике колебаний есть точки, где S проходит через единицу: S = 1. Если любое значение Т умножить на единицу, получим то же самое значение Т. Это значит, что в этих точках мы окажемся на линии тренда.
Когда S больше единицы, после умножения мы окажемся выше линии тренда. Когда S меньше единицы, мы будем ниже линии тренда. Получаем колебания вокруг линии тренда. Но теперь амплитуда колебаний будет изменяться вместе с трендом. Например, «плюс-минус двадцать процентов». Это «плюс-минус 200 рублей» вокруг значения 1000. А вокруг значения 2000 уже получим колебания «плюс-минус 400 рублей».

Рис. 4.2. Тренд умножить на сезонность
Задание. Сделайте зарисовку рис. 4.2 и вставьте в отчёт.
5. Варианты заданий
Теперь пришло время выбрать свой вариант – последнюю цифру номера зачётки. Если попалась цифра 0, берите вариант номер 10. Нулевой вариант будет использоваться для демонстрации приёмов выполнения работы.
Задание. Выясните свой номер варианта и укажите его на титульном листе отчёта.
В таблице 5.1 приведены варианты заданий с 0 по 10. Нам предстоит вставить параметры своего варианта в отчёт. Пока что это просто семь чисел. В следующем разделе мы с ними познакомимся поподробнее.
Задание. Вставьте параметры своего варианта в отчёт.

6. Зарисовки графиков
На следующих страницах отчёта мы сделаем зарисовки общей формы графиков наших исходных данных.
Изобразим три компонента по отдельности и их соединение в виде моделей рядов динамики (аддитивной и мультипликативной). Зарисовки делаем от руки на бумаге. Фотографируем и вставляем в отчёт, как обычно.
Зарисовки для каждой из обеих моделей расположим на разных листах отчёта.
Задание. Создайте две новые страницы в отчёте и дайте им соответствующие заголовки.
6.1. Аддитивная модель
Аддитивную модель будем строить по следующим формулам (рис. 6.1).

Рис. 6.1. Уравнения аддитивной модели
Вставляем формулы в отчёт (рис. 6.2). Продолжаем тренироваться писать от руки.

Рис. 6.2. Аддитивная модель
Задание. Запишите формулы аддитивной модели и вставьте в отчёт.
6.1.1. Тренд
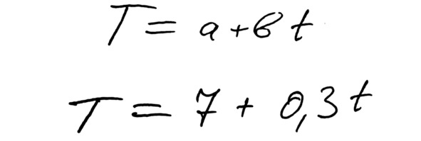
Вначале займёмся трендом. Запишем уравнение тренда для нулевого варианта (рис. 6.3).

Рис. 6.3. Уравнение тренда
Задание. Вставьте в отчёт уравнение тренда в соответствии со своим вариантом.
Теперь сделаем зарисовку формы тренда по нашему уравнению. Это уравнение прямой линии. Поэтому для построения графика достаточно взять две точки (рис. 6.4).

Рис. 6.4. Форма тренда
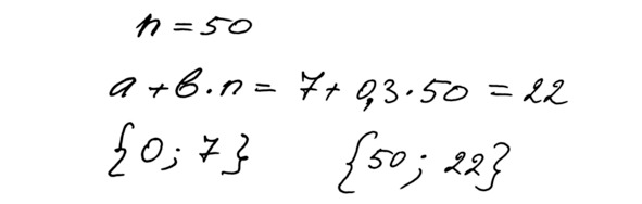
Линия тренда пересекает ось y в точке a. Это первая точка на графике. Координаты первой точки {0; a}.
Мы рассматриваем n отсчётов по времени. Значит, в правой части мы доходим до значения a + bn. Координаты второй точки {n; a + bn}.
Подставим параметры нулевого варианта. Получаем следующие точки (рис. 6.5).

Рис. 6.5. Расчёты тренда
Переходим к зарисовке тренда (рис. 6.6). Выбираем масштаб – «красивые» круглые числа. По горизонтальной оси от 0 до 50. По вертикальной оси от 0 до 30. Проводим линию тренда. Очень приблизительно. На глазок. Без линейки. Вставляем в отчёт.

Рис. 6.6. Зарисовка тренда
Задание. Сделайте зарисовку линии тренда и вставьте в отчёт.
6.1.2. Сезонность
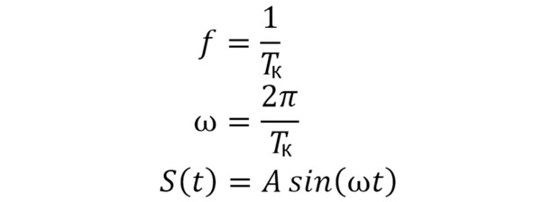
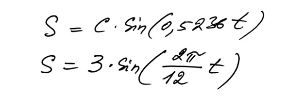
В формулу для сезонности мы заложили, «спрятали» определённый период колебаний. Период – это промежуток времени, через который график повторяется. Период колебаний Tк и коэффициент при переменной t связаны по следующим формулам (рис. 6.7).

Рис. 6.7. Уравнения колебаний
Коэффициент А определяет амплитуду колебаний.
Период колебаний традиционно обозначают латинской буквой Т. Мы добавим индекс к, чтобы отличать его от тренда, который тоже обозначили через Т. Такие сложности с обозначениями часто бывают при работе на стыке дисциплин. В нашем случае это одновременная работа с физикой и экономической статистикой. Физика изучает механические процессы вращения и колебаний. Статистика изучает колебания цен и других показателей в экономике.
Сезонные колебания связаны с временами года. Попробуйте угадать с одного раза: с какой периодичностью к нам приходит Новый год? Через сколько месяцев? Вот это и есть период сезонных колебаний. С таким периодом происходит, например, ежегодный всплеск цен на турпоездки в тёплые страны.
Частота колебаний f – это величина, обратная периоду колебаний Тк. Это количество колебаний или оборотов в единицу времени. Частота по-английски называется FREQUENCY. Видимо, поэтому частоту обозначают латинской буквой f.
Круговая частота «омега» связана с частотой f через множитель «два пи». Это коэффициент при t в аргументе функции синуса (рис. 6.8).

Рис. 6.8. Период колебаний
Задание. Вычислите период сезонных колебаний.
Мы разобрались с периодом колебаний. Теперь можно записать уравнение для сезонных колебаний в нашей аддитивной модели (рис. 6.9). Здесь учитывается амплитуда и период колебаний для нулевого варианта.
Вставляем уравнение в отчёт.

Рис. 6.9. Уравнение сезонности
Задание. Запишите уравнение сезонных колебаний для своего варианта и вставьте в отчёт.
Наконец-то у нас появилось уравнение для сезонных колебаний. Теперь можно сделать зарисовку графика.
График синусоиды проходит через ноль в точках 0, 6, 12, 18 и так далее. Это шаг, равный половине периода колебаний. Минимумы и максимумы будут соответственно в точках 3, 9, 15 и так далее.
Сделаем схематичную, примерную зарисовку графика сезонности (рис. 6.10). Вставляем график в отчёт.

Рис. 6.10. Зарисовка сезонности
Задание. Сделайте зарисовку графика сезонности по своему варианту и вставьте в отчёт.
6.1.3. Случайность
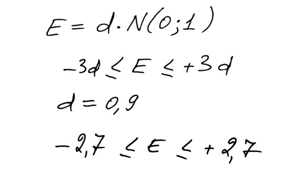
Рассмотрим случайную составляющую модели. Мы будем использовать стандартное нормальное распределение со средним значением 0 и дисперсией 1. Обозначение такое: N (0; 1). Латинская буква N означает «нормальное распределение». Числа в скобках – это две характеристики распределения: среднее равно 0, сигма (с.к.о.) равна 1
По «правилу трёх сигм» большинство значений будет находиться в диапазоне «среднее плюс-минус три сигмы». Коэффициент d в нашей модели определяет значение сигмы в каждом варианте. Поэтому диапазон значений получается следующий (рис. 6.11).

Рис. 6.11. Разброс случайности
Задание. Оцените размах значений случайной составляющей и вставьте свои выкладки в отчет.
Пришло время для зарисовки случайной составляющей. В нулевом варианте будет 50 отсчётов по времени. Размах значений мы уже определили.
Делаем зарисовку (рис. 6.12) и вставляем в отчёт.

Рис. 6.12. Зарисовка случайной составляющей

