
Рождение сложности. Эволюционная биология сегодня: неожиданные открытия и новые вопросы
Без сотрудничества, кооперации, симбиоза не может существовать (и тем более развиваться) ни одна живая система. Даже для самых жестоких человеческих коллективов (изолированных, так называемых карцерных, где всплывают на поверхность самые дремучие инстинкты и "архаическое мышление") не характерны взаимоотношения по принципу "каждый против каждого". Неизбежно будут складываться какие-то группировки, союзы, альянсы.

Рост разнообразия семейств морских (слева) и континентальных (справа) животных и растений в течение фанерозойского зона (последние 542 млн лет истории Земли). По горизонтальной оси – время в млн лет назад. Толстой линией показан гиперболический тренд. Из статьи: Марков А. В., Коротаев А. В. Гиперболический рост разнообразия морской и континентальной биот фанерозоя и эволюция сообществ. 2008. //Журнал общей биологии. 2008. № 3.
В биологии необходимость кооперации и симбиоза совершенно очевидна. Для того чтобы выжить и оставить потомство, каждое живое существо должно справиться с множеством разнообразных проблем. Нужно каким-то образом получать из окружающей среды необходимые вещества, а недостающие самостоятельно синтезировать из подручного материала; нужно добывать энергию, необходимую для энергоемких химических и физических процессов; нужно вовремя избавляться от отходов жизнедеятельности, находить подходящих партнеров для обмена наследственным материалом, заботиться о потомстве, защищаться от хищников и так далее – и все это в переменчивой, далеко не всегда благоприятной внешней среде. Требования, предъявляемые жизнью к каждому отдельному организму, не только многочисленны и разнообразны – очень часто они еще и противоречивы. Невозможно оптимизировать сложную систему сразу по всем параметрам: чтобы добиться совершенства в чем-то одном, приходится жертвовать другим. Поэтому эволюция – это вечный поиск компромисса, и отсюда следует неизбежная ограниченность возможностей любого отдельно взятого живого существа. Самый простой и эффективный путь преодоления этой ограниченности – симбиоз, то есть кооперация "специалистов разного профиля".
Биологическая эволюция в целом производит впечатление гораздо более "гуманного" процесса, чем история заселения европейцами Нового Света или процесс формирования карцерных коллективов. Как мы увидели из предыдущих глав, симбиоз и кооперация стали неотъемлемыми свойствами земной жизни с самого момента ее зарождения, и в дальнейшем эти тенденции только усиливались. Примерно 2 млрд лет назад они привели к радикальному перелому в развитии жизни на нашей планете – к событию, которое по праву считается вторым по значимости в ее истории. На первом месте, конечно, стоит само появление жизни, о котором мы говорили в главе 1. А появление эукариотической (ядерной) клетки уверенно занимает второе место[25].
Сообщество превращается в организм
"Планета микробов" жила и успешно развивалась в течение миллиарда или более лет, и за это время ее микроскопические обитатели добились немалых успехов. Высшим достижением этого этапа эволюции стали сложные микробные сообщества – бактериальные маты, о которых говорилось в предыдущей главе.
По уровню целостности бактериальный мат приближается к настоящему организму. Приближается, но все-таки не достигает этого уровня. В какой-то момент эволюция микробных сообществ словно наткнулась на невидимую преграду – и вдруг оказалось, что для дальнейшего эволюционного прогресса не хватает чего-то очень важного. Забегая вперед, скажу, что прокариоты так и не смогли преодолеть этот рубеж и дать начало настоящим многоклеточным организмам.
Все развитие прокариотной биосферы строилось на основе одного и того же базового "кирпичика", породившего бесчисленное множество собственных модификаций. Этим кирпичиком была прокариотическая клетка. При всех бесспорных преимуществах этой универсальной живой единицы, при всем ее умении приспосабливаться почти к любым условиям и извлекать энергию чуть ли не из любого химического процесса в строении прокариотической клетки есть ряд непреодолимых ограничений.
Главное из них связано с отсутствием клеточного ядра. Наследственный материал прокариот (обычно это единственная кольцевая молекула ДНК – кольцевая хромосома) находится прямо в цитоплазме, то есть, образно говоря, в бурлящем биохимическом котле, где происходит обмен веществ и осуществляются тысячи химических реакций. В такой неспокойной обстановке очень трудно развить сложные и эффективные молекулярные механизмы регуляции работы генов. У эукариот функционирование генома регулируется сотнями и тысячами специализированных белков, а также особыми регуляторными РНК и другими молекулами. Весь этот управляющий аппарат находится в ядре клетки, и ядерная оболочка надежно защищает его от бурной биохимической деятельности цитоплазмы. Тонкая регуляция работы генов обеспечила эукариотам качественно иной уровень пластичности. Самое главное, она позволила клетке радикально менять свои свойства, структуру и облик, не изменяя при этом сам геном, а только усиливая или ослабляя работу разных генов. Именно эта пластичность позволила эукариотам в конце концов стать многоклеточными в строгом смысле этого слова. Ведь в настоящем многоклеточном организме не просто много клеток, а много разных типов клеток (покровные, мышечные, нервные, половые и т. д.) Однако геном у них у всех один и тот же!
Разумеется, механизмы регуляции работы генов есть и у прокариот, но они проще и работают менее эффективно. Некоторые "высшие" прокариоты, такие как цианобактерии, могут даже иногда менять строение своих клеток, не меняя генома (пример – образование гетероцист у нитчатых цианобактерий, о чем говорилось в главе "Планета микробов"). Но эти зачаточные способности к адаптивным модификациям клеток не идут ни в какое сравнение с тем, что наблюдается у эукариот.
Второй важный конструктивный "недостаток" прокариотической клетки состоит в отсутствии окруженных мембранами органелл. Или, как говорят биологи, в отсутствии компартментализации внутренней среды клетки: цитоплазма прокариот не подразделена на отсеки – "компартменты". А ведь далеко не все биохимические процессы, которые могли бы оказаться полезными клетке, можно осуществлять в едином "общем котле", каковым является цитоплазма прокариот. Представьте себе, как усложнилась бы работа химика, если бы в его распоряжении имелась лишь одна-единственная пробирка! Прокариоты, конечно, пытались по-своему преодолеть этот недостаток. Если присмотреться к прокариотической клетке повнимательнее, можно заметить, что в распоряжении бактерий на самом деле не одна "пробирка", а две. В роли второй выступает так называемое периплазматическое пространство, то есть область снаружи от клеточной мембраны (здесь обычно расположено толстое, рыхлое, сложно устроенное многослойное образование – "клеточная стенка"). В толще клеточной стенки могут протекать химические процессы, не совместимые с теми, которые идут в цитоплазме. Но и двух пробирок все-таки мало для хорошей химической лаборатории! Эукариоты в этом отношении дадут прокариотам сто очков вперед. Внутренняя среда эукариотической клетки подразделена двойными и одинарными мембранами на множество разнообразных отсеков-"компартментов" (ядро, митохондрии, пластиды, эндоплазматическая сеть и т. д.).
Именно из-за этих ограничений прокариоты с самого начала так сильно тяготели к симбиозу. В микробном сообществе разные виды микробов в функциональном отношении соответствуют разным отсекам эукариотической клетки. Сообща микробы могут достичь гораздо большего, чем поодиночке.
Однако как бы ни были тесны связи в симбиотическом содружестве микробов, сообщество не становится настоящим целостным организмом, потому что оно не может размножаться как единое целое (подробнее об этом см. врезку "Появлению многоклеточности мешают обманщики" в главе "Рождение сложности", стр…). Каждый из микробов сохраняет способность "сбежать" из сообщества и перейти к самостоятельной жизни, если где-то сложатся подходящие для этого условия; каждый размножается сам по себе и имеет свой собственный индивидуальный геном, который и передает своим потомкам. Поэтому естественный отбор продолжает действовать на уровне отдельных клеток, а не на уровне сообщества. Любая мутация, повышающая жизнеспособность данного конкретного микроба, будет поддержана отбором даже в том случае, если это вредно для сообщества как целого. Чаще всего вред для сообщества будет означать и вред для данного микроба, но, увы, не всегда – иначе не было бы на свете паразитов и обманщиков. Поэтому эволюция прокариот в основе своей остается эгоистической.
Чтобы преодолеть эти ограничения, прокариотическим клеткам нужно было сделать еще один шаг – вполне естественный и логичный – в сторону дальнейшего усиления интеграции, сплоченности сообщества. Они должны были по-настоящему слиться в единый организм, отказаться от своей клеточной индивидуальности и объединить свои персональные хромосомы в один большой общий геном.
Именно это и случилось в начале протерозойского эона (вероятно, около 2,0–2,2 млрд лет назад)[26]. Сообщество прокариот, слившееся в единый организм – эукариотическую клетку, – стало новым базовым "строительным блоком", усовершенствованным "кирпичиком" в том великом конструкторе, из которого эволюция по сей день продолжает собирать новые формы жизни.
Воскрешенные белки рассказывают о климате древнейших эпох[27]. Для реконструкции древнейших этапов эволюции очень важно хотя бы примерно представлять, в каких условиях происходили эти события. Одним из самых спорных является вопрос о том, каким был климат на планете в течение архейского и протерозойского эонов.
Как правило, о климате столь отдаленных эпох судят по изотопному составу углерода, кислорода, кремния, серы и других элементов в осадочных породах земной коры. Эти данные порой допускают неоднозначное толкование. Иногда предположения о протерозойских температурах базируются на присутствии в породах ископаемых остатков тех или иных бактерий, но и эти данные считаются не вполне надежными и обычно вызывают массу возражений. Как и в случае с абсолютными геохронологическими датировками[28], для повышения надежности и точности палеоклиматических реконструкций огромное значение имеет привлечение разных источников данных. Если каждый метод в отдельности не очень надежен, нужно использовать сразу несколько независимых методов и смотреть, сходятся ли результаты. Вплоть до самого последнего времени палеоклиматические реконструкции, относящиеся к архею и протерозою, казались весьма сомнительными. Однако в феврале 2008 года в журнале Nature появилась статья американских исследователей, которая сильно изменила ситуацию к лучшему.
Ученые из Фонда прикладной молекулярной эволюции, факультета биохимии и молекулярной биологии Флоридского университета и компании "ДНК 2.0 м (DNA 2.0 lnс) провели многоступенчатое исследование, в результате которого удалось получить весьма правдоподобную реконструкцию температуры земной поверхности в архейские и протерозойские времена, то есть 3,5–0,5 млрд лет назад.
Ученые подошли к проблеме с совершенно новой и неожиданной стороны. Их идея состояла в том, чтобы восстановить белки древнейших бактерий и проверить, к каким температурам эти белки лучше всего приспособлены – благо современная молекулярная биология уже способна выполнить такие удивительные маневры, как реконструирование исчезнувших белков. Тогда диапазон температур, в которых реконструированные белки будут устойчивы, как раз и покажет температурные условия, к которым были приспособлены бактерии.
В качестве белков-индикаторов решено было восстановить ферменты, участвующие в последовательном присоединении аминокислот к синтезируемой молекуле белка (этот процесс называется элонгацией и представляет собой основной этап трансляции). Ферменты этого этапа трансляции называются факторами элонгации. Они должны всегда присутствовать в клетке в большом количестве, пока клетка жива, и всегда должны быть наилучшим образом приспособлены к окружающей среде, иначе белки в клетке будут синтезироваться слишком медленно. Исследователи остановили свой выбор на одном из трех основных факторов элонгации, присутствующих у прокариот, – EF-Tu (elongation factor thermo-unstable).
