
Факультет. Курс третий
– Точно, секретное бомбоубежище Сталина! – буркнул он себе под нос и принялся нагружать поднос съестным. – А это лично мне не сулит легкой жизни, поскольку понятно, чего от меня потребуют.
Кирилл намеренно разговаривал сам с собой (но только слабым шепотом – лишь шевелением губ). Мысли постоянно соскальзывали на серьезность положения – следовательно, на родителей, подружек, друзей, бабушек-дедушек и других родственников. А то, что положение (политическое или уже военное) очень серьезно, не приходилось сомневаться: иначе за каким чертом он здесь оказался, за каким чертом весь Факультет сняли с занятий и разогнали кого куда?
Что же до разговора: перенос внимания вовне, отвлечение мысленного диалога от самого себя – отличный способ разгрузить сознание, оказаться «здесь и сейчас» и перестать накручивать разум на предмет возможных страхов и неприятностей.
Кирилл взял бифштекс с гарниром, борщ с мясом и сметаной, внушительных размеров творожный пирог, шоколадку и пару пончиков, а также большую кружку кофе. Подошел к кассе, вытаскивая кошелек, но был приятно удивлен: все было бесплатно – единственно только, требовалось отдать пластиковую ID-карту «кассиру» в форме капитана. Тот быстренько прикладывал ее к считывающему устройству, тут же звучал подтверждающий зуммер, и капитан возвращал карту владельцу. Привычно и безэмоционально.
Поиск свободного места оказался не таким простым делом, как Кирилл изначально рассчитывал. Почти все столы и стулья были заняты, и Кириллу пришлось пройти весь обеденный зал, чтобы обнаружить местечко, куда он смог присесть. Из чего следовал вывод: «бомбоубежище-бункер» (пусть даже он и не бункер, а, например, ЦУП или КП войск стратегического назначения) переполнен сверх меры. Ведь не может же такого быть, чтобы общая столовая не вмещала весь личный состав! В армии такого быть не должно по определению. В армии все рассчитано и все согласовано, и если нет свободных мест – значит, форс-мажор.
Кирилл переместил на передний план тарелку с борщом, хорошенько прицелился ложкой и зацепил кусок мяса. Вкусно! И совсем не по-армейски (в его – Кирилла – представлении), а по-домашнему.
– Здравствуйте, молодой человек! – сосед напротив (до этого увлеченно читавший газету – статью о проклятой американской военщине) отложил печатное издание в сторону и обратился к Кириллу. Он был в чине полковника – в форме ВВС (точнее ВКС). – Давайте знакомиться: меня зовут Иван Андреевич. А Вас как?
– Кирилл! – Кирилл оторвался от тарелки и в течение нескольких секунд изучал лицо «Ивана Андреевича». У него возникло стойкое ощущение, что сосед по столику никакой не «Иван Андреевич», но он не стал ничего говорить. В принципе, ему вообще нет дела до того, кто рядом с ним. Поэтому сосед может называть себя хоть Никифором Никифоровичем, Кирилл не обидится.
– Вы очень молоды! – «Иван Андреевич» в свою очередь изучал Кирилла. – Позвольте нескромный вопрос: вы чей-то сын?
– Угу! – Кирилл кивнул с набитым ртом. Он – безусловно, чей-то сын (в частности, своего папы), так что он никого не обманывает.
– Я так и знал! – полковник иронично усмехнулся. – Впрочем, – он стер улыбку с лица, – наша задача, как вооруженных сил, защищать гражданское население, так что мы и вас защитим в случае чего! Я прав?
– Конечно! – Кирилл поменял местами тарелки и с аппетитом принялся за второе. Он не собирался вестись на провокации (или на специфическую манеру подтрунивать) незнакомого полковника. – И гражданское население с радостью примет Вашу персональную защиту!
– Но, но! Молодой человек, Вы не очень-то! – полковник (как и положено полковнику) шуток – тем более от гражданских – понимать не собирался и сразу вспыхнул, как порох. – Вы еще слишком молоды, чтобы говорить со мной в таком пренебрежительном тоне! Ишь какой молокосос выискался! – полковник гневно скомкал газету и с грохотом отодвинул стул, вставая. – Вот попадешь ко мне в строевую часть, посмотришь, как нужно разговаривать со старшими!
– Нет проблем! – Кирилл проводил его взглядом, еле сдерживая смех. – Воистину, пока человек дорастет до полковника, все его юмористические извилины становятся похожими на кирзовый сапог. И другие тоже, извилины – не слишком отличаются от юмористических, кирзовых.
* * *– И нафига, спрашивается, я их взял? – Кирилл смотрел на свои «боевые цацки»: Орден за Заслуги Перед Отечеством IV степени и Медаль за Отличие в Специальных Операциях. – Что-то я не вижу парадного плаца, по которому я смог бы пройти, гремя медалями и чеканя стройно шаг!
Кирилл вспомнил, как Щербень посоветовал ему взять с собой награды. Павел Иванович особенно настойчиво рекомендовал это сделать – что было для него необычно. И Кирилл послушался, хотя так до сих пор и не понял – а зачем?
– Ну, да и бог с ним. – Кирилл аккуратно уложил орден и медаль обратно в сумку и от нечего делать завалился на кровать. Повалялся минут пятнадцать и взялся за учебник «Основы оптики». Он не собирается понапрасну терять время – лучше почитать материал, чтобы потом – под сессию – не пришлось бегать, как ошпаренному, и пытаться выучить кучу предметов. А то, что сессия – несмотря на все политические и, возможно, военные передряги -будет, Кирилл не сомневался.
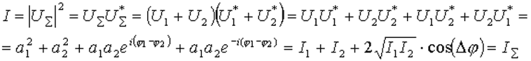
«Амплитуда поля не может непосредственно наблюдаться или измеряться, так как поле очень быстро меняется во времени с частотой




Из уравнения Максвелла следует, что интенсивность пропорциональна квадрату амплитуды поля


Можно измерить квадрат модуля комплексной амплитуды, но невозможно измерить фазу и эйконал поля – при регистрации поля они теряются. Для сохранения информации о фазе (эйконале) требуется измерение интенсивности поля, складываемого из нескольких полей.
1.4.2. Наблюдаемые величины при сложении полей
При сложении двух полей





Таким образом, суммарная интенсивность записывается в виде уравнения интерферограммы:

где

Явление, возникающее при сложении двух полей, называется интерференцией, а интерферограмма – это картина, наблюдаемая при интерференции.
Сложение когерентных полей
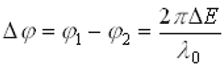
Когерентные поля характеризуются тем, что разность фаз (эйконалов) двух полей остается постоянной за время инерции приемника.
В этом случае суммарная интенсивность определяется выражением (1.4.2), а картина распределения интенсивности представляет собой чередование темных и светлых полос, конфигурация которых зависит от изменения разности фаз

Введем понятие референтного (эталонного) поля, которое имеет известную картину фаз. При сравнении с ним выявляются параметры другого поля (интенсивность и фаза). Регистрируемая картина взаимодействия двух полей, одно из которых референтное, называется голограммой. Голограмма – это запись полной информации о поле, то есть его комплексной амплитуды. Интерферограмма и голограмма – способы записи комплексной амплитуды поля путем сравнения его с эталонным полем.
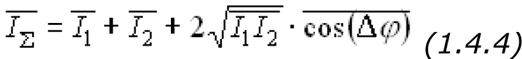
Сложение некогерентных полей
Если разность фаз полей меняется случайным образом много раз за время регистрации, то поля являются некогерентными. При регистрации суммарной интенсивности ее значения по времени усредняются:

В выражении (1.4.4)



1.4.3. Квазимонохроматическое и полихроматическое поле
Поле, излучаемое реальными источниками света, не бывает строго монохроматическим…»
– Да, так я ничего не запомню! – Кирилл отложил в сторону учебник и полез за ручкой и листами бумаги (он специально захватил их из дома, понимая, что материал из «Основ оптики» можно выучить, только выписывая, и снова выписывая все формулы и определения подряд). – И кстати, в очередной раз вопрос: зачем меня сюда привезли? Чтобы позволить учиться в одиночестве? Считай, целый день прошел без толку, и кроме дурного задания от НН я ничем таким не занимался! – под «ничем таким» Кирилл имел в виду специфические задания с использованием видения.
Внезапно в дверь жилого блока сильно постучали – стук был резким и громким, и Кирилл сразу решил, что пожаловало высокое начальство. Он не ошибся – на пороге стояли двое: НН и целый генерал-полковник в странной черной форме.
– Мы войдем? – НН шагнул через порог, за ним – генерал. Кирилл посторонился, пропуская гостей.
– Ну и, как устроился? Нормально? – НН и генерал уселись в кресла, стоящие вдоль стены, а Кирилл плюхнулся на диван. – Уделишь нам пару минут?
«А у меня что, есть выбор?», – хотелось ответить Кириллу, но он лишь молча кивнул.
– Как ты, вероятно, уже догадался, мы находимся на секретном военном объекте, который призван исполнять секретные военные функции. В случае обострения ситуации сюда прибывают специально отобранные люди – и ты оказался в их числе. Ты пробудешь здесь ровно столько, сколько нужно, и ни минутой больше. Это так – чтобы ты знал и не задавал лишних вопросов. – НН говорил негромко и с мрачноватыми нотками в голосе. – Каждый из присутствующих здесь выполняет свое задание, и ты тоже – выполнишь свое! Готов?
Кирилл снова кивнул и подумал, что можно было бы обойтись и без такого длинного вступления.
– Товарища генерала зовут Семен Аркадьевич, и сейчас он объяснит, в чем заключается твое первое задание. – НН передел генералу красную папку, которую вертел в руках – и Кирилл хмыкнул про себя: «Прямо голливудский боевик про ядерный апокалипсис. Красные папки, мрачные рожи, большие звезды!»
– Да, Раевский! – генерал сразу «ухватил коня под уздцы». – Работать будешь здесь, никуда не выходя. Этот жилой блок – специальный, и еду, и питье тебе будут приносить прямо сюда. Покидать блок запрещено до особого распоряжения. А сделать тебе предстоит следующее…
* * *Кирилл лежал на кровати с закрытыми глазами. Мысли текли вяло, он пребывал в состоянии отстраненности и почти что нирваны. Ему потребовалось несколько часов, чтобы успокоиться, и вот наконец – хладнокровность и безэмоциональность восстановлены: он может приступать непосредственно к заданию.
А задание очень интересное – и просто от настройки на него у Кирилла мурашки бежали по коже. «Среди высшего круга правительственных чиновников, силовиков, администрации Президенты, депутатского корпуса и сенаторов определить тех, кто уже перешли на сторону врага». Это первое. Второе: «Кто может перейти на сторону врага при неблагоприятном развитии событий? С какой вероятностью?» И фотографии – целая куча с описанием: кто есть кто.
– Интересно, санкционировано ли подобное «сканирование», например, Премьером? – Кирилл открыл глаза и побрел на кухню за печеньем и чаем (при жилом блоке была маленькая кухонька). – Или это – так секретно, что даже муха не должна крылышками шуршать в процессе? И главное, после таких «исследований» я вообще – отсюда живым выберусь?
Вопрос был пикантным, и Кирилл – прежде чем взяться за выполнение Задания – сосредоточил свое видение именно на нем. Почему? Да потому что любой нормальный человек, прежде всего, обеспокоен своей личной безопасностью и безопасностью своих родных – а потом уже всем остальным. Очень быстро Кирилл получил ответ: ему ничего не угрожает, а распоряжение насчет него пришло с самого верха. Т. е. – совсем с самого.
Кирилл вспомнил, как полтора года назад он встречался в Кремле с Президентом, и у него потеплело на душе. Та встреча была знаменательной – правда, Кирилл о ней никому не рассказывал, и поэтому никто не разделил с ним чувство гордости от аудиенции с Верховным Главнокомандующим. Но главное – о нем не забыли (и Кирилл даже мог точно сказать, кто не забыл) и посчитали, что он может быть полезен.
– Что ж. – Кирилл почувствовал серьезный прилив сил. – Постараюсь оправдать оказанное мне Августейшей Особой высокое доверие. Глядишь, и сделают поблажку в учебе – типа, придется сдавать сто восемнадцать ДЗ в семестре, а не сто двадцать, как заложено в учебном плане. А засим – приступим!
Он распаковал первый конверт и выложил перед собой фотографии членов Правительства – начиная с Премьера и заканчивая министрами и их заместителями.
– И что бы сказали мои родители, если бы узнали, чем я здесь занимаюсь? – Кирилл взял в руки фотографию Премьера и сфокусировал на нем свою настройку. – Мама, наверное, упала бы в обморок, а папа сунул бы бутылку в карман, сделал бы зверское лицо и пошел на улицу – обсуждать с соседями создавшуюся непростую политическую ситуацию…
Глава четвертая. Возвращение домой
Кирилл трудился в поте лица (времени для работы у него было навалом, и никто его не отвлекал). Трижды в день курьер в форме капитана (какого рода войск, Кирилл точно сказать не мог) приносил ему пищу, бумагу и письменные принадлежности, молча козырял и удалялся.
Поначалу Кириллу казалось, что такой огромный воз работы он не в силах перелопатить. Фотографий политиков было так много, что иногда у него просто опускались руки – не говоря уж об огромных затратах энергии, которая обеспечивала видение.
Но дни шли за днями, и постепенно Кирилл формировал пухленькое подробное досье на каждого представленного к разработке. Картина, прямо говоря, получалась захватывающая. Например, у большей половины депутатов имелись накопления на иностранных счетах и недвижимость за границей, их дети учились в Англии и США, и на вопрос: «Готовы ли они перейти на сторону врага при неблагоприятном развитии событий?» Кирилл отвечал утвердительно.
Некоторые из депутатов были отъявленными мерзавцами, на которых просто негде ставить пробы, и им претили любые моральные принципы. Такие продадутся хоть кому – лишь бы остаться у власти – поэтому и они тоже потенциальные предатели.
Были и третьи – почти бессеребренники (пока бессеребренники). Но и они, в большинстве своем, планировали неплохо нажиться, подняться на государственных харчах и обеспечить себя и семью на долгий срок.
Рассматривать сущность и первых, и вторых, и третьих Кириллу было противно, и он чувствовал физическое недомогание, когда на них настраивался. Но что делать – назвался груздем, полезай в кузов! Здесь уж без вариантов.
То же самое касалось и Совета Федераций – в палате заседали представители местечковой номенклатуры со всеми вытекающими из их положения пороками. При любом раскладе назвать их полноценными представителями российских регионов Кирилл никак не мог. Сенаторы только тем и занимались, что лоббировали интересы своих региональных боссов, интриговали и набивали карманы. И в случае чего с легкостью предавали своих прежних хозяев, чтобы верно послужить новым.
В один из вечеров (после того, как Кирилл ударно проработал целый день и составил несколько десятков новых досье) его охватила такая тоска от всего этого политического паноптикума, что он чуть не разболелся. Он лег пораньше и проспал почти до самого обеда, восстанавливаясь во сне. Сон лечил Кирилла с детства, и Кирилл до сих пор этим пользовался.
Проснувшись, Кирилл вновь почувствовал себя полным сил, стиснул зубы и – вперед! Он настраивался на видение, потом с помощью видения настраивался на «пациентов», записывал всё, что смог увидеть, потом недолго отдыхал и подкреплялся чаем или перекусом – и цикл повторялся снова и снова. И вот – через три недели усилий и ценой почти полной утраты веры в человечество все досье были закончены. А Кирилл почувствовал нестерпимое желание увековечить свой труд в рифмованных виршах.
