
DNA und Krebs

Zakia Baiguzhina
DNA und Krebs
Krebs … Diese Krankheit erschreckt diejenigen, wem diese Diagnose gestellt wurde. Es klingt bedrohlich, wie ein Urteil, obwohl derzeit einige Formen von Krebs bereits erfolgreich behandelt werden, aber diese Krankheit ist immer noch nicht vollständig verstanden. Daher stellt sich die Frage: Warum wählt diese Krankheit einige, umgeht aber andere?
Man sagt, wenn Sie den Grund für die eine oder andere Aktion kennen, dann ist der Sieg bereits zur Hälfte errungen. Wenn die Ursache dieser Krankheit aufgedeckt wird, dann haben wir 50% bereits gewonnen.
Es bleibt übrig, noch 50 % bis zum vollen Sieg zu finden, das heißt, neue, erfolgreiche Behandlungsmethoden zu entwickeln, einfache schmerzlose Wege der Diagnose zu finden, präventive Maßnahmen zur Bekämpfung von Krebs und anderen bösartigen Neubildungen zu meistern.
Es gibt mehrere Hypothesen der Entwicklung dieser Krankheit, und sie sind alle auf unverständliche Veränderungen in der DNA – Desoxyribonukleinsäure, wodurch sich dieses Molekül unkontrolliert zu verdoppeln beginnt und dementsprechend die Zahl der modifizierten Zellen zunimmt. Infolgedessen bildet sich ein Tumor.
Diese wissenschaftlich entwickelten Hypothesen sind durch einen verborgenen, unsichtbaren Faden miteinander verbunden – Veränderungen in der DNA.
Das beste Forschungsinstitut ist die Natur selbst! Sie findet vernünftige, einfache Wege, um ihre Aufgaben zu lösen.
Die Natur ist weise, wirtschaftlich, deshalb weiß sie, wie es sein sollte.
Solchen ist und die Struktur der DNA.
Die Struktur des DNA-Moleküls ist gut bekannt, und das ist das Verdienst von Francis Harry Compton Crick (1916-2004) und
James Dewey Watson (geboren 1928). Sie veröffentlichten am 25. April 1953 in der Zeitschrift Nature einen Artikel über die räumliche Struktur der DNA.
Die B-Form der DNA kommt hauptsächlich in einer lebenden Zelle vor und hat folgende Struktur.
DNA besteht aus zwei antiparallelen Polynukleotid-Ketten, die spiralförmig um ihre Achse verdreht sind.
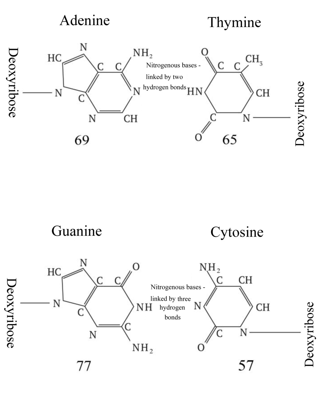
An der Peripherie des Moleküls befinden sich Kohlenhydrat-Phosphat-Ketten mit stickstoffhaltigen Heterocyclen im Inneren. Die Zusammensetzung der DNA umfasst vier stickstoffhaltige Basen: Purinen – Adenin und Guanin, Pyrimidinen – Thymin und Cytosin. Aber es gibt Ausnahmen, zum Beispiel, einige Viren haben ein anderes Derivat von Pyrimidin – Uracil.
Die stickstoffhaltigen Basen der einen Parallelkette verbinden sich mit einer bestimmten Base der anderen, gemäß der Chargaff-Regel: Adenin verbindet sich mit Thymin, Guanin mit Cytosin.
Anordnung der komplementären stickstoffhaltigen Basen in der DNA
(Abbildung – Englische Version)
Adenin (A) Guanin (G) Cytosin (C) Thymin (T)
Desoxyribose
Adenin (A) und Thymin (T)
Stickstoffhaltige Basen sind durch zwei Wasserstoffbindungen verbunden.
Guanin (G) und Cytosin (C)
Stickstoffhaltige Basen sind durch drei Wasserstoffbindungen verbunden.

Es gibt ein weiteres Geheimnis in diesem Molekül, das bisher unbekannt geblieben ist. Das ist RM. Auf dem Schema können Sie die Zahlen sehen. Diese Zahlen zeigen die Summe der Elektronen jeder stickstoffhaltigen Base, die in der DNA enthalten ist.
In Adenin beträgt die Gesamtzahl der Elektronen 69, in Thymin 65, in einem anderen Paar enthält Guanin 77 Elektronen, Cytosin 57.
Nach der Addition, entsprechend der Anordnung der stickstoffhaltigen Basen in den komplementären Paaren, erhalten wir die folgenden Ergebnisse:
Adenin + Thymin = 69 + 65 = 134
Guanin + Cytosin = 77 + 57 = 134
Die Gesamtzahl der Elektronen in komplementären DNA-Paaren beträgt 134.
Zahlen haben wahrheitsgemäße Gesetze. Sie erlauben nicht, sich mit erfundenen Ideen, Hypothesen zu beschäftigen. Die Zahlen ordnen alles an ihren Plätzen an.
Schlussfolgerung:
Nach dem Coulomb-Gesetz wirken zwischen den komplementären Paaren stickstoffhaltiger Basen im DNA-Molekül gleiche elektrostatische Abstoßungskräfte.
"Die Nummer 134" verleiht dem Molekül Stabilität, indem es den DNO gleichmäßig entlang seiner Achse verdreht, um die elektrostatischen Abstoßungskräfte zurückzusetzen.
F¹ = F²… = Fⁿ
Bei der Methylierung von Cytosin wird eine Methylgruppe (– CH₃) aus dem Akzeptor von S-Adenosylmethionin an Cytosin addiert, dieser Vorgang wird durch die Methyltransferase katalysiert, die Anzahl der Elektronen steigt im G-C-Paar, die DNA verdreht sich stärker als Folge der Wirkung von elektrostatischen Kräften (F).
Конец ознакомительного фрагмента.
Текст предоставлен ООО «Литрес».
Прочитайте эту книгу целиком, купив полную легальную версию на Литрес.
Безопасно оплатить книгу можно банковской картой Visa, MasterCard, Maestro, со счета мобильного телефона, с платежного терминала, в салоне МТС или Связной, через PayPal, WebMoney, Яндекс.Деньги, QIWI Кошелек, бонусными картами или другим удобным Вам способом.
Приобретайте полный текст книги у нашего партнера:

