
Эволюция. Классические идеи в свете новых открытий
Напомним, что «колыбелью» эукариотической клетки были древние микробные сообщества (бактериальные маты), а большой красной кнопкой, запустившей конвейер формирования эукариот, стал, вероятно, переход цианобактерий к кислородному фотосинтезу (Марков, 2010). Для тогдашних живых существ кислород был ядом. Примерно 2,4–2,2 млрд лет назад произошла «великая кислородная революция», изменившая облик планеты. Атмосфера и гидросфера насытились кислородом, химические элементы перешли из восстановленных форм в окисленные. Многие микробы тогда вымерли, другие сохранились только в анаэробных (бескислородных) убежищах, а остальные приспособились к новому яду, причем разные прокариоты сделали это по-разному. Фотосинтезирующие бактерии выработали систему обезвреживания кислорода на основе молекулярных систем фотосинтеза (электроннотранспортных цепей) – так появилось кислородное дыхание. Другие бактерии приобрели другие защитные средства. Что касается предков эукариот, то они, по-видимому, поначалу спасались благодаря активному заимствованию чужих генов. В их эволюции был период необычайно интенсивного ГПГ. Они не только позаимствовали у соседей по микробному сообществу набор ферментов, позволяющих жить в присутствии кислорода, но и приобрели способность комфортно обустраивать в своих клетках симбионтов. В конце концов предки эукариот вступили в симбиоз с аэробной (дышащей кислородом) бактерией, которая дала начало митохондриям.
Таким образом, предки эукариот заимствовали много генов у неродственных микробов. Мы знаем, что у современных микробов в ходе ГПГ «незаконная рекомбинация» происходит реже, чем гомологичная, а у неродственных микроорганизмов гены заимствуются реже, чем у близких форм. Отсюда вывод: если предки эукариот активно заимствовали гены у неродственников, то со «своими» они, скорее всего, менялись генами еще чаще.
Мы предполагаем, что амфимиксис развился параллельно со становлением эукариотической клетки – как естественный итог развития механизмов ГПГ в условиях, когда отбор способствовал росту интенсивности генетического обмена. Чтобы пояснить эту мысль, нужно ответить на два ключевых вопроса. Начнем по порядку.
1. ПОЧЕМУ ОТБОР, ДЕЙСТВОВАВШИЙ НА ПРЕДКОВ ЭУКАРИОТ, ДОЛЖЕН БЫЛ СПОСОБСТВОВАТЬ ИНТЕНСИФИКАЦИИ ГЕНЕТИЧЕСКОГО ОБМЕНА МЕЖДУ РОДСТВЕННИКАМИ?Мы уже знаем, что секс полезен, потому что помогает отбору избавляться от вредных мутаций и накапливать полезные. К этому нужно добавить, что полезные эффекты проявляются тем сильнее, чем больший процент генов подвергается «перетасовке» и обмену в каждом поколении. Если вы обмениваете 50 % своих генов (как эукариоты при половом размножении), это надежнее защитит вас от вырождения, чем при обмене 1 % или 10 % генов (а прокариоты едва ли способны на большее).
Что касается протоэукариот, то они подвергались особенно сильному риску генетического вырождения. Во-первых, на ранних этапах «кислородной революции» кислород в микробных сообществах уже появился, а озонового слоя в атмосфере еще не было. Следовательно, поверхность планеты и те мелководья, где жили цианобактериальные маты – колыбель эукариот, подвергались интенсивному ультрафиолетовому облучению. В присутствии кислорода под действием ультрафиолета образуются АФК (активные формы кислорода) – сильнейшие мутагены. Скорость мутирования должна была решительно вырасти, что повышало риск вырождения (ведь вредных мутаций всегда возникает намного больше, чем полезных).
Во-вторых, у протоэукариот по сравнению с их предками археями резко увеличился геном – точнее, его «полезная» часть, мутации в которой влияют на приспособленность. Он сложился из архейного генома и геномов прижившихся симбионтов. Между тем известно, что угроза генетического вырождения быстро растет по мере увеличения генома. Чем больше геном, тем больше в нем возникает вредных мутаций в каждом поколении (при неизменной скорости мутирования в расчете на нуклеотид).
Таким образом, угроза генетического вырождения должна была встать перед древними эукариотами в полный рост. Поскольку секс прекрасно защищает от этой угрозы, отбор должен был содействовать адептам сексуальной революции, делая генетический обмен все более интенсивным.
2. ПОЧЕМУ ОТБОР НА ИНТЕНСИФИКАЦИЮ ГПГ СПРОВОЦИРОВАЛ ПЕРЕХОД К АМФИМИКСИСУ?Прокариотический секс не может достичь оптимальной (т. е. высокой) интенсивности по нескольким причинам. Среди них и риск приобретения неподходящих фрагментов ДНК, и засилье эгоистических элементов, контролирующих ГПГ, – таких как конъюгационные плазмиды, «заботящиеся» больше о собственном распространении, чем об интересах хозяина. Но самая удивительная (и возможно, важнейшая) причина в другом. Она связана с конфликтом интересов[44] между генами, участвующими в гомологичной рекомбинации. Когда бактерия заглатывает кусок ДНК и заменяет им гомологичный фрагмент собственной хромосомы, то это выгодно заимствованному фрагменту (он получает шанс размножиться), но в высшей степени невыгодно заменяемому фрагменту собственной хромосомы бактерии. Ведь он обречен на гибель, он будет разобран на нуклеотиды и не перейдет в следующее поколение.
Способность к активному заимствованию чужих генов (трансформации), как и другие признаки, находится под генетическим контролем. Иными словами, мутации могут влиять на частоту трансформации. Допустим, у бактерии есть ген (назовем его tr), от состояния которого зависит эта частота. Такие гены называют модификаторами. Ген tr – модификатор трансформации. У него есть два аллельных варианта: tr+ и tr−. Бактерии с аллелем tr+ заимствуют чужие гомологичные гены и заменяют ими свои собственные. Бактерии с аллелем tr− этого не делают. Трансформация полезна – она дает все преимущества, о которых мы говорили выше. Какой же из двух аллелей победит в конкуренции? Какой из них зафиксируется, а какой элиминируется?
Моделирование показывает, что если бы ген tr сам не участвовал в трансформации, то непременно зафиксировался бы аллель tr+. Что и неудивительно, ведь он полезен.
К несчастью (для микробов), защитить его от трансформации практически нереально. Если уж бактерия меняет свои гены, то и ген – модификатор трансформации tr тоже будет подлежать обмену. А теперь – внимание! – самое интересное. Аллель tr+ в результате трансформации будет систематически заменяться аллелем tr−. А вот в обратную сторону генетический обмен работать не будет: ведь бактерии с аллелем tr− не трансформируются.
Получается, что аллель tr+ – это ген-самоубийца. Он будет то и дело замещать себя своим конкурентом – аллелем tr−. «Хитрым» аллелем, который и другим генам не дает трансформироваться, но и себя никем не замещает.
Аллель tr− яркий пример эгоистичного гена. Его частота в генофонде популяции будет расти вопреки тому, что он вреден. Он вреден ровно в той мере, в какой при данных условиях полезен секс. Аллель tr− снижает приспособленность и особей, и популяции в целом, но все равно наращивает свою численность в генофонде – просто потому, что не практикует гибельное самозамещение, как его конкурент tr+, полезный всем, кроме самого себя.
В результате частота самой интересной и перспективной разновидности прокариотического секса (трансформации с гомологичной рекомбинацией) вынуждена оставаться низкой – гораздо ниже того уровня, который обеспечивает наилучшую защиту от вырождения. «Суицидальный эффект» генов – модификаторов трансформации не позволяет горизонтальному переносу генов достичь оптимального уровня интенсивности.
Та же логика работает и в отношении другого способа прокариотического секса – конъюгации. Мы не будем утомлять читателей детальной аргументацией этого тезиса: просто примите на веру или проверьте сами при помощи компьютерного моделирования или по литературным данным (обратите при этом внимание на хитрые адаптации, выработанные конъюгационными плазмидами для предотвращения попадания в зараженную клетку других плазмид – эти адпатации аналогичны нашему аллелю tr−).
Итак, налицо классический эволюционный тупик. Микробам с разросшимися геномами, подвергающимся к тому же воздействию сильных мутагенов, было бы выгодно перейти к более интенсивному генетическому обмену. Но они не могут этого сделать из-за конфликта интересов между теми генами, которые подлежат замене и уничтожению в ходе гомологичной рекомбинации, и геномом в целом. Интересы последнего совпадают с интересами особи и популяции, но все тщетно: отбор на уровне генов берет верх и над индивидуальным, и над групповым отбором.
Можно ли устранить конфликт интересов? Очевидно, для этого нужно сделать так, чтобы заменяемые гены не шли «на выброс», не погибали, а сохраняли в полной мере свой шанс перейти к потомкам. Тогда отбор уже не будет поддерживать возникающие в них мутации, препятствующие сексу. Но как этого добиться?
Вдумчивые читатели, наверное, уже догадались, что переход к амфимиксису – полногеномному взаимному генетическому обмену – как раз и является спасительным выходом из тупика.
В прокариотическом ГПГ участвуют один целый геном и обрывок другого. После обмена гомологичными участками остается опять-таки один целый (обновленный) геном и ненужные обрывки, которые некуда пристроить, которые годны только на запчасти-нуклеотиды. Для них все кончено, они уже не перейдут к потомкам. Любая мутация, защищающая ген от такой безысходной судьбы, получает шанс распространиться.
В полногеномном взаимном обмене участвуют два целых генома. После обмена гомологичными участками остается по-прежнему два целых генома. Это совсем другое дело! Теперь клетка, в которой находятся эти геномы, может просто поделиться, отправив в каждую из дочерних клеток по одному геному[45]. Еще и на репликации сэкономит, а главное – никто не обижен, никто не идет на выброс. Следовательно, нет и оснований для распространения мутаций, защищающих гены от рекомбинации.
Только переход к полногеномному взаимному генетическому обмену мог сделать интенсивную межорганизменную рекомбинацию эволюционно стабильной, т. е. защищенной от эгоистичных аллелей, подобных tr−. Именно это, как мы думаем, и произошло у древних эукариот.
Промежуточным звеном на пути от ГПГ к амфимиксису могла стать взаимная конъюгация с образованием цитоплазматических мостиков и рекомбинацией геномной ДНК двух клеток (Gross, Bhattacharya, 2010). Нечто похожее на такое промежуточное звено, а именно конъюгация с образованием цитоплазматических мостиков, передачей геномной ДНК и с возможностью каждой клетки быть как донором, так и реципиентом, обнаружено у галофильных (солелюбивых) архей Haloferax (Halobacterium) volcanii (Rosenshine et al., 1989; Ortenberg et al., 1998).
Итак, половое размножение эукариот, возможно, является не просто аналогом, а прямым наследником прокариотического секса.
Плата за секс, или Двойная цена самцов
Мы выяснили, что секс для жизни исключительно полезен. Он залог стабильности в нашем нестабильном мире. Но, как известно, бесплатный сыр бывает только в мышеловке. Чем же живые существа платят за возможность быстро приспосабливаться?
Микробы, изредка меняющие несколько своих генов на заимствованные у соседей копии, возможно, платят за секс немного. Особенно если учесть, что механизм гомологичной рекомбинации, основанный на комплементарности, снижает риск попадания в геном чего-то совсем уж неподходящего, а возможность использовать чужую ДНК просто в качестве пищи служит дополнительным бонусом. Цена невысока, но и выигрыш от такого секса невелик. Он выше у амфиктических, раздельнополых организмов. Но и платят они за секс гораздо больше. Платить приходится за самцов, и цена получается удвоенная.
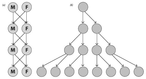
Суть в том, что при прочих равных бесполое клональное размножение (или самооплодотворение) ровно в два раза эффективнее, чем перекрестное оплодотворение с участием самцов (см. рисунок). Эту проблему рассмотрел выдающийся эволюционист Джон Мэйнард Смит (1920–2004) в книге The Evolution of Sex (1978).

Схема, иллюстрирующая «двойную цену самцов». У раздельнополых организмов половину потомства каждой самки составляют самцы, которые сами никакого потомства произвести не могут. При бесполом размножении все потомство состоит из самок (при самооплодотворении – из самостоятельно размножающихся гермафродитов). Поэтому при прочих равных размножение без участия самцов вдвое эффективнее, чем с самцами. На рисунке показана ситуация, когда каждая самка производит ровно двух потомков.
Получается, что самцы обходятся популяции непомерно дорого. Отказ от них дает значительный выигрыш в скорости размножения. Мы уже знаем, что переход от раздельнополости и перекрестного оплодотворения к бесполому размножению или самооплодотворению технически вполне возможен. Тому есть масса примеров как у растений, так и у животных. Однако бесполые расы и популяции самооплодотворяющихся гермафродитов почему-то до сих пор так и не вытеснили тех, кто размножается «обычным» образом, с участием самцов.
Из этого следует, что секс вообще (и раздельнополый секс в частности) должен давать настолько важные преимущества, что они перекрывают даже двойной проигрыш в эффективности размножения. Причем эти преимущества должны проявляться быстро, а не когда-нибудь через миллион лет. Повторим, что естественному отбору нет дела до отдаленных перспектив.
Еще о пользе секса, или Лучше меньше, да лучше
Рассмотрим пример, который показывает, что выигрыш от секса у раздельнополых организмов все равно перевешивает двойные потери в числе потомков. Такой пример нужно подбирать особенно тщательно, потому что нужен хороший контроль. В данном случае нужны две группы организмов (две популяции), одинаковые во всем, кроме одного – способности к сексу. И такие популяции биологам удалось создать.
Биологи из Орегонского университета (Morran et al., 2009) работали с уже знакомым нам червем C. elegans. Эти прекрасные животные словно нарочно созданы для проверки гипотез о пользе секса. Как мы помним, у них нет самок. Популяции состоят из самцов и гермафродитов, причем последних больше. Гермафродиты производят сперматозоиды и яйцеклетки и могут размножаться без посторонней помощи путем самооплодотворения. Самцы производят только сперматозоиды и могут оплодотворять гермафродитов. В результате самооплодотворения на свет появляются только гермафродиты. При перекрестном оплодотворении половина потомства оказывается гермафродитами, половина – самцами. Частота перекрестного оплодотворения в популяциях C. elegans обычно не превышает нескольких процентов. Чтобы определить эту частоту, не нужно следить за интимной жизнью червей – достаточно знать процент самцов в популяции.

У круглых червей Caenorhabditis elegans нет самок, а есть только самцы (вверху) и гермафродиты (внизу). Гермафродитов можно отличить по тоненькому длинному хвостику.
Следует пояснить, что самооплодотворение – не совсем то же самое, что бесполое (клональное) размножение, однако различия между ними быстро сходят на нет в череде самооплодотворяющихся поколений. После этого потомство перестает отличаться от родителей генетически, точно так же, как и при клональном размножении.
У C. elegans известны мутации, влияющие на частоту перекрестного оплодотворения. Одна из них, xol-1, смертельна для самцов и фактически приводит к тому, что в популяции остаются только гермафродиты. Другая, fog-2, лишает гермафродитов способности производить сперму и фактически превращает их в самок. Популяция, в которой все особи несут эту мутацию, становится обычной раздельнополой популяцией, как у большинства животных.

Схема экспериментальной установки. Молодых червей каждого нового поколения помещают в левую половину чашки (белый кружок). Чтобы добраться до еды (серый овал), они должны преодолеть барьер. Слабые особи, перегруженные вредными мутациями, не справляются с этой задачей. Из Morran et al., 2009.