Он сел и написал следующее:
Когда ж в стране роднойНайдется кто-то,Кто будет честно за страну горой,А не с бухгалтерским подсчетом?Когда придут во властьПрофессионалы и идеалисты,А не желающие порезвиться всластьЗа госсчет капиталисты?Когда ж усердный гражданинСможет выдать смело:«Политический класс единИ говорит, и борется за правое дело?»Наверное, никогда.Увы.При власти – продажные дамы и господа,Зарекшиеся и от сумы, и от тюрьмы.Прежде Кирилл не ощущал в себе потребности не то что писать стихи о политике, но даже и интересоваться ею. Политика была сама по себе, Кирилл – сам по себе. Он даже не следил за тем, что творится в мире, не говоря уж о том, чтобы как-то реагировать на новости. И вот надо же!..
* * *Тем не менее работа была закончена, и Кирилл – после интенсивного пересмотра – почувствовал себя вполне удовлетворенным. Что бы дальше не произошло с собранным (увиденным) им материалом, кто бы его не смотрел, Кирилл сделал всё, что мог, а остальное – не его проблемы.
На следующий день он сообщил офицеру, принесшему завтрак, что хочет говорить с НН, и это срочно. Офицер козырнул и удалился, а через десять минут к Кириллу в гости пожаловал Потап Филиппович.
– Звал? – НН плюхнулся в кресло, кисло улыбнувшись. Кирилл сразу обратил внимание, что куратор со дня их первого знакомства слегка осунулся с лица и вообще – выглядел уставшим и напряженным. – Надеюсь, не для того, чтобы поплакаться, как тебе тяжело.
– Нет, не для того. – Кирилл поймал себя на мысли, что ему очень хочется влепить Филлипычу конкретную порчу. Чтобы бегал по бабкам-ведуньям и пытался снять за деньги. – Вот. – Кирилл протянул ему толстенную (в десять сантиметров толщиной) пачку бумаги и папку с фотографиями. – Ваше задание выполнено!
– Как это, выполнено? – НН даже опешил. – Т. е. ты хочешь сказать, что уже управился? Так быстро?
– Ну да. – Кирилл еле удержался, чтобы не фыркнуть, как рассерженный кот: «Вот ведь тупой сапог, прости господи!»
– Ладно. – Когда до НН дошло, что с ним не шутят, он подошел к сенсорному экрану на стене и набрал на нем комбинацию из десяти цифр. Экран засветился, и в нем появилось лицо какого-то незнакомого офицера:
– Слушаю!
– Это шестнадцатый! – в голосе НН прозвучали властные безапелляционные нотки. – Дай мне срочно одиннадцатого!
– Слушаюсь! – лицо офицера пропало, а через несколько секунд с экрана уже смотрел знакомый Кириллу генерал-полковник.
– Ну? – генерал-полковник (так же, как и НН) выглядел нездорово: желтоватый цвет лица, набухшие мешки под глазами – словом, недосып явно налицо. И еще – нервное напряжение. – Говори!
– Наш мальчик утверждает, что уже все закончил. – НН покосился на Кирилла. – Что делать с материалом?
– А то ты не знаешь! – генерал-полковник ожесточенно тер подбородок. – Давай его быстро сюда! А мальчику скажи, пусть пока отдыхает. И еще – отныне он может выходить на прогулки по этажу. Засиделся, небось? – и генерал отключился.
– Ну, ты все слышал? – НН сграбастал материалы, подготовленные Кириллом, и скрылся за дверью. А Кирилл сел на кровать, давясь смехом.
