
Анализ распределения в электронных таблицах. Учебное пособие

Оформление графика
Анализ реальных данных завершается краткими выводами, сообщающими о результатах, например:
– какие данные были проанализированы;
– какие были найдены аномалии в данных;
– какие закономерности были обнаружены.
Рассмотрим пример неудачно скомпонованного листа. Здесь элементы хаотично разбросаны по листу. Непонятно, что к чему относится, как связаны графики и таблицы. Лист придётся прокрутить, чтобы увидеть нижний график. Даже сам автор через пять минут не сможет сообразить, что тут было сделано, в каком порядке и зачем. В общем, такая работа производит неприятное, неряшливое впечатление.

Неудачное оформление листа
А вот другой пример оформления – более понятный для читателя и более приятный для глаза. Здесь есть общий заголовок листа: «Построение гистограммы с помощью надстройки». Все действия пронумерованы и озаглавлены. Выполнение расчётов начинается с формулы. Если сделано округление – об этом ясно сказано. Все результаты на видимой части листа. Читателю не придётся изменять масштаб или прокручивать лист в поисках остатков графиков и данных.

Удачное оформление листа
Это только пример, и здесь тоже можно найти, что улучшить. Как говорится, нет предела совершенству. К тому же, каждый может сделать по-своему. К примеру, можно не нумеровать каждое действие, а просто расположить их на листе в привычном порядке – сверху вниз и слева направо. Самое главное – сделать так, чтобы читателю стало понятно, что и как было сделано и что в результате получилось.
Оглавление отчёта
Второй лист отчёта – оглавление. В нашем случае это пронумерованный список разделов и ссылки на них. По мере создания новых листов отчёта можно постепенно добавлять ссылки в оглавление.
Чтобы создать ссылку на соответствующий лист отчёта, выберем в верхнем меню:
Insert – Links – Link
Вставка – Ссылки – Ссылка
Здесь и далее мы будем указывать пункты меню, группы и кнопки – что в каком порядке нужно пройти. В данном примере мы выбираем пункт верхнего меню Insert. Затем находим группу кнопок Links. В этой группе нажимаем кнопку Link. Обычно в группе бывает несколько кнопок.

Вставка ссылки
Появляется диалоговое окно
Insert Hyperlink
Вставка гиперссылки
В этом окне выбираем пункт
Place in This Document
Место в документе.
Выбираем номер листа в разделе
Or select a place in this document
Или выберите место в документе.
Введём название раздела в строке
Text to display
Текст
и нажмём OK.

Настройка ссылки
Оглавление может выглядеть следующим образом.

Пример оглавления
На каждом листе сделайте ссылку для быстрого возврата к оглавлению. Можно разместить эту ссылку рядом заголовком листа в левом верхнем углу окна.

Ссылка на оглавление
После создания оглавления проверьте работоспособность всех ссылок.
Варианты заданий
Познакомимся со своим вариантом задания. Ниже приведена таблица с вариантами. Для каждого варианта нужно будет исследовать нормальное и равномерное распределение с указанными параметрами.
Нулевой вариант используется в данном тексте в качестве примера, для демонстрации методики работы. Студенты выбирают варианты с 1 по 10.

Создайте новый лист в рабочей книге Excel. Присвойте ему очередной номер. Оформите заголовок листа: Задание. Включите в оглавление ссылку на этот лист, как описано выше. В дальнейшем каждый новый лист нужно последовательно нумеровать и добавлять ссылку на него в оглавление.
Разместите на листе номер варианта и все параметры своего задания. Как и ранее, информация должна быть понятна читателю. Пример приведён на рисунке ниже.

Описание задания
Нормальное распределение
Форма кривых нормального распределения представлена ниже.

Нормальное распределение
Форму нормального распределения определяют два параметра:
µ – среднее значение (математическое ожидание);
σ – стандартное отклонение.
График плотности вероятности p (x) симметричный относительно среднего значения. Кривая практически спадает до нуля при отклонении от среднего на три сигмы. Нарисуйте схематичное изображение кривой плотности вероятности, указав среднее и пределы изменения значений по оси х.
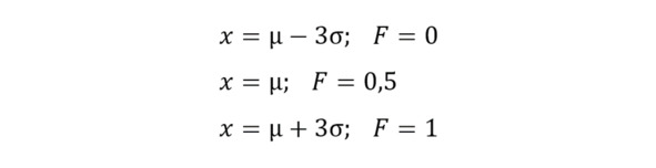
График кумуляты (накопленных частот) F (x) плавно возрастает. Кривая проходит через три ключевые точки – см. формулы.

Ключевые точки кумуляты
Конечно, это очень приближённое описание формы кривой. На самом деле, линия доходит до нуля и до единицы только при бесконечно больших и бесконечно малых значениях. Но нас сейчас интересует только общая картина.
Нарисуйте схематичное изображение функции распределения, указав среднее и пределы изменения значений по оси х – в соответствии со своим вариантом задания.
Пример зарисовки графиков распределения для нулевого варианта приведён ниже.

Зарисовка
Сделайте зарисовки формы распределения на бумажном листе от руки. Здесь не требуется искусство композиции или навык черчения. Достаточно схематичной зарисовки. В следующем разделе мы рассмотрим, как вставить зарисовку на лист Excel.
Характеристики нормального распределения определяются следующим образом – см. формулы.

Характеристики нормального распределения
Оцените характеристики распределения для своего варианта и укажите их на том же листе.
Зарисовки
При выполнении работы студент выполняет схематичную зарисовку в соответствии со своим вариантом задания. Отметим, что упражнения по рисованию, как и занятия чистописанием, развивают те способности, которые теряются при использовании компьютера.
Нам потребуется схематично, приближённо изобразить форму кривых распределения. При этом нужно мысленно представить форму и параметры кривой, чего не происходит при компьютерном построении графика по точкам.
Конец ознакомительного фрагмента.
Текст предоставлен ООО «ЛитРес».
Прочитайте эту книгу целиком, купив полную легальную версию на ЛитРес.
Безопасно оплатить книгу можно банковской картой Visa, MasterCard, Maestro, со счета мобильного телефона, с платежного терминала, в салоне МТС или Связной, через PayPal, WebMoney, Яндекс.Деньги, QIWI Кошелек, бонусными картами или другим удобным Вам способом.
Приобретайте полный текст книги у нашего партнера:

