
Интервальное голодание. Как восстановить свой организм, похудеть и активизировать работу мозга
3. Глюконеогенез (от 24 часов до двух дней после начала голодания). К этому моменту запас гликогена исчерпан. Печень вырабатывает новую глюкозу из аминокислот. Этот процесс называется глюконеогенез, что буквально означает «создание новой глюкозы». У людей, не страдающих диабетом, уровень глюкозы снижается, но остаётся в пределах нормы.
4. Кетоз (от двух до трёх дней от начала голодания). Низкий уровень инсулина стимулирует липолиз, расщепление жира с выделением энергии. Триглицериды, форма, в которой хранится жир, распадаются на основу из глицерина и три цепочки жирных кислот. Глицерин нужен для глюконеогенеза, а аминокислоты, потребленные ранее, могут сохраниться для синтеза белка. Большинство тканей организма, кроме мозга, используют жирные кислоты непосредственно как источник энергии. Тело применяет жирные кислоты для выработки кетоновых тел, которые способны пройти сквозь гематоэнцефалический барьер и стать источником энергии для тканей мозга. После четырёх дней голодания примерно 75 % энергии, которую использует мозг, поставляют кетоны. Два основных вида кетонов – бета-гидроксибутират и ацетоацетат, и их количество за время голодания может увеличиться в семьдесят раз.
5. Фаза сохранения белка (пять дней от начала голодания). Высокий уровень гормона роста способствует росту мышечной массы. Энергию для основного обмена (минимальное количество энергии, необходимое на обеспечение базовых процессов жизнедеятельности: дыхания, кровообращения, поддержание температуры тела и пр. – Прим. науч. ред.) практически полностью поставляют жирные кислоты и кетоны. Глюкоза в кровь доставляется посредством глюконеогенеза с помощью глицерина. Выросший уровень норэпинефрина (адреналина) препятствует снижению скорости обмена веществ. Оборот белков остаётся прежним, но он не используется для получения энергии. Если вкратце описать этот процесс, то он заключается в переходе от сжигания глюкозы к сжиганию жира. Жир – это попросту запасы энергии из пищи. В периоды, когда пища в недостатке, эти запасы естественным образом высвобождаются, чтобы восполнить недостаток. Тело не «сжигает мышцы», чтобы питаться, пока не использует все запасы жира (подробнее об этом мифе в главе 3). Необходимо учитывать, что эти механизмы естественны и абсолютно нормальны. Исторически периоды нехватки пищи всегда были обычной частью жизни человечества, и наш организм ещё в палеолите создал механизм адаптации к ним. Иначе мы бы просто не выжили как вид. Запуск этих протоколов не причиняет здоровью никакого вреда, за исключением случаев истощения (конечно, если вы недоедаете, вам не следует голодать, и избыточное голодание может вызвать истощение). Тело не перестаёт работать, оно просто меняет источник топлива, переходя от пищи к собственному жиру. Оно делает это с помощью ряда гормональных приспособлений к голоданию.

Рис. 1.2. Пять стадий обмена веществ. Во время голодания уровень глюкозы в крови поддерживается с помощью расщепления запасов гликогена и выработки новой глюкозы с помощью глюконеогенеза

Источник: Кэйхилл, «Источники энергии для обмена веществ при голодании»
Инсулин снижается
Снижение уровня инсулина – одно из самых значительных гормональных изменений при голодании. Все пищевые продукты в той или иной степени повышают инсулин. Рафинированные углеводы повышают инсулин сильнее всего, а жирные продукты – меньше всего. Но в обоих случаях инсулин растёт. Следовательно, самый эффективный способ снижения инсулина – отказ от любых видов пищи.
На начальных стадиях голодания уровень инсулина и глюкозы в крови падает, но остаётся в пределах нормы, поскольку его поддерживает расщепление гликогена и глюконеогенез. После того как весь гликоген использован, тело начинает переходить на энергию из жира. Продолжительный пост снижает инсулин более выраженно.
Регулярное снижение уровня инсулина ведёт к улучшению чувствительности к инсулину: тело становится более восприимчивым к нему. Противоположность чувствительности, инсулинорезистентность – это ключевая причина диабета 2-го типа, а также с этим состоянием связывают многие другие болезни, например:
• Болезни сердца
• Инсульт
• Болезнь Альцгеймера
• Диабет 2-го типа
• Повышенный холестерин
• Повышенное артериальное давление
• Абдоминальное ожирение
• Неалкогольный стеатогепатит (ожирение печени)
• Синдром поликистозных яичников
• Подагру
• Атеросклероз
• Гастроэзофагеальный рефлюкс
• Обструктивное ночное апноэ
• Рак
Источник: Цойнер и др., «Расход энергии в покое при кратковременном голодании увеличивается в результате роста уровня норэпинефрина в сыворотке крови»

Рис. 1.3. Голодание продолжительностью больше четырёх дней ведёт к снижению уровня инсулина и сахара в крови
Снижение уровня инсулина также помогает телу избавиться от лишних воды и соли, поскольку известно, что инсулин задерживает соль и воду в почках. Поэтому низкоуглеводные диеты часто вызывают диурез (учащение мочеиспускания), потерю избытка воды – на самом деле, большая часть начальной потери веса на низкоуглеводных диетах связана с выводом воды. Этот диурез полезен для организма, поскольку он уменьшает вздутие и помогает чувствовать себя легче. Некоторые также отмечают снижение артериального давления.
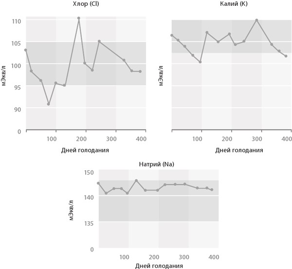
Электролиты остаются стабильными
Электролиты – это определённые минералы в крови. В их число входят натрий, хлор, калий, кальций, магний и фосфор. Организм держит их уровень под строгим контролем. Долговременные исследования голодания не обнаружили доказательств дисбаланса электролитов – специальные механизмы тела позволяют поддерживать их в равновесии.
Натрий и хлор. Содержатся, в первую очередь, в поваренной соли. Дневная потребность в соли достаточно низка, и многие из нас превышают её во много раз. Во время кратковременного голодания снижение количества соли незначительно. При длительном голодании (больше одной недели) почки способны впитывать и восстанавливать большую часть соли, необходимой телу. Тем не менее иногда может понадобиться дополнительный приём соли.
Калий, кальций, магний и фосфор. Уровень калия может немного снизиться, но остаётся в пределах нормы. Уровень магния, кальция и фосфора во время голодания также не меняется. Большие запасы этих минералов содержатся в костях – 99 %. Обычно небольшая доля минералов теряется со стулом и мочой, но во время голодания эта потеря минимальна. Тем не менее детям, беременным и кормящим женщинам эти минералы требуются постоянно, и голодание им не рекомендуется.
Ежедневное потребление соли обычно превышает потребность организма в несколько раз. Но при длительном голодании иногда может понадобиться ее дополнительный прием.
Другие витамины и минералы. Ежедневный приём общего мультивитаминного комплекса помогает получить рекомендованное количество микронутриентов. Терапевтический факт: человек прожил 382 дня, принимая только мультивитамины, без вреда для здоровья. На самом деле всё это время этот человек прекрасно себя чувствовал.
Наблюдая за голодающими, принимавшими только воду и витамины в течение 117 дней, исследователи подтвердили, что у них не было изменений ни в электролитах в сыворотке крови, ни в липидах, белках или аминокислотах. Более того, они обнаружили, что во время этих длительных периодов голодания чувство голода полностью отсутствовало.
Рост уровня адреналина и ускорение обмена веществ
Большинство ожидает, что в период голодания они будут чувствовать усталость и нехватку энергии. Но реальный опыт большинства людей диаметрально противоположен: во время поста они чувствуют себя энергичными и активными. Это происходит частично из-за того, что в организм по-прежнему поступает «топливо» – энергия от сжигания жира вместо переваривания еды. Но также это связано с тем, что для высвобождения запасов гликогена и сжигания жира используется адреналин, даже если уровень сахара в крови высок. Повышение уровня адреналина придаёт нам силы и стимулирует обмен веществ. Исследования показывают, что после четырёхдневного голодания уровень энергии в покое возрастает на 12 %. Вместо того чтобы замедлять обмен веществ, голодание его разгоняет.
Гормон роста
Человеческий гормон роста (соматотропин, СТГ) производится в гипофизе. Как видно из названия, этот гормон играет огромную роль в нормальном развитии детей и подростков. Пикового уровня он достигает в период полового созревания и постепенно снижается с возрастом. Слишком низкий уровень гормона роста у взрослых приводит к увеличению количества жира, уменьшению мышечной массы и сокращению плотности костей (остеопении).

Рис. 1.4. Во время продолжительного голодания электролиты остаются стабильными

Гормон роста наряду с кортизолом и адреналином является контррегуляторным гормоном. Эти гормоны подают телу сигнал увеличить доступность глюкозы, нивелируя действие инсулина и повышая уровень сахара в крови. Уровень контррегуляторных гормонов достигает пика незадолго до пробуждения, примерно в четыре часа утра, повышая уровень сахара в крови, который падает за ночь.
Гормон роста также повышает доступность жиров для выработки энергии, увеличивая уровень ключевых ферментов, таких как липопротеинлипаза и печёночная липаза. Так как сжигание жиров снижает потребность в глюкозе, уровень сахара в крови стабилизируется.
Многие признаки возраста могут проявляться из-за низкого уровня гормона роста. Восстановление его уровня у пожилых людей оказало заметное положительное воздействие на здоровье. Рандомизированное контролируемое исследование обнаружило, что у мужчин за шесть месяцев получения гормона масса мышц и костей увеличилась на 3,7 кг, а масса жировой ткани – на 2,4 кг. У женщин были получены схожие результаты.
Тем не менее экзогенный соматотропин, то есть гормон роста, произведённый не вашим организмом, может обладать нежелательными побочными эффектами. Уровень сахара в крови может подняться до преддиабетического уровня. Артериальное давление также растёт, и теоретически повышается риск рака простаты и болезней сердца. По этим причинам инъекции искусственного соматотропина применяются редко. Но что, если попробовать естественным образом повысить его уровень?
Пища очень сильно подавляет выработку гормона роста, поэтому, если мы питаемся три раза в день, гормон роста за день практически не вырабатывается. Что ещё хуже, переедание подавляет его выработку почти на 80 %.
Самый мощный естественный стимул для выработки соматотропина – это голодание. Одно из исследований показало, что за пять дней без пищи выработка гормона роста удвоилась. Во время голодания в дополнение к обычному утреннему пику уровня этого гормона (пульсирующему) добавляется регулярная выработка в течение дня (не пульсирующая). Оба вида высвобождения гормона роста вырастают во время голодания. Что интересно, диеты с очень низким уровнем углеводов не способны вызвать такой ответ.
Исследование сорокадневного религиозного поста обнаружило, что базовый дневной уровень гормона роста вырос с 0,73 нг/мл до пикового количества 9,86 нг/мл. То есть уровень гормона поднялся на 1250 % без всяких лекарств. А исследование 1992 года показало пятикратный рост уровня соматотропина в ответ на двухдневное голодание.
Источник: Кэйхилл, «Источники энергии для обмена веществ при голодании»

Рис. 1.5. Голодание значительно повышает уровень гормона роста
ПЛЮСЫ ДЛЯ СПОРТСМЕНОВ
Все эти гормональные изменения могут быть особенно полезны спортсменам. Во-первых, их чистый физиологический эффект заключается в поддержании мышечной массы (мышц и костей) в период голодания, а это имеет огромное значение для спортсменов. Во-вторых, хотя исследований пока мало, но высокий уровень гормона роста может уменьшить время восстановления после тяжёлых тренировок. Повышенный адреналин также позволяет тренироваться более интенсивно. Спортсмены могут тренироваться с большей нагрузкой и быстрее восстанавливаться. Многие элитные спортсмены всё больше интересуются преимуществами «тренировок в голодном состоянии».
Неслучайно многие из первых пропагандистов тренировок в голодном состоянии были бодибилдерами. Этот спорт требует в том числе тренировок высокой интенсивности и экстремально низкого количества жира в организме. Брэд Пилон, автор книги Eat, Stop, Eat, и Мартин Беркхан, популяризатор метода голодания LeanGains, – оба бодибилдеры.
Важность здорового питания
Конечно, голодание – это не панацея, и здоровое питание тоже имеет значение. Величайшие враги современной медицины – это болезни обмена веществ: ожирение, диабет 2-го типа, высокое артериальное давление, высокий уровень холестерина в крови и ожирение печени. Всё это вместе известно как метаболический синдром. Наличие любого из этих заболеваний в несколько раз повышает риск болезней сердца, инсульта, рака и преждевременной смерти. И корни метаболического синдрома лежат в западной диете, с её избытком сахара, высокофруктозным кукурузным сиропом, искусственными вкусовыми добавками и подсластителями, а также с невероятной зависимостью от рафинированных зерновых продуктов. Общества, сохранившие традиционные системы питания, не сталкиваются с этими расстройствами обмена веществ. Эта книга фокусируется на одной из граней традиционных пищевых паттернов, которая в современном обществе практически забыта, – на интервальном голодании. И всё же это только часть решения. Чтобы сохранить здоровье, недостаточно просто ввести в свою жизнь голодание. Вы также должны обратить внимание на здоровые пищевые привычки.
Что не является здоровым питанием
Существует тенденция считать здоровым питанием простое сочетание определённых макронутриентов. Их всего три: белки, жиры и углеводы. Многие «здоровые» диеты, рекомендованные экспертами, определяют процентное соотношение этих групп веществ: например, старые диетические рекомендации для американцев советовали ограничивать жиры в пище тридцатью и менее процента общей калорийности. К несчастью, этому поспособствовало и распространение этикеток с информацией о пищевой ценности и калорийности на упаковках.
Эти рекомендации могут показаться научно обоснованными, но настоящего обоснования у них нет. Основное утверждение рекомендаций, основанных на пищевой ценности, заключается в том, что все жиры одинаковы, все углеводы одинаковы и все белки одинаковы. А это абсолютно неверно. Оливковое масло первого отжима совершенно не похоже на нашпигованный трансжирами маргарин, хотя оба продукта состоят из чистого жира. Организм отреагирует на них абсолютно по-разному. Белок из дикого лосося – не то же самое, что тщательно очищенный глютен (это тоже белок, хоть он и содержится в зерновых). Углеводы из сахара – не то же самое, что углеводы из брокколи или кейла. Белый хлеб не равен белой фасоли. Есть очевидная и легко заметная разница в том, как наше тело усваивает эти разные продукты.
Для калорий это тоже верно. Диетические рекомендации, которые определяют норму калорий, не задумываясь утверждают, что все калории одинаковы, но сто килокалорий из листового салата влияют на формирование жира не так, как сто килокалорий из печенья с кусочками шоколада.
Если опираться на рекомендации, основанные на количестве макронутриентов или на количестве калорий, питаться становится намного сложнее, чем должно быть. Мы едим не определённое количество жиров, белков и углеводов. Мы едим еду. От некоторых продуктов толстеют больше, чем от других. Поэтому лучшим советом будет употребление определённых продуктов, а не определённых веществ из них.
Рекомендации, основанные на пищевой ценности, опираются на тезис об идентичности белков, жиров и углеводов из разных продуктов питания. Но это ошибка.