Авторы при помощи классических методов (путем скрещиваний, а не генной инженерии) вывели две породы червей с почти одинаковыми геномами, различающимися только наличием мутаций xol-1 и fog-2. У первой породы была мутация xol-1, и нематоды размножались только самооплодотворением. У второй имелась мутация fog-2, так что эти черви размножались только путем перекрестного оплодотворения. К каждой породе прилагалась третья, лишенная обеих мутаций (дикий тип, ДТ). У ДТ частота перекрестного оплодотворения около 5 %. С этими тройками были проведены следующие две серии экспериментов.
В первой серии проверялась гипотеза о том, что перекрестное оплодотворение помогает избавляться от вредных мутаций. Эксперимент продолжался 50 поколений (червей, разумеется, а не экспериментаторов). Каждое поколение червей подвергалось действию химического мутагена – этилметансульфоната. Это увеличило частоту мутирования в четыре раза. Молодых животных помещали в чашку Петри, разделенную пополам барьером из крохотных кирпичиков (см. рисунок), причем червей сажали в одну половину чашки, а их пища (бактерии E. coli) находилась в другой половине. Таким образом, чтобы добраться до еды, а значит получить шанс выжить и оставить потомство, черви должны были преодолеть барьер. Тем самым экспериментаторы повысили эффективность очищающего отбора, который отсеивает вредные мутации. В обычных лабораторных условиях эффективность отбора низка, потому что черви окружены пищей со всех сторон. Это позволяет выжить даже очень слабым животным, перегруженным вредными мутациями. В новой экспериментальной установке этой уравниловке был положен конец. Чтобы преодолеть стенку, червь должен быть здоров и крепок.
Ученые сравнивали приспособленность червей до и после эксперимента, т. е. у особей первого и пятидесятого поколения. Червей C. elegans можно хранить в замороженном виде. Это очень удобно. Пока длился эксперимент, выборка червей первого поколения спокойно лежала в морозильнике. Приспособленность измеряли так: червей смешивали в равной пропорции с контрольными червями дикого типа, в геном которых был вставлен ген светящегося белка, и сажали в экспериментальную установку. Животным давали время, чтобы преодолеть барьер и размножиться, а затем определяли процент несветящихся особей в потомстве. Если этот процент увеличился в пятидесятом поколении по сравнению с первым – значит, в ходе эксперимента приспособленность выросла, если уменьшился – значит, имело место вырождение. В результате получилось, что искусственно повышенная скорость мутирования привела к вырождению (снижению приспособленности) всех пород червей, кроме «облигатных перекрестников». Эксперимент показал, что перекрестное оплодотворение – мощное средство борьбы с «генетическим грузом».
Даже тем линиям, у которых мутагенез не был искусственно ускорен, высокая частота перекрестного оплодотворения дала преимущество. В обычных лабораторных условиях это преимущество не проявляется, потому что червям не нужно перелезать через стенки, чтобы добраться до корма. Однако в условиях эксперимента у «облигатных самооплодотворителей» даже без повышения скорости мутирования произошло вырождение.
Кроме того, частота перекрестного оплодотворения у «диких» пород в ходе эксперимента выросла по сравнению с исходными на 5 %. Это, пожалуй, самый важный результат. Он означает, что в жестких условиях преимущество получают особи, размножающиеся путем перекрестного оплодотворения. Их потомство оказывается более жизнеспособным, и поэтому в ходе эксперимента автоматически идет отбор на склонность к перекрестному оплодотворению.
Таким образом, этот эксперимент подтвердил гипотезу о том, что секс выгоден популяции, несмотря на «двойную цену самцов». Он помогает популяции избавляться от вредных мутаций и эффективно приспосабливаться к жизненным неурядицам.
Во второй серии экспериментов проверялось, помогает ли перекрестное оплодотворение вырабатывать адаптации путем накопления полезных мутаций. На этот раз червям, чтобы добраться до пищи, нужно было преодолеть зону, заселенную бактериями Serratia. Эти бактерии, попадая в пищеварительный тракт C. elegans, вызывают у червя смертельное заболевание.
Чтобы выжить, черви должны были либо научиться не глотать вредных бактерий, либо выработать устойчивость к ним. Какой из вариантов они выбрали – неизвестно, но за 40 поколений черви, практикующие секс, отлично приспособились к новым условиям, черви дикого типа приспособились хуже, а облигатные гермафродиты не приспособились совсем: их выживаемость в среде с вредными бактериями осталась на исходном низком уровне. И снова в ходе эксперимента у диких червей увеличилась частота перекрестного оплодотворения.