Исходя из строения факторов элонгации и, соответственно, кодирующих их генов у разных групп современных бактерий, а также у хлоропластов и митохондрий были реконструированы наиболее вероятные предковые гены факторов элонгации, соответствующие основным узлам (точкам ветвления) эволюционного древа бактерий. Эта стандартная статистическая задача сейчас легко решается: банки данных с расшифрованными генными последовательностями, в том числе и гены белков – факторов элонгации, находятся в открытом доступе. Для реконструкций были использованы две альтернативные схемы эволюции бактерий, так что генные последовательности пред– ковых белков получились немного разные. Затем эти гипотетические белки изготовили в лаборатории: собрали кодирующие их гены, внедрили их в клетки кишечной палочки, и бактерия вынужденно синтезировала необходимые ученым белки. После чего можно было спокойно изучать термостойкость этих воскрешенных белков.
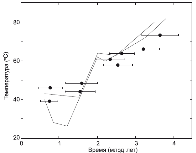
Выяснилось, что, чем раньше разошлись эволюционные ветви, то есть чем раньше жил общий предок соответствующей группы бактерий, тем более термостойким был его фактор элонгации. Самые древние общие предки, жившие в раннеархейские времена (3,5 млрд лет назад), были приспособлены к температуре около 60–70 °C. Самые молодые, жившие в конце протерозоя (550 млн лет назад), предпочитали гораздо более прохладный климат – 37–35 °C.

Снижение воссозданных температур плавления факторов элонгации по мере приближения к современности. По горизонтальной оси – время в млрд лет назад. Горизонтальные отрезки – это предполагаемое время существования общего предка той или иной группы бактерий по молекулярным часам с диапазоном возможных ошибок. Температура плавления экспериментальных белков определена без ошибок (для современных бактерий показано, что они лучше всего растут при температуре примерно на 2 градуса ниже у чем температура плавления белка EF-Tu, характерного для данной бактерии). Серыми линиями показан тренд снижения температуры океанов по изотопам кислорода (светлая и темная линии отражают оценки, полученные разными авторами на основе анализа разных горных пород).
Это означает, что на заре земной жизни бактерии жили примерно в таких же условиях, какие сейчас существуют в горячих источниках, если к этому прибавить ультрафиолет и отнять кислород (пока в атмосфере не было кислорода, не было и озонового слоя, задерживающего ультрафиолетовое излучение).
Что касается цианобактерий, то они, как выяснилось, изначально жили при температуре около 64 °C. Примерно к таким же температурам приспособлены и современные цианоактериальные маты, живущие в горячих источниках. Общий предок всех митохондрий, судя по свойствам воскрешенных белков, жил при температуре 51–53 °C; общий предок всех бактерий – вообще при 64,8-73,3 °C.
Самое главное, что полученные результаты почти полностью совпали с теми графиками, которые были получены ранее по изотопам кислорода и кремния. Совпадение результатов, полученных различными методами и на основе различных данных, всегда обнадеживает – это, пожалуй, единственный критерий правдоподобия подобных реконструкций.
(Источник: Eric A. Gaucher, Sridhar Govindarajan, Omjoy К. Ganesh. Palaeotemperature trend for Precambrian life inferred from resurrected proteins // Nature. 2008. V. 451. P. 704–707.)Из кусочков
В настоящее время в научной литературе обсуждается два или три десятка возможных сценариев превращения сообщества прокариот в эукариотическую клетку Они разнятся в деталях, но имеют много общего в целом. Общепризнанными считаются следующие факты.
1. Митохондрии (органеллы эукариотической клетки, ответственные за кислородное дыхание) являются прямыми потомками прокариот из группы альфапротеобактерий. К этой группе бактерий относятся современные внутриклеточные паразиты риккетсии (такие как возбудитель сыпного тифа, а также вольбахия, о которой рассказано в главе "Наследуются ли приобретенные признаки?"), некоторые аноксигенные фототрофы – пурпурные бактерии – и многие другие микробы. В качестве неоспоримых доказательств своего бактериального происхождения митохондрии по сей день сохранили маленькую кольцевую хромосому прокариотического типа с несколькими функционирующими генами (все остальные ми– тохондриальные гены перебазировались в ядро и стали частью "общего" ядерного генома клетки), способность к самостоятельному размножению путем деления (причем осуществляется это деление при помощи тех же самых белков, что и у свободноживущих бактерий), типично бактериальный аппарат синтеза белка и множество других признаков. Сомневаться не приходится: предки митохондрий, свободноживущие альфапротеобактерии, когда-то были "проглочены" другим одноклеточным организмом, но не переварились, а стали неотъемлемой частью клетки.
2. Пластиды (органеллы растительной клетки, отвечающие за фотосинтез) являются потомками цианобактерий. Сходство пластид со свободноживущими цианобактериями настолько велико, что никаких сомнений тут просто не может быть.
3. Что касается "всего остального", то есть цитоплазмы эукариотической клетки и ее ядра, то здесь наблюдается причудливое смешение признаков архей и некоторых групп бактерий, а также уникальных черт, свойственных только эукариотам.
Основные различия между имеющимися гипотезами происхождения эукариот касаются происхождения "ядерно-цитоплазматического компонента" эукариотической клетки. Ясно, что его предком был какой-то крупный одноклеточный организм, который "проглотил" сначала будущих митохондрий, а потом будущих пластид, и превратил их в своих внутренних "сожителей"-симбионтов. Или, может быть, они не были проглочены, а проникли в него по собственной инициативе (подобно тому, как сейчас это делают внутриклеточные паразитические бактерии). Проблема в том, что этот организм-хозяин, насколько мы можем судить, был не очень похож на современных, доживших до наших дней прокариот. Он обладал рядом уникальных свойств.
Существует несколько версий его происхождения. Одни эксперты считают, что это была архея, возможно, близкая к современным термоплазмам или ферроплазмам, о которых мы немного рассказали в главе "Происхождение жизни". Все уникальные свойства развились уже после приобретения внутренних симбионтов (митохондрий) и объединения разнородных геномов в единый ядерный геном. Согласно другой гипотезе, предком цитоплазмы и ядра эукариот был представитель не архей и не бактерий, а некоей особой вымершей группы прокариот. Согласно третьей точке зрения, это был химерный организм, образовавшийся в результате слияния клеток нескольких разных архей и бактерий. Впрочем, дело могло обойтись и без слияния – оказалось достаточно очень интенсивного обмена генами между разными микробами, чтобы их свойства перемешались в одной клетке (о горизонтальном генетическом обмене подробно рассказано в главе "Наследуются ли приобретенные признаки?").

Распределение белковых семейств в трех надцарствах живой природы. Площади кругов соответствуют количеству семейств белков, встреченных у представителей данного надцарства. Как видно из рисунка, 1157 белковых семейств являются общими для всех трех надцарств, 2372 встречены только у эукариот, 831 есть у эукариот и бактерий, но не у архей, и т. д. (из статьи: Марков А. В., Куликов А. М. Происхождение эвкариот[29]: выводы из анализа белковых гомологий в трех надцарствах живой природы // Палеонтол. журн. 2005. № 4. С. 3–18. http://evolbiol.ru/markov_kulikov.htm).
У каждой из версий, понятное дело, есть свои аргументы и свои сторонники. Лично мне больше всего нравится "химерная" теория. По крайней мере, именно к ней склонил нас с А. М. Куликовым (Институт биологии развития РАН) сравнительный анализ семейств белков, имеющихся у представителей трех надцарств живой природы – архей, бактерий и эукариот. Белки архейного происхождения, хотя их не очень много (114 семейств, см. рисунок), играют в эукариотической клетке ключевую роль. Именно они отвечают за работу с генетической информацией – транскрипцию, трансляцию, репликацию. Сюда относятся и НК-полимеразы, о которых шла речь выше, а также большинство белков, входящих в состав рибосом. Это позволяет предполагать, что в основе ядерно-цитоплазматического компонента эукариот лежала именно архея, а не бактерия и не какая-то особая "третья" группа прокариот, не дожившая до наших дней.
Многие белки бактериального происхождения попали в эукариотическую клетку вместе с "проглоченными" симбионтами – предками митохондрий и пластид. Однако среди "бактериальных" белков цитоплазмы и ядра есть и много таких, которые, скорее всего, не могли быть получены таким способом. Речь идет о тех семействах белков, которые есть у эукариот и есть также у бактерий, но не у тех, от которых произошли органеллы, а у каких-нибудь других. Иными словами, в эукариотической клетке существуют "бактериальные" семейства белков, которые не могли быть получены первыми эукариотами ни от "проглоченных" альфапротеобактерий, ни от цианобактерий – предков пластид. Но они, однако, могли быть получены от других бактерий – в особенности от различных бродильщиков (гетеротрофных бактерий, сбраживающих углеводы в бескислородных условиях). Похоже, именно от бродилыциков эукариоты получили, в частности, ферменты гликолиза – так называется важнейший энергетический процесс, происходящий в цитоплазме эукариотической клетки. Суть его в том, что молекула глюкозы расщепляется ("сбраживается") без использования кислорода до пировиноградной кислоты (пирувата), и при этом происходит синтез АТФ. Пируват является для цитоплазмы конечным продуктом обмена, "отходом жизнедеятельности". Но пируват затем попадает в митохондрии, которые "сжигают" его в своей кислородной печке с огромным выходом энергии (которая тоже используется для синтеза АТФ). В совокупности бескислородный гликолиз, происходящий в цитоплазме, и кислородное дыхание, происходящее в митохондриях, являются главными источниками АТФ для эукариотической клетки.
Конец ознакомительного фрагмента.
Текст предоставлен ООО «ЛитРес».
Прочитайте эту книгу целиком, купив полную легальную версию на ЛитРес.
Безопасно оплатить книгу можно банковской картой Visa, MasterCard, Maestro, со счета мобильного телефона, с платежного терминала, в салоне МТС или Связной, через PayPal, WebMoney, Яндекс.Деньги, QIWI Кошелек, бонусными картами или другим удобным Вам способом.
Примечания
1
Ю. В. Чайковский, Наука о развитии жизни, 2006. http://rogov.zwz.ru/Macroevolution/chaik2006.djvu Должен оговориться, что с некоторыми идеями этой книги я категорически не согласен, что, в прочем, не лишает их права на существование
2
От имени французского натуралиста Этьена Жоффруа Сент-Илера (Eґtienne Geoffroy Saint-Hilaire, 1772–1844).
3
Аристофан. Облака. Перевод А. Пиотровского.
4
Телеология – представление о том, что природные объекты существуют или созданы с определенной “целью”.
5
Креационизм – учение о возникновении живой природы путем творения, а не в результате естественного развития.
6
American Biology Teacher. 1973. V. 35. P. 125–129. http://en.wikipedia.org/wiki/Nothing_in_Biology_Makes_Sense_Except_in_the_Light_of_Evolution Между прочим, Добржанский, в 1927 году эмигрировавший в США, был верующим человеком (православным), регулярно ходил в церковь, причащался, постился и прочее. Что опровергает утверждение о том, что эволюционное учение якобы несовместимо с религией. Просто нужно держать науку и религию на разных “полочках” в голове: наука – тут, а религия – там. Это не очень легко, но у многих получается. Пример Добржанского далеко не единичен.
7
Полный текст выступления А. А. Зализняка см. по адресу: http://elementy. ru/lib/430463/430464.
8
А. М. Гиляров. Ариаднина нить эволюционизма. 2007. http://evolbiol.ru/ ariadna_vestnik.doc.
9
Впрочем, эта мода отнюдь не нова: за ней стоит давняя философская традиция.
10
В. Снытников, В. Пармон. Жизнь создает планеты? // Наука из первых рук. № 0. 2004. С. 20–31. http://evolbiol.ru/npr_snytnikov.pdf.