– Вот блин! – отсмеявшись, Кирилл с удовольствием заварил себе чаю и с не меньшим удовольствием подкрепился пряниками. Настроение у него было замечательным – и особенно от того, как его воспринимали НН и этот генерал. Это значит, что он отлично сохраняет секретность, и никто не догадывается, на что на самом деле он способен. И его заслуги перед Родиной (в сохранении искомой секретности) нужно особо подчеркнуть, например, при разговоре с Толкачевым. Пусть порадуется замдекана за своих студентов!
* * *Прогулка по коридорам подземного бункера – то еще удовольствие. Почти как по камере где-нибудь в Бутырке, только слегка приятнее. Впрочем, в Бутырке – там вообще все плохо, здесь же: воздух свеж (нагоняется мощной приточно-вытяжной установкой), и расстояние, которое можно пройти до поворота и обратно – довольно приличное. И самое главное – из жилых блоков время от времени выходят люди (и военные, и гражданские), с ними даже можно поздороваться – и даже иногда поговорить.
Последние дней пять своего «заточения» в блоке Кирилл не на шутку тосковал о свободе передвижения, и поэтому он воспринял поблажку от генерал-полковника в неизвестной черной форме как подарок судьбы. И как, оказывается, мало надо человеку, чтобы воспринимать себя счастливым!
Первые десять кругов по коридору он сделал в рекордно короткое время – мышцы ног, рук и спины соскучились по движению и требовали ускоренной, быстрой, стремительной ходьбы – чтобы опять почувствовать себя нужными, востребованными и в тонусе.
Следующие десять кругов завершились в среднем темпе, ну а последние пять – уже в темпе полностью расслабленного и томного танго. Кирилл улыбался – организм вновь вспомнил вкус жизни, и возможно уже скоро – возвращение домой и домашние пирожки, и встреча (честно говоря, очень волнующая) с Машей.
Кирилл прислонился к дверному косяку, чувствуя в ногах приятную усталость. Внезапно дверь напротив отворилась, и из-за двери показался тот самый «столовский полковник» – тот, который назвал Кирилла «чьим-то сыном».
– Какая встреча! – череда эмоций со скоростью звука промелькнула на лице полковника и в итоге сформировалась в мрачную угрюмость. – А ты-то что здесь делаешь?
– Стою! – Кирилл пожал плечами. – А что, нельзя?
– Ах ты ж, щенок! – полковник мгновенно окрысился, побледнел и пошел красными пятнами по всем открытым участкам кожи (примерное, как тогда – в столовой). – Вот был бы ты в моем подчинении!..
– Да – Вы уже говорили! – Кирилл не дал тому продолжить, и полковник осекся на полуслове – судя по всему, пребывая в полном ступоре от такого неуважительного к себе отношения. Кирилл вызывающе посмотрел на него, потом махнул рукой и скрылся в блоке – от греха, как говорится, подальше.
Кирилл сел на стул на кухоньке, чувствуя, как буквально сочится довольством – воистину, секретный военный объект (ах, если бы еще получить возможность передвигаться свободно!) ему начинал нравиться – в особенности возможность позлить этого дурака-полковника. Кстати, а почему он живет напротив? Разве бывают такие совпадения?
– Сейчас мы их проверим, сейчас мы их сравним. – Кирилл быстро настроился на полковника и даже зааплодировал. – Вот тебе и на! – полковник оказался чистой воды «подставной уткой», назначенной наблюдать за Кириллом. Это – профессиональный психолог при погонах, к тому же филигранно владеющий актерским мастерством. И в звании настоящего полковника, и похоже – из военной разведки.
– И почему бы мне раньше не взглянуть на него правильным зрением? – Кирилл удрученно стукнул себя по коленям, но потом чуть-чуть подумал и вновь рассмеялся в голос. – Хотя, а что бы это изменило? Ничего. В следующий раз просто скажу ему, что я его раскусил, да и все дела!..
Возможность уязвить полковника, впрочем, Кириллу так и не представилась. Что, конечно, было к лучшему – зачем лишний раз раззадоривать человека, пусть хоть он и профессионал, и его работа – корчить из себя тупого бешеного служаку. Все должно быть в меру, и количество негатива между людьми – тоже.