Таким образом, перекрестное оплодотворение действительно помогает популяции приспосабливаться к меняющимся условиям, в данном случае – к появлению болезнетворного микроба. Тот факт, что в ходе эксперимента у дикого типа увеличилась частота перекрестного оплодотворения, означает, что спаривание с самцами (в противовес самооплодотворению) дает гермафродитам преимущество, перевешивающее «двойную цену», которую им приходится платить, производя на свет самцов.
Как видим, выводы совпадают с результатами экспериментов на дрожжах, в которых тоже было показано, что секс способствует и отбраковке вредных мутаций, и накоплению полезных. Скорее всего, эти два эффекта взаимосвязаны и их не следует противопоставлять друг другу. Секс перетасовывает гены, позволяя отбору «отделять зерна от плевел» – распространять гены с полезными мутациями, одновременно избавляясь от генов с мутациями вредными. Это две стороны одной медали, и какая из них окажется более важной в данном месте и в данное время, зависит от многих факторов, включая темп мутагенеза и благоприятность условий.
Читатель может возразить, что искусственные мутантные популяции и выдуманные для них трудности далеки от реальных природных условий. Но и природа, как показывают натурные исследования, против отказа от самцов, она велит относиться к ним бережно. Это доказывают печально известные факты из истории видов, на которые велась активная охота. Один из таких видов – азиатский сайгак. До середины ХХ века охотники в равной степени выбивали самцов и самок. После снижения численности охоту на этот вид резко ограничили, но браконьеры все равно продолжали отстреливать самцов сайгаков – за их рога отлично платили изготовители эзотерических восточных снадобий. Но отстреливали только лучших самцов с красивыми и большими рогами. Другие, те, что поплоше, оставались, и именно им выпала честь оставлять свои гены потомству. В этом случае проигрыша в числе потомков нет, так как ни самок, ни детенышей не отстреливают. Есть только на первый взгляд эфемерный и не поддающийся количественной оценке ущерб от снижения качества генов, привносимых самцами. Ясно, что в генофонд популяции поступала не самая качественная часть, качественной распоряжались браконьеры. В результате там, где браконьеры хозяйничали особенно активно, стало явным вырождение животных и катастрофическое снижение их численности. Там, где велась регулируемая законная охота, признаков вырождения нет и численность популяций хоть и снизилась в 1970-е годы, но остается относительно стабильной (Мельников, Сидоров, 2009).
Секс против паразитов
Как мы уже знаем, секс особенно полезен в нестабильных условиях. Одним из мощных факторов нестабильности является эволюционная гонка вооружений с паразитами. Эволюционируя, паразиты меняют «условия среды» для своих жертв. Вырабатывая новые адаптации, паразит как бы спихивает жертву вниз с завоеванных ею высот на ландшафте приспособленности. При этом приспособленность жертвы падает, но вероятность появления новых полезных мутаций (защищающих от паразита) повышается. Поэтому многие считают, что именно паразиты не позволяют большинству живых существ отказаться от секса. Нужно помнить, что паразиты вездесущи и вероятность умереть от паразитарных инфекций для многих организмов существенно выше, чем от хищника или несчастного случая.
Паразиты беспрестанно «изобретают» новые способы повышения своей вирулентности, поэтому хозяевам приходится бесконечно совершенствовать способы защиты. К этой ситуации приложима гипотеза Черной Королевы[46], выдвинутая американским палеонтологом Ли ван Валеном в 1970-х годах. Хищники и жертвы, хозяева и паразиты находятся в постоянном соревновании – кто быстрее изобретет новые средства нападения и защиты, у кого они окажутся эффективнее. Стоит одной стороне замедлить свое эволюционное движение, как преимущество получает вторая сторона, а первая проигрывает: популяция теряет численность и вымирает. Половое размножение служит надежным подспорьем в этой гонке вооружений, в коэволюционном процессе.