Поскольку постоянный повышенный уровень инсулина – это корень всех болезней метаболического синдрома, тем, кто им страдает, особенно важно понять, как пища повышает выработку инсулина. Конечно, голодание – это самое мощное оружие в вашем арсенале способов снижения инсулина, ведь если все пищевые продукты в той или иной мере повышают его, то лучший способ его снизить – это ничего не есть. Но, так как мы не можем голодать постоянно, есть несколько простых правил, следование которым снижает уровень инсулина.
Ешьте цельные, необработанные продукты
Люди приспособлены употреблять широкий диапазон продуктов без каких-либо последствий для здоровья. Традиционный рацион инуитов (коренной народ Северной Америки. – Прим. науч. ред.) состоял в основном из продуктов животного происхождения, с высоким содержанием жиров и белков. У других, например у жителей Окинавы (остров, относящийся к территории Японии. – Прим. науч. ред.), основным пищевым продуктом были корнеплоды, богатые углеводами. Но обе популяции не страдали от метаболических болезней. Болезни эти появились только с приходом в их жизнь западной системы питания.
К чему люди не приспособлены – так это к переработанным продуктам. Во время обработки полностью разрушается естественный баланс макронутриентов, клетчатки и микронутриентов. Например, при обработке пшеничного зерна удаляются все жиры и белки, и полученная белая мука состоит из чистых углеводов. Пшеничные зёрна натуральны, белая мука – нет. Мука к тому же размалывается в очень мелкие частицы, что ускоряет всасывание углеводов в кровоток. Большая часть других обработанных злаков страдает от этих же проблем. Наше тело умеет усваивать натуральные продукты, и, если мы питаемся не натуральной пищей, оно болеет.
Представьте себе прекрасную ярко-красную Ferrari, стоящую на улице. А теперь представьте, что мы её «обработали», сняв колёса и двери и добавив велосипедные шины и ржавые синие двери от грузовика. Это будет та же самая машина? Вряд ли.
В самих богатых углеводами продуктах нет ничего вредного. Проблемы начинаются, когда мы изменяем естественный состав этих продуктов, а затем потребляем их в больших количествах. То же самое применимо и к обработанным жирам. Обработка превращает безобидные растительные масла в нечто, содержащее трансжиры, токсины, опасность которых сейчас хорошо известна.
Пища должна быть в естественном виде, чтобы по ней можно было понять, что она когда-то была живой или росла на земле. Полуфабрикаты и снеки не растут на грядке. Того, что продаётся в пакете или коробке, следует избегать. Если на упаковке есть информация о составе, таких продуктов нужно избегать. У настоящей еды, хоть брокколи, хоть говядины, этикеток нет.
Настоящий секрет здорового питания таков: просто ешьте настоящую еду.
Сократите сахар и обработанные зерновые
Отказ от всех обработанных продуктов предпочтителен, но по многим причинам не всегда возможен на сто процентов. Поэтому важно знать, какие продукты наиболее опасны, и отказаться от них.
Избегать сахара и рафинированных зерновых, то есть мучных и кукурузных продуктов, важно для всех, но особенно для людей с метаболическим синдромом. Они больше способствуют набору жира, чем другие продукты, даже если содержат меньше калорий, и именно поэтому низкоуглеводные диеты эффективно снижают вес.
Богатые углеводами продукты питания не являются вредными сами по себе. Проблемы начинаются, когда они подвергаются промышленной обработке.
Ешьте больше натуральных жиров
Десятилетиями пищевые жиры считались врагом общества номер один (мы подробнее рассмотрим ошибки, связанные с низкожировыми диетами для похудения и для здоровья сердца, соответственно, в главах 5 и 8). Постепенно специалисты признали, что это было ошибочно. На самом деле, хоть термин «здоровые жиры» и выглядит оксюмороном, сейчас они стали общепринятой частью жизни. Продукты, богатые мононенасыщенными жирами, например оливковое масло, орехи и авокадо, от которых раньше шарахались, теперь считаются суперпродуктами, поскольку они очень полезны. Доказано, что употребление жирной рыбы, например дикого лосося, уменьшает риск сердечно-сосудистых заболеваний. И обнаруживается всё больше подтверждений тому, что естественные насыщенные жиры вроде тех, что содержатся в мясе и молочных продуктах, также не вредят здоровью.
