
Основы ТРИЗ. Теория решения изобретательских задач. Издание 3-е, исправленное и дополненное
Пример 4.34. Идеальная клавиатура компьютера
Клавиатуры быть не должно, а ее функция должна остаться. Клавиатуру проецируют на ровную поверхность, например, письменный стол. Нажатие клавиши определяется по пересечению пальцем определенного луча, проецирующего изображение.
Виртуальная клавиатура имеется в планшетах и смартфонах.
Другое решение подавать все команды голосом, которые с помощью компьютерной программы распознаются (voice recognition).
Еще один проект (Project Soli) представляет собой чип, помогающий управлять любыми устройствами, не касаясь их. Трехмерное движение кисти и пальцев воспринимаются с помощью радара. Размеры чипа небольшие (5х5мм), что позволит встраивать его даже в небольшие гаджеты, браслеты или смарт-часы.
Пример 4.35. Идеальный экран
Идеальный экран для проектора – это его отсутствие (его быть не должно), а функция должна выполняться.
Можно использовать стену (лучше белого цвета) или доску, на которой пишут фломастерами. Тогда появляется еще дополнительный эффект – на отображаемую картину можно наносить изображения при помощи фломастеров.
Идеальная информация – информация которой нет, а выполняется только ее функция – действие, процесс, который должны происходить с использованием данной информации. Например, принято решение, для которого собиралась данная информация.
Пример 4.36. Виртуальная платежная карта
Виртуальная платежная карта и система Apple Pay. Не нужно носить с собой карту или наличные деньги, которые можно потерять. В момент, когда необходимо совершит оплату, карта появляется в телефоне, то есть функция выполняется без средств (Рис. 4.16).

Рис. 4.16. Система Apple Pay
Пример 4.37. Цифровой банк
Цифровой банк не имеет отделений и помещений. Самого банка физически нет. Пользователь получает все банковские услуги через специальное приложение на смартфоне. Пример mono банк13.
Пример 4.38. Криптовалюта
Для оплаты, перевода, получения криптовалюты (например, биткоина) не нужна даже лицензия регулятора. Скачиваете приложении – крипто-кошелек, покупаете криптовалюты через биржу и осуществляете операции. Все больше и больше компаний принимают оплату в криптовалюте14
Идеальная информация – информация которой нет, а выполняется только ее функция – действие, процесс, который должны происходить с использованием данной информации. Например, принято решение, для которого собиралась данная информация.
Пример 4.39. Дорожная полиция
Функции дорожной полиции, которая контролирует скорость автомобилей и другие правила дорожного движения, становятся не нужными, так как эти функции уже выполняет система видеонаблюдения, которая контролирует не только правила дорожного движения, но и еще выставляет автоматически штрафы и смотрит за общественным порядком. Более того система штрафует нарушителей. Бизнес-модель в том, что компании ставят такую систему бесплатно и получает процент от штрафов. Таким образом затраты окупаются.

Рис. 4.17. Система видеонаблюдения
Функция становится не нужной
Предельная степень идеализации – отказ от функции – функция становится не нужной.
Пример 4.40. Процесс мытья посуды
Раньше посуду мыли вручную. Особо грязные места приходилось долго оттирать щеткой. При этом полированная посуда царапалась.
Затем развитие этого процесса осуществлялось в нескольких направлениях. Например, появились различные моющие средства, убыстряющие и улучшающие процесс мытья. После нанесения таких средств нужно только смыть грязь.
Создали посудомоечную машину. Она САМА моет посуду (самоисполнение).
Появилась одноразовая посуда. Стал не нужен ни процесс мытья, ни сама функция – очистка посуды. Таким образом, процесс мытья стал идеальным – он перестал существовать.
Но необходимо собрать грязную одноразовую посуду и выбросить ее. Идеальнее не делать и этот процесс – избавиться и от этой функции. Можно посуду сделать съедобной, например, положить ее в питу, багет, капустный лист и т. п. имеется и другая съедобная посуда, например, тарелки, вилки и ложки, чашки и т. д.
Пример 4.41. Общение
Швейцарские дизайнеры из компании Iconspeak15 создали футболку, с помощью которой можно разговаривать на всех языках мира (рис. 4.18).
На футболке напечатаны около 42 значков, которыми путешественник может пользоваться, чтобы попытаться обозначить свой вопрос, желание или эмоцию.

Рис. 4.18. Футболка для общения
Идеальная информация – нет потребности в данной информации. Например, нет потребности в принятии решения, для которого собиралась данная информация.
Описанные выше, степени идеализации характерны не только для системы, но и для вещества, формы и процесса.
4.5.2.3. Показатель степени идеальности
Система тем идеальней, чем в ней больше полезных эффектов и чем меньше вредных эффектов (факторов расплаты).
Под полезными эффектами понимается:
– система выполняет больше полезных функций (полезной работы);
– работа осуществляется максимально эффективно и качественно.
Под вредными эффектами понимаются все расплаты:
– затраты времени и средств;
– вредные воздействия и т. д.
Затраты средств – это затраты на расходы энергии, веществ, элементов, пространства.
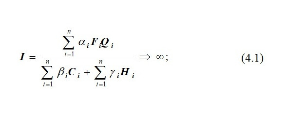
Степень идеализации системы можно представить в виде формулы (4.1):

Где:
I – степень идеализации (безразмерная величина);
F – полезная функция или полезный эффект (безразмерная величина);
Q – качество полезной функции (эффекта) – безразмерная величина;
C – затраты времени и средств на осуществление полезной функции;
H – вредное действие (безразмерная величина);
i – порядковый номер функции;
n – количество функций;
a, β, γ – коэффициенты согласования.
В соответствии с формулой для увеличения степени идеальности число полезных функций следует увеличивать и улучшить их качество, а затраты и вредные функции уменьшать. В пределе, когда числитель стремится к бесконечности, а знаменатель стремится к нулю, идеальность стремится к бесконечности.
4.5.2.4. Идеальное вещество
Идеальное вещество – вещества нет, а его функции выполняются.
Вещество тем идеальнее, чем:
– больше полезный эффект оно создает;
– меньше его вес и стоимость;
– меньше оно приносит вред (нежелательный эффект).
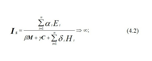
Степень идеализации вещества определяется формулой (4.2):

Где:
IS – степень идеализации вещества (безразмерная величина);
E – полезный эффект или свойство, выполняемое веществом (безразмерная величина);
M – масса или вес вещества;
C – стоимость вещества;
H – вредное действие, создаваемое веществом (безразмерная величина);
i – порядковый номер полезного эффекта (свойства);
n – количество полезных эффектов (свойств);
a, β, γ, δ – коэффициенты согласования.
В качестве полезного эффекта (функций, свойств) вещества, например, можно назвать: прочность, эластичность, удельный вес, непроницаемость, тепло- и электропроводимость, тепло- и электроизоляционные свойства, прозрачность, коррозионная и химическая стойкость, pH, агрегатное состояние, температура плавления и кипения, кристаллическая структуру, и т. д.
Имеются вещества с изменяемыми свойствами, использующие различные эффекты. Условно мы их будем называть «умные» вещества. Например, жидкие кристаллы; поляризационные пластины; вещества, изменяющие свою прозрачность; термо- и фоточувствительные полимеры; флуоресцентные вещества; полимерные гели; материалы с эффектом памяти формы; магниты; магнитная и реологическая жидкость; электреты; тепловые трубы, фото- и светодиоды и т. д.
«Умное» вещество – это управляемое вещество с изменяемыми, заранее заданными свойствами, представляющее собой преобразователь или источник энергии или информации, осуществляющий определенный эффект (физический, химический, биологический или математический).
Для разных видов технических систем подбираются свое «идеальное» вещество.
Г. С. Альтшуллер писал: «Материал „идеальной машины“ работает так, что его свойства используются наилучшим образом, например, металлические части работают только на растяжение, деревянные части – только на сжатие и т. д.».
В качестве одного из идеальных веществ можно назвать пену. Она имеет минимальный вес и выполняет разнообразные функции, например, теплоизоляция, поглощение шума, изоляция потоков газа и т. п.
Пример 4.42. Защита насаждений от заморозков
Растения и посевы покрывают полимерной «шубой» из пены, защищая их от заморозков. Она безвредна для растений, долго держится, хорошо защищает почву от мороза, а при необходимости без затруднений смывается водой (а. с. 317 364).
Рассмотрим примеры других идеальных веществ.
Пример 4.43. Корпус самолета
В самолетах используют дюралюминий. Он достаточно прочен и легок.
Приведем пример использования «умных» веществ.
Пример 4.44. Соединительная втулка из никелида титана
Компания «Raychem Corporation» (США) в 1971 году разработала втулку для соединения труб гидравлической системы военных самолетов из материала с эффектом памяти формы – нитинола (никилид титана – NiTi). Эта втулка получила название «Cryofit». Она показала себя очень надежной. Из 300 000 поставленных втулок не было ни одной поломки.
4.5.2.5. Идеальная форма
В некоторых случаях можно говорить и об идеальной форме.
Идеальная форма – обеспечивает максимум полезного эффекта для выполнения определенной функции.
Под полезным эффектом формы пониматься, например:
– прочность, при минимуме используемого материала;
– минимальное аэро- и гидродинамическое сопротивление;
– герметичность;
– трение (минимальное или максимальное);
– эргономичность;
– эстетичность и т. д.
Пример 4.45. Корпус подводного аппарата
Для подводного аппарата идеальная форма прочного корпуса – сфера. Она обладает высокой устойчивостью и небольшой плотностью. У сферического корпуса минимальное отношение площади поверхности к объему.
Пример 4.46. Форма антенны
Антенна радиотелескопа должна иметь гиперболическую форму. Любые отклонения от теоретического гиперболоида дают искажения сигнала. Такую антенну делают из материала с эффектом памяти формы.
4.5.2.6. Идеальный процесс
Процесс осуществляется для получения результата.
Идеальный процесс – это отсутствующий процесс, его не должно быть, а должен быть только результат, осуществляемый процессом.
Таким образом: идеальный процесс – результат.
В качестве результата может быть взят продукт или действие.
Особым фактором в процессах является время.
Процесс происходит тем идеальнее, чем он производительней, качественней и чем меньше требуется затрат вещества, энергии, трудозатрат (в том числе и на управление процессом), и чем меньше вредных воздействий он производит.
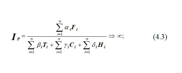
Степень идеализации процесса можно представить в виде формулы (4.3):


Где:
IP – степень идеализации процесса (безразмерная величина);
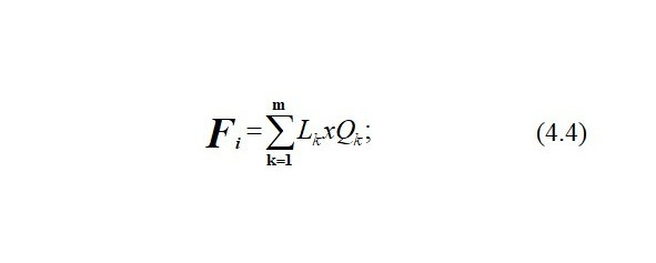
Fi – функциональность операции i (безразмерная величина);
Lk – уровень функции k в операции i (безразмерная величина);
Qk – качество выполнения функции k в операции i (безразмерная величина);
T – время выполнения операции i;
C – затраты средств на осуществление операции i;
H – вредное действие, создаваемое операцией i (безразмерная величина);
k – порядковый номер функции в операции i;
m – количество функций в операции i;
i – порядковый номер операции;
n – количество операций в процессе;
a, β, γ, δ – коэффициенты согласования.
Процесс – это набор операций, которые могут выполняться последовательно и/или параллельно. Кроме того, могут быть обратные связи. Одна операция может выполнять несколько функций. Функции могут иметь разный уровень:
– главная;
– основная;
– второстепенная.
Идеальный процесс производит качественный продукт (результат) с нулевыми затратами вещества, энергии, времени и управления.
Способы идеализации процесса
Сокращение времени выполнения процесса и повышение его эффективности может осуществляться способами:
1. Не выполнять процесс, а использовать результат.
2. Выполнение действий заранее (предварительно).
Заранее (предварительно) выполнить требуемое действие полностью или хотя бы частично. Предварительное выполнение части процесса.
2.1. Заранее обдумать последовательность выполнения операций в процессе;
2.2. Заранее ввести нужные для выполнения процессов «отзывчивые» вещества и поля;
2.3. Заранее расставить объекты так, чтобы они могли вступить в действие без затрат времени на доставку с наиболее удобного места.
3. Устранить ненужные (лишние), повторяющиеся и вредные операции.
4. Устранить отдельные операции процесса, передав их функции другим операциям (предыдущим, параллельным или последующим).
5. Объединить однородные или смежные операции.
6. Использование пауз и холостых ходов.
7. Вести работу непрерывно.
8. Параллельное выполнение процессов.
9. Встречное выполнение процессов.
10. Процесс разбивается на отдельные операции, если возможно, каждая операция выполняется параллельно и встречно.
11. Выполнение процесса многими системами или частями.
12. Использование более управляемых полей и веществ, в частности, замена механического движения на движение более управляемого поля.
13. Использование ресурсов.
Приведем примеры способов осуществления идеализации процесса.
Выполнить действия заранее
– Предварительное выполнение части процесса.
Пример 4.47. Компьютерная программа для цифровой печати
Благодаря появлению цифровой печати стало возможным печатать документы или книги по требованию (Print-on-Demand – POD). Печатается столько документов, сколько их заказали в данный момент, причем хорошего качества. Это позволяет избавиться от складов и неликвидов. Кроме того, документ печатается в том месте, где он требуется. Таким образом, отпадает необходимость в транспортировке на значительные расстояния больших объемов готовой продукции – высшая степень идеальности – исчезли функции пересылки на большие расстояния и хранения печатной продукции.
При такой печати очень критично, чтобы печатающая машина не простаивала в ожидании, когда программа успеет подготовить ей очередной лист для печати.
С этой целью поступивший на печать документ предварительно обрабатывают и записывают в буферную память. Объем такой памяти ограничен и его не хватает для записи больших документов, например, книг.
В этом случае документ предварительно обрабатывается, и определяются повторяющиеся места, они и записываются в буферную память. Они, как правило, занимают не много места в памяти компьютера. Эти записи вызываются в момент, когда они необходимы для печати. Таким образом, выполняется часть процесса обработки информации заранее, что позволяет сократить общее время печати.
– Заранее расставить объекты.
Пример 4.48. Строительство домов
Раньше панели для строительства домов привозили заранее и их складировали. Для этого нужно было иметь дополнительные площади. Кроме того, панели могли быть повреждены в следствии плохой погоды или небрежного обращения.
Ввели способ строительства «с колес». Панели привозили точно в то время, когда они нужны. Их выгружали и тут же ставили на место.
Приведем примеры на другие способы сокращения времени проведения процесса.
Опишем идеализацию процесса сварки.
Процессы идут встречено
Пример 4.49. Сварка листов
При сварке листов процесс будет идти быстрее, если его вести с двух сторон навстречу друг другу (а. с. 988 490, 1 234 095). Можно двигать навстречу друг другу лист и дугу (а. с. 1 031 679).
Разбиение процесса на отдельные операции
Пример 4.50. Сварка листов
Процесс сварки будет идти быстрее, если будет использоваться не два, а большее количество электродов, которые попарно двигаются навстречу друг другу (а. с. 303 158).
Замена механического движения на полевое
Пример 4.51. Сварка листов
Можно вообще не тратить время на перемещение электродов, если их расставить заранее в нужном месте на расстоянии, меньшем, чем тепловое пятно. Каждый из электродов подсоединяется к источнику питания и последовательно включается. Таким образом, дуга движется, а электроды стоят на месте (а.с. 285 740).
Использование имеющихся ресурсов
Пример 4.52. Как отыскать в стене трассу скрытой проводки?
Это можно осуществить при помощи приемника. Для этого в розетку нужно включить какой-нибудь слабый источник помех, например, электробритву с отсоединенным помехозащитным фильтром. Приемник настроить в средневолновом диапазоне (но не на станцию) и начать водить им вдоль стены. При пересечении трассы проводки треск из динамика будет усиливаться.
4.5.3. Закон увеличения степени управляемости
Закономерность увеличения степени управляемости является основной из закономерностей эволюции систем (рис. 4.19).

Рис. 4.19. Структура закономерностей эволюции систем
Развитие системы идет в направлении увеличения степени управляемости.
Система может быть управляемой тогда и только тогда, когда она содержит в себе элементы, способные воспринимать управляющие сигналы, преобразовывать их в управляющие воздействия и адекватно воспринимать информацию о внутренних изменениях в системе и внешних воздействиях на нее. Это свойство часто называют «отзывчивостью».
Общая тенденция увеличения степени управляемости (рис. 4.20) – это переход от:
– неуправляемой к управляемой системе;
– неавтоматического (ручного) управления к автоматическому;
– проводного управления к беспроводному;
– непосредственного управления к дистанционному.
– центрального управления к распределенному и самоорганизующемуся управлению (управление сетями).

Рис. 4.20. Общая тенденция увеличения степени управляемости
Пример 4.53. Зонтик
Считается, что первые зонты появились более 1 тыс. лет до нашей эры в Китае, Индии или Египте. Они защищали от солнца. Их использовали только фараоны, императоры или знать. Первые модели были сделаны из перьев или листьев лотоса, прикрепленных к палке. Далее раму делали из тростника или сандалового дерева и покрывали кожей, тканями или шелком. Более простые зонты делали из плотной бумаги. Такие зонты были 1,5 метра высотой и весили 2 кг. Они не складывались, т. е. были неуправляемые. Первые зонты имели один недостаток – они не были складными, т. е. имели только одно устойчивое состояние – открытое. Соответственно, это была неуправляемая система – независимо от наличия дождя или прямых солнечных лучей зонтик сохранял свои внушительные размеры.
Далее зонты слали складываться, но имели длинную ручку – это переход к управляемым зонтам. Далее степень управляемости зонтом увеличивалась.
Зонты стали использоваться и для защиты от дождя. Появился зонт-трость.
В 1928 году Ханс Хаупт изобрел карманный зонт.
В 1969 году БрэдФиллипс (Bradford E Phillips) владелец компании Totes Incorporated из Лавленда, штат Огайо, получил патент на свой «рабочий складной зонт».
Это был следующий шаг в увеличении управляемости зонтом – он автоматически раскладывался.

Рис. 4.21. Увеличение степени управляемости зонтом – переход от неуправляемого к управляемому зонту
Пример 4.54. Фотоаппарат
Первые фотоаппараты имели ручное управление. С появлением электроники некоторые операции были автоматизированы. Полный переход к автоматизированному управлению произошел с появлением цифровых камер. Сегодня цифровая камера имеется в любом смартфоне или планшете.
Это пример перехода от неавтоматического к автоматическому управлению.

