
Психоэнергетика
1) предпочитаю избегать этого;
2) принимаю потому, что это неизбежно;
3) получаю удовольствие, так как это меня подбадривает и стимулирует.
19. Когда Вы были моложе, большинство людей считало, что Вы:
1) часто стараетесь и по-настоящему хотите быть во всем первым и лучшим;
2) иногда стараетесь и Вам нравится быть во всем первым и лучшим;
3) обычно Вам хорошо так, как есть (обычно Вы расслаблены);
4) Вы всегда расслаблены и не склонны соревноваться.
20. Чем, по Вашему мнению, Вы отличаетесь в настоящее время:
1) часто стараетесь (или по-настоящему хотите) быть во всем первым и лучшим;
2) иногда стараетесь и Вам нравится во всем быть первым и лучшим;
3) обычно Вам хорошо так, как есть (обычно Вы расслаблены);
4) Вы всегда расслаблены и не склонны соревноваться.
21. По мнению Ваших родных или друзей Вы:
1) часто стараетесь (и по-настоящему хотите) быть во всем первым и лучшим;
2) иногда стараетесь и Вам нравится быть во всем первым и лучшим;
3) обычно Вам хорошо так, как есть (обычно Вы расслаблены);
4) Вы всегда расслаблены и не склонны соревноваться?
22. Как оценивают Ваши родные или друзья Вашу общую активность?
1) недостаточная активность, медлительность; надо быть активнее;
2) около среднего; всегда есть какое-то занятие;
3) сверхактивность, бьющая через край энергия.
23. Согласились бы знающие Вас люди, что Вы относитесь к своей работе слишком серьезно?
1) да, абсолютно;
2) возможно, да;
3) возможно, нет;
4) абсолютно, нет.
24. Согласились бы хорошо знающие Вас люди, что Вы менее энергичны, чем большинство людей?
1) да, абсолютно;
2) возможно, да;
3) возможно, нет;
4) абсолютно, нет.
2
5. Согласились бы хорошо знающие Вас люди с тем, что за короткое время Вы способны выполнить большой объем работы?
1) да, абсолютно;
2) возможно, да;
3) возможно, нет;
4) абсолютно, нет.
26. Согласились бы хорошо знающие Вас люди, что Вы легко сердитесь (раздражаетесь)?
1) да, абсолютно;
2) возможно, да;
3) возможно, нет;
4) абсолютно, нет.
27. Согласились бы хорошо знающие Вас люди, что Вы живете мирной и спокойной жизнью?
1) да, абсолютно;
2) возможно, да;
3) возможно, нет;
4) абсолютно, нет.
28. Согласились бы хорошо знающие Вас люди, что Вы большинство дел делаете в спешке?
1) да, абсолютно;
2) возможно, да;
3) возможно, нет;
4) абсолютно, нет.
29. Согласились бы хорошо знающие Вас люди, что Вас радует соревнование (состязание) и Вы очень стараетесь выиграть?
1) да, абсолютно;
2) возможно, да;
3) возможно, нет;
4) абсолютно, нет.
30. Какой характер был у Вас, когда Вы были моложе?
1) вспыльчивый и с трудом поддающийся контролю;
2) вспыльчивый, но поддающийся контролю;
3) вполне уравновешенный (не было проблем);
4) почти никогда не сержусь (не выхожу из себя).
31. Каким вы представляете свой характер сегодня:
1) вспыльчивый и с трудом поддающийся контролю;
2) вспыльчивый, но поддающийся контролю;
3) вполне уравновешенный;
4) почти никогда не сержусь (не выхожу из себя).
32. Когда Вы погружены в работу и кто-либо (не начальник) прерывает Вас, что Вы обычно чувствуете при этом?
1) я чувствую себя вполне хорошо, так как после неожиданного перерыва работается лучше;
2) я чувствую легкую досаду;
3) я чувствую раздражение, потому что это мешает делу.
33. Если повторяющиеся прерывания в работе действительно Вас разозлили, Вы:
1) ответите резко;
2) ответите в спокойной форме;
3) попытаетесь что-то сделать, чтобы это предотвратить;
4) попытаетесь найти более спокойное место для работы, если это возможно.
34. Как часто Вы выполняете работу, которую должны закончить к определенному сроку?
1) ежедневно или чаще;
2) еженедельно;
3) ежемесячно или реже.
35. Работа, которую Вы должны закончить к определенному сроку, как правило:
1) не вызывает напряжения, потому что привычна, однообразна;
2) вызывает сильное напряжение, так как срыв срока может повлиять на работу группы людей.
36. Вы сами себе определяете сроки выполнения работы на службе и дома?
1) нет;
2) да, но только изредка;
3) да, весьма часто.
37. Качество работы, которую Вы выполняете, к концу назначенного срока бывает:
1) лучше;
2) обычное;
3) хуже.
38. Бывает ли, что на работе Вы одновременно выполняете два или несколько заданий, делая то одно, то другое?
1) нет, никогда;
2) да, но не так часто;
3) да, постоянно.
39. Были бы Вы удовлетворены возможностью оставаться на нынешней работе в последующем году?
1) да;
2) нет, мне хотелось бы добиться большего;
3) конечно нет, я делаю все для того, чтобы меня повысили, иначе я буду очень расстроен.
40. Если бы Вы могли выбрать, то что бы Вы предпочли:
1) прибавку к заработной плате без продвижения в должности;
2) продвижение в должности без существенного повышения зарплаты.
41. К концу отпуска Вы:
1) хотите продлить его еще на недельку-другую;
2) чувствуете, что готовы вернуться к обычной работе;
3) Вам хочется, чтобы отпуск кончился и Вы могли вернуться к обычной работе.
42. Бывало ли так, что за последние три года Вы брали меньше дней отпуска, чем положено?
1) да;
2) нет;
3) нет, никогда.
43. Бывает ли, что во время отпуска Вы не можете перестать думать о работе?
1) да, часто;
2) да, иногда;
3) нет, никогда.
44. В последние три года Вы получали какие-либо поощрения на работе?
1) нет, никогда;
2) иногда;
3) да, часто.
45. Как часто Вы приносите работу домой или изучаете дома материалы, связанные с работой?
1) редко или никогда;
2) раз в неделю или реже;
3) почти постоянно.
46. Как часто Вы остаетесь на работе после окончания рабочего дня или приходите на работу в неурочное время?
1) на моей работе это невозможно;
2) весьма редко;
3) иногда (реже, чем раз в неделю).
47. Вы обычно остаетесь дома, если у Вас озноб или повышенная температура?
1) да;
2) нет.
48. Если Вы чувствуете, что начинаете уставать от работы, то Вы:
1) некоторое время работаете менее активно, пока силы не вернутся к Вам;
2) продолжаете работать так же активно, несмотря на усталость.
49. Когда Вы работаете в коллективе, другие ожидают от Вас, что Вы будете руководить?
1) редко;
2) не чаще, чем от других;
3) чаще, чем от других.
50. Вы записываете для памяти распорядок дня (что нужно сделать)?
1) никогда;
2) иногда;
3) часто.
51. Если кто-то поступает в отношении Вас нечестно, Вы:
1) прямо указываете ему на это;
2) находитесь в нерешительности и поступаете в зависимости от обстоятельств;
3) ничего не говорите об этом.
52. По сравнению с другими, выполняющими такую же работу, Вы прилагаете:
1) гораздо больше усилий;
2) несколько больше усилий;
3) примерно столько же усилий;
4) немного меньше усилий;
5) гораздо меньше усилий.
53. По сравнению с другими, выполняющими такую же работу, Вы чувствуете:
1) значительно большую ответственность;
2) несколько большую ответственность;
3) примерно такую же ответственность;
4) несколько меньшую ответственность;
5) значительно меньшую ответственность.
54. По сравнению с другими, выполняющими такую же работу, Вы чувствуете необходимость торопиться?
1) гораздо больше;
2) несколько больше;
3) столько же;
4) несколько меньше;
5) гораздо меньше.
55. По сравнению с другими, выполняющими такую же работу, Вы:
1) значительно более аккуратны;
2) несколько более аккуратны;
3) примерно в такой же степени аккуратны;
4) несколько менее аккуратны;
5) значительно менее аккуратны.
56. По сравнению с другими, выполняющими такую же работу, Ваше отношение к ней:
1) гораздо более серьезное;
2) несколько более серьезное;
3) мало отличается от других;
4) несколько менее серьезное;
5) значительно менее серьезное.
57. По сравнению с работой, которую Вы выполняли 10 лет назад, сейчас Вы работаете в течение недели:
1) больше часов;
2) примерно столько же;
3) меньше, чем раньше.
58. По сравнению с работой, которую Вы выполняли 10 лет тому назад, нынешняя работа требует:
1) меньшей ответственности;
2) столько же ответственности;
3) большей ответственности.
59. По сравнению с работой, которую Вы выполняли 10 лет тому назад, нынешняя работа:
1) более престижна;
2) столь же престижна;
3) менее престижна.
60. Сколько разных работ Вы сменили за последние 10 лет (учтите, пожалуйста, любые изменения в характере или месте работы)?
1) изменений не было или были однажды;
2) две;
3) три;
4) четыре;
5) пять и более.
61. За последние 10 лет Вы ограничили число своих развлечений из-за недостатка времени?
1) да;
2) нет.
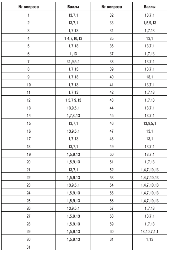
Обработка данных. В каждом вопросе (утверждении) выбранные варианты ответов оцениваются в баллах:

Если количество баллов не превышает 167, то с высокой вероятностью диагностируется выраженный тип поведенческой активности личности – тип А; 168–335 баллов – диагностируется определенная тенденция к поведенческой активности типа А (условно – А1); 336–459 – диагностируется промежуточный (переходный) тип личностной активности – тип АБ; 460–626 баллов – диагностируется определенная тенденция к поведенческой активности типа Б (условно – Б1); 627 баллов и выше – диагностируется с высокой вероятностью выраженный поведенческий тип личностной активности – тип Б.
Интерпретация результатов.
1. Для лиц с выраженной поведенческой активностью – тип А – характерны:
• преувеличенная потребность в деятельности – сверхвовлеченность в работу, инициативность, неумение отвлечься от работы, расслабиться; нехватка времени для отдыха и развлечений;
• постоянное напряжение душевных и физических сил в борьбе за успех, высокая мотивация достижения при неудовлетворенности достигнутым, упорство и сверхактивность в достижении цели нередко сразу в нескольких областях жизнедеятельности, нежелание отказаться от достижения цели, несмотря на «поражение»;
• неумение и нежелание выполнять каждодневную обстоятельную и однообразную работу;
• неспособность к длительной и устойчивой концентрации внимания;
• нетерпеливость, стремление делать все быстро: ходить, есть, говорить, принимать решения;
• энергичная, эмоционально окрашенная речь, подкрепляемая жестами, мимикой и сопровождающаяся нередко напряжением мышц лица и шеи;
• импульсивность, эмоциональная несдержанность в спорах;
• неумение до конца выслушать собеседника;
• соревновательность, склонность к соперничеству и признанию, амбициозность, агрессивность по отношению к субъектам, противодействующим осуществлению планов;
• стремление к доминированию в коллективе или компаниях, легкая фрустрируемость внешними обстоятельствами и жизненными трудностями.
2. Для лиц, у которых диагностируется тенденция к поведенческой активности типа А1, характерны:
• повышенная деловая активность, напористость, увлеченность работой, целеустремленность. Нехватка времени для отдыха компенсируется, в известной мере, расчетливостью и умением выбрать «главное направление» деятельности, быстрым принятием решения;
• энергичная, выразительная речь и мимика;
• эмоционально насыщенная жизнь, честолюбие, стремление к успеху и лидерству, неполная удовлетворенность достигнутым, постоянное желание улучшить результаты проделанной работы;
• чувствительность к похвале и критике;
• неустойчивость настроения и поведения в стрессонасыщенных ситуациях;
стремление к соревновательности, однако без амбициозности и агрессивности;
• при обстоятельствах, препятствующих выполнению намеченных планов, легко возникает тревога, снижается уровень контроля личности, но преодолевается волевым усилием.
3. Для лиц, у которых диагностируется промежуточный (переходный) тип поведенческой активности – АБ, характерны:
• активная и целенаправленная деловитость, разносторонность интересов, умение сбалансировать деловую активность, напряженную работу со сменой занятий и умело организованным отдыхом;
• умеренно выраженные моторика и речевая экспрессия.
• явная склонность к доминированию (в определенных ситуациях и обстоятельствах они уверенно берут на себя роль лидера);
• эмоциональная стабильность и предсказуемость в поведении, относительная устойчивость к действию стрессогенных факторов, хорошая приспособляемость к различным видам деятельности.
4. Для лиц, у которых диагностируется определенная тенденция к поведенческой активности типа Б1, характерны:
рациональность и неторопливость в делах и общении, сочетание интенсивной работы с отдыхом, расслаблением, естественная смена видов деятельности, когда этого требуют обстоятельства;
• долгое, подчас, обдумывание планов, сочетающееся с тщательным и ответственным их выполнением. Внешняя сдержанность в движениях и речи сочетается с выдержкой и невозмутимостью при неудачах, при общении с неприятным или неудобным собеседником;
• устойчивость к действию фрустрирующих ситуаций и обстоятельств, внутренняя эмоциональная стабильность и сдержанность в проявлении аффектов и чувств к другим людям.
5. Для лиц, у которых с высокой вероятностью диагностируется выраженный поведенческий тип Б, характерны:
отчетливая неторопливость, взвешенность и рациональность в работе и других сферах жизнедеятельности, преданность избранному делу, отсутствие стремления к сменам работы;
• скупость в движениях и проявлениях эмоциональных реакций и чувств, в том числе при общении с близкими и друзьями; обстоятельность и обязательность, надежность и предсказуемость в поведении, подчеркнутое дружелюбие и расположенность к окружающим;
• излишне долгое обдумывание планов деятельности, сочетающееся с весьма неторопливым и сверхтщательным исполнением даже незначительных фрагментов, нередко раздражающее окружающих;
• отсутствие стремления к соревновательности и соперничеству, неумение и нежелание спорить, но в то же время твердость в отстаивании своей точки зрения;
• отсутствие внешних проявлений неуверенности в своих силах и возможностях. Неумение, а подчас и нежелание быстро менять стереотипы деятельности в приспособлении к ситуациям, требующим быстрого принятия ответственного решения или смены работы;
относительная устойчивость к фрустрирующим и стрессогенным ситуациям и обстоятельствам, однако при длительном действии этих факторов склонны к депрессивным реакциям, «уходам в себя», потере интереса к работе и общению.
Эмоциональная инграмма
На стереотип эмоционального поведения, как было отмечено, в той или иной степени оказывает влияние социальная сфера, воспитание и более широко – жизненные обстоятельства, сформировавшие личность. Часто мы сознательно или по привычке демонстрируем те или иные эмоции не потому, что они полезны, выводят энергию вовне, а потому что они желательным образом действуют на партнеров. Эмоции позволяют нам сокращать или увеличивать дистанцию в общении, добиваться исполнения своих потребностей, располагать к себе, наказывать или поощрять по своему желанию.
► С помощью эмоций можно манипулировать окружающими, как предметами.
В роли средств манипуляции используются улыбка, смех, гнев, угроза, раздражение, крик, плач, возбуждение, равнодушие и т. д. Когда-то эмпирическим путем мы убедились в том, что, прибегнув к определенной эмоции, мы воздействуем на определенных людей определенным образом. Память запечатлела ситуации, при которых «эмоциональная заготовка» дает нужный эффект, запомнились сила и форма воспроизводимого эмоционально-энергетического сигнала. Мышление, всякий раз проанализировав ситуацию (более или менее успешно), при необходимости «включает» воспроизведение «эмоциональной заготовки» – таков механизм эмоциональной инграммы, то есть внутренней записи эмоций.
► Эмоциональная инграмма – это стереотип информационно-энергетических разрядок, который сложился под влиянием жизненного опыта человека, запечатлен в памяти и позволяет с помощью эмоций добиваться желаемого воздействия на окружающих.
Психологический принцип действия инграммы отличается от принципов функционирования выразительных телодвижений и стереотипа эмоционального поведения. Напомним, что телодвижения, служащие эмоциональным разрядкам, регламентируются культурой общества, которая предписывает личности, где и как надо проявлять эмоции; стереотип эмоционального поведения подчиняется природе и психосоматическим особенностям индивида. Инграммы же возникают под влиянием манипулятивного опыта личности.
► Эмоциональная инграмма – это механизм эмоциональных разрядок, возникающий по принципу условного рефлекса.
Уже на ранних этапах развития человек быстро и легко выявляет связь двух явлений: определенные эмоции вызывают желаемое поведение окружающих. Затем он всю жизнь использует конкретные эмоции в манипулятивных целях. Инграммы бывают положительного и негативного свойства, если их рассматривать с точки зрения влияния на партнеров.
Инграммы положительного свойства – это информационно-энергетические разрядки, расчетливо демонстрируемые человеком с целью вызвать определенное позитивное отношение к себе. Например, вы хотите получить от партнера признание, чувство удовлетворенности, нежность, любовь, доверие, награду. В этих случаях пойдут в ход такие мимические средства, как улыбка, смех, голосовые интонации лирического и миролюбивого спектра, жесты, символизирующие приветствие, радость, принятие партнера, движения головы, выражающие согласие, движения туловища, которые свидетельствуют о доверии к партнеру, чувстве наслаждения и т. д.
Инграммы негативного свойства наполнены символикой агрессии, вражды, гнева, отчуждения, дистанцирования, угрозы, неприятия, неудовлетворенности. В качестве средств их демонстрации могут использоваться различные выразительные движения соответствующего спектра. Негативные инграммы многочисленны, достаточно вспомнить наиболее часто встречающиеся их вариации:
• ребенок, который громким плачем и криком научился добиваться от родителей своего;
• взрослый, у которого тот же стереотип поведения может закрепиться и остаться средством манипулирования окружающими в несколько трансформированной и менее инфантильной форме;
• брачный партнер, который стремится держаться подальше от нелюбимого спутника жизни и чуть что изображает на лице недовольство и раздражение;
• учитель, который, входя в класс, словно надевает непроницаемую маску, желая казаться строгим и побудить детей соблюдать дисциплину;
• экзальтированная особа, которая всякий раз изображает презрение на лице в ответ на требования руководителя, чтобы показать, как мало он для нее значит;
• продавщица, которая хорошо усвоила, как можно отделываться от покупателей при помощи повышенного голоса и устрашающего выражения лица.
Заметим, что эмоциональная инграмма вбирает в себя не только эмоцию, которая эффективно, по мнению ее выразителя, влияет на окружающих, но также представление личности о своем положении во взаимодействии.
► Инграмма – это Я-образ, зафиксированный в прошлом, в конкретном аспекте отношений с окружающими и сопровождающийся некогда пережитыми при этом эмоциями защитного или манипулятивного свойства.
Встречаются люди, у которых в запасе не одна инграмма, а несколько. Набор эмоциональных инграмм – это арсенал Я-образов, сопровождаемых привычными защитными эмоциональными реакциями. В повседневной жизни мы столь часто используем инграммы, что подлинным переживаниям почти не остается места. Особенно редко переживаются эмоции положительного спектра – подлинная радость, восторг, умиление, благоговение, нежность. Целыми неделями на нашем лице едва обозначается дежурная улыбка – символ приличия. Редко появляется состояние более мажорное и искреннее.
Отрицательные эмоции тоже обычно применяются в качестве орудия воздействия, и при этом вряд ли можно сказать, будто мы переживаем их в подлинном смысле. Когда мать делает грозное выражение лица, повышает голос и употребляет бранные слова в адрес ребенка, то это, конечно, не означает, что она в этот момент ненавидит его, – она лишь добивается желаемого поведения. (Правда, это не всегда понимают дети и нередко в эмоциях матери видят проявление агрессии и отсутствие любви.)
Основные характеристики эмоциональных инграмм1. Как правило, инграммы возникают при психотравмирующих обстоятельствах и, прежде всего, в детстве, в так называемые сенситивные периоды созревания психики. В эти моменты развития человек особенно впечатлителен, раним и нуждается в защите самого себя. Психотравмирующие обстоятельства могут быть разными: конфликты, состояние лишения чего-либо, например, заботы, попечительства, нервное напряжение, обиды, ненависть со стороны близких и т. д. Индивид волен выбирать: желая добиться своего, он может прибегнуть к любой эмоциональной инграмме – положительного или отрицательного свойства. Практика показывает, что защитные инграммы негативного содержания выбираются чаще.
2. Инграмма обладает свойством автоматизма и целостности.
При соответствующих обстоятельствах, например, психотравмирующих, она воспроизводится от начала и до конца, ее трудно прервать на каком-либо моменте. В этом смысле инграмма напоминает пластинку: если головка адаптера опустилась на диск, то записанное на нем будет воспроизведено полностью и один к одному.
3. Инграмма слабо подвластна разуму – ему трудно справиться с начавшейся реакцией самозащиты или манипуляцией. Не случайно люди разного интеллектуального уровня – высокого, среднего, низкого – склонны к демонстрации эмоциональных инграмм и в этот момент весьма походят друг на друга своей беспомощностью, агрессивностью, грубостью и т. д.
4. Инграммы как положительного, так и негативного свойства имеют защитную функцию, направлены на поддержание целостности Я. Инграммы, сформированные под влиянием психотравмирующих обстоятельств, воспроизводятся в случаях, когда личность испытывает дискомфорт, сомнение, встречает угрозу, оказывается в конфликтных ситуациях. Инграммы, образовавшиеся в психоприятных ситуациях, репродуцируются при необходимости получить от окружающих внимание, тепло, утешение, поддержку, любовь.
5. Инграммы, связанные с психотравмирующими факторами, функционально задействованы сильнее, чем инграммы, возникшие в благоприятных ситуациях.
6. Инграммы формируются при участии или при непосредственном влиянии очень близкого и весьма значимого окружения. Это – родители и родственники, брачные партнеры и дети, воспитатели и учителя, руководители и коллеги, с которыми пришлось долго работать, зависимость от которых очень велика.
7. Обычно личность фиксирована на психотравмирующих обстоятельствах, поэтому легко и быстро распознает их и при этом автоматически воспроизводит имеющиеся в запасе эмоциональные инграммы негативного содержания.
8. Инграммы проникают в разные сферы отношений личности – семейные, дружеские, любовные, деловые.
► Проникновение в систему отношений негативных эмоциональных инграмм отрицательно влияет на процесс и результаты совместной деятельности.
Воспроизведение негативных эмоциональных инграммПроверь себя, отвечая «да» или «нет» на приводимые ниже ситуации.
Вы склонны воспроизводить негативные эмоциональные инграммы, если:
1. Порой вам хочется привлечь к себе внимание близких, и вы прикидываетесь больным, обиженным, несчастным.
2. Иногда вы специально изображаете недовольство, возмущение, чтобы поставить на место кого следует.