Ешьте меньше искусственных жиров
Но не все жиры безобидны. Частично гидрогенизированные растительные масла, которые входят в состав кондитерского жира, жаренных во фритюре продуктов, маргарина и выпечки типа печенья и тортов, содержат трансжиры, с которыми наше тело не слишком хорошо справляется. Трансжиры повышают «плохой» и снижают «хороший» холестерин, повышая риск заболеваний сердца и инсультов.
Обработанные растительные масла, например кукурузное, подсолнечное и рапсовое, когда-то считались полезными для сердца. Например, кукурузное масло легко можно принять за натуральный жир. Но на самом деле кукуруза – не масличная культура. Чтобы произвести бутылку кукурузного масла, которую вы можете дёшево купить в супермаркете, нужно обработать буквально тонны кукурузы. И, как выяснилось, недавние исследования показали, что эти масла содержат очень много жиров омега-6, вызывающих воспаление. Эти жиры полезны в небольших количествах, но мы потребляем их в 10–12 раз больше, чем раньше, и, если их баланс с жирами омега-3 (которые содержатся в жирной рыбе, орехах и семенах) нарушается, это выражается в виде системного воспаления, которое способствует развитию болезней сердца, диабета 2-го типа, воспалительных заболеваний кишечника и других хронических болезней.
Ключ к крепкому здоровью – употребление большего количества здоровых жиров и отказ от жиров искусственных, таких как частично гидрогенизированные и обработанные растительные масла.
Принципы здорового питания можно выразить этими простыми правилами:
✓ Ешьте цельные, необработанные продукты.
✓ Избегайте сахара.
✓ Избегайте рафинированных зерновых.
✓ Употребляйте больше натуральных жиров.
✓ Уравновешивайте приёмы пищи и голодание.
Разные виды голодания
Есть множество способов поститься, и среди них нет одного правильного. Абсолютный пост требует отказа и от пищи, и от воды. Люди могут практиковать такое в религиозных целях, например во время священного месяца Рамадан у мусульман. В это время люди не принимают ни пищи, ни воды от рассвета до заката.
С медицинской точки зрения, это является сочетанием ограничения пищи и обезвоживания из-за ограничения воды. Это делает полное голодание очень трудным физически и ограничивает его достаточно короткими периодами. Полное голодание в оздоровительных целях не рекомендуется. Сопутствующее обезвоживание не несёт никакой пользы для здоровья, которая бы компенсировала сложность. Также у полного голодания намного выше риск медицинских осложнений.
Мы рассмотрим различные расписания голодания далее. Интервальное голодание с успехом можно применять как в короткие периоды (меньше суток), так и в длительные (более суток). Продолжительное голодание (больше трёх суток) также можно смело применять для снижения веса и других лечебных целей.
Мы в деталях рассмотрим лучшие методы голодания в главе 10, но в общем мы рекомендуем употреблять большое количество безалкогольных жидкостей (вода, чай, кофе) и домашний костный бульон, богатый нутриентами.
Общее воздействие голодания
А что насчёт возможных побочных эффектов? Повышение сахара в крови? Нет. Повышение давления? Нет. Высокий риск рака? Нет.
На самом деле, эффект у голодания противоположный: снижение глюкозы, снижение давления, снижение риска рака. Добавьте к этому все плюсы повышения уровня гормона роста.
Голодание не утомляет. Голодание не сжигает мышцы. Вы не будете мучиться от голода, съёжившись на диване в позе эмбриона.
Помимо всего прочего, у голодания есть потенциал высвобождения антивозрастных свойств гормона роста без побочных эффектов приёма искусственного соматотропина. В последующих главах мы заглянем в глубины того, как голодание помогает сбросить вес (глава 5) и излечить диабет 2-го типа (глава 6), помогает мозгу и замедляет старение (глава 7), а также помогает сердцу (глава 8). И всю эту пользу можно получить без всяких затрат, без лекарств и витаминных добавок.

