
Анализ рядов динамики в электронных таблицах. Учебное пособие
Задание. Сделайте зарисовку графика случайной составляющей и вставьте в отчёт.
6.1.4. Сумма компонентов
Мы разобрались с отдельными компонентами и сделали зарисовки их графиков.
Пришло время сложить три компонента и получить общую форму графика наших данных. Мы получаем линию тренда. На неё накладываются сезонные колебания постоянной амплитуды. Период колебаний мы тоже знаем.
Как правильно сложить тренд и сезонность? Первое, что приходит в голову – это повернуть лист бумаги и нарисовать синусоиду вокруг линии тренда (левая часть рис. 6.13). Это будет не совсем правильно. Даже совсем неправильно. Подобные упущения встречаются даже в солидных учебниках, например, в книге [3].
Дело в том, что колебания происходят вверх-вниз от наклонной линии тренда (правая часть рис. 6.13). При растущем тренде растущая волна будет более пологая, а падающая часть – более крутая, обрывистая. Именно такую картину мы увидим, когда доберёмся до реальных данных.

Рис. 6.13. Зарисовка T + S
Плюс ко всему этому у нас будет случайный разброс, который составит примерно три сигмы (рис. 6.14). Случайный разброс тоже будет происходить вверх и вниз от графика. Для случайной составляющей мы просто укажем границы разброса. Пунктиром.

Рис. 6.14. Сумма компонентов
Задание. Сделайте зарисовку графика ряда динамики и вставьте в отчёт.
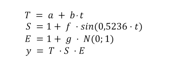
6.2. Мультипликативная модель
Второй вид моделей, который мы рассматриваем в данной работе, – это мультипликативные модели. На рис. 6.15 приведены формулы, по которым мы будем строить нашу мультипликативную модель.

Рис. 6.15. Мультипликативная модель
Задание. Запишите уравнения мультипликативной модели с параметрами своего варианта и вставьте в отчёт.
Конец ознакомительного фрагмента.
Текст предоставлен ООО «ЛитРес».
Прочитайте эту книгу целиком, купив полную легальную версию на ЛитРес.
Безопасно оплатить книгу можно банковской картой Visa, MasterCard, Maestro, со счета мобильного телефона, с платежного терминала, в салоне МТС или Связной, через PayPal, WebMoney, Яндекс.Деньги, QIWI Кошелек, бонусными картами или другим удобным Вам способом.
Приобретайте полный текст книги у нашего партнера:

