
Путь к финансовой свободе. Профессиональный подход к трейдингу и инвестициям
Что касается инвестирования в недвижимость, то здесь наиболее интересным вариантом является приобретение коммерческой недвижимости – торговых площадей, офисных и складских помещений, а также гостиничного бизнеса. Доходность сдачи в аренду жилых квартир зачастую очень близка к доходности банковских депозитов, и это без учета стоимости страховки, ремонта и разницы в налогообложении.
Отдельные финансовые инструменты могут использоваться для нескольких целей. Так, недвижимость может быть куплена для потребления, спекуляции или накопления (с инвестиционной целью).
Например, если вы купили квартиру для того, чтобы в ней жить, то это потребление. Даже если цены вырастут и у вас появится возможность продать эту квартиру с хорошим барышом, вы этого не сделаете, так как жить-то вам все равно где-то нужно. Идея превратить бумажную прибыль в реальную, используя собственную жилую недвижимость, выглядит утопично. Только если вы не надумаете переехать в арендованную квартиру, а деньги от продажи положить на депозит. Но я еще не встречал людей, которые рискнули бы ввязаться в такие сложные операции.
Если вы купили квартиру для ее последующей перепродажи, так как уверены в том, что цены на недвижимость возрастут, то это спекуляция. Такой вид деятельности возможен, когда вы сознательно готовы к долгосрочным спекуляциям, так как цены на недвижимость быстро не меняются, да и транзакционные издержки очень высоки. Нескольких процентов прибыли совершенно недостаточно для покрытия всех рисков от таких спекуляций. Кроме того, необходимо также учитывать издержки на содержание квартиры (налог на недвижимость, квартплата, страхование и т. д.). Максимального эффекта от спекуляции недвижимостью можно добиться, если цена, по которой вы приобретаете квартиру, намного ниже ее реальной рыночной стоимости. Но для этого вы должны разбираться в том, чем планируете спекулировать.
Кроме того, вы можете приобрести квартиру для сдачи ее в аренду (инвестиция). Плюсом также будет возможный рост цен на недвижимость, так как это дополнительная возможность заработать.
Чтобы заняться подобным видом деятельности, важно сравнить доходность от сдачи в аренду с депозитными ставками. О том, как это сделать, мы обсудим ниже, рассматривая вопрос № 4. Так, если по долларовому депозиту в сравнительно надежном банке вы можете получить 10 % годовых, а уровень доходности аренды недвижимости составляет те же 10 %, то приобретать последнюю с целью сдачи в аренду невыгодно. При этом нужно сравнивать чистую доходность, с учетом налогов и расходов. К ним относятся:
– квартирная плата (если она лежит на арендодателе);
– налог на недвижимость;
– амортизация квартиры, в которой необходимо периодически делать ремонт;
– расходы по страхованию квартиры, поскольку существует риск возникновения пожара, обвала дома и т. п.; в противном случае вам придется возмещать убыток из собственных средств;
– подоходный налог;
– временны́е затраты на постановку квартиры на учет путем заключения договора аренды в жэке и налоговой инспекции;
– среднегодовой уровень использования недвижимости.
В обычных гостиницах последний показатель обычно составляет 80 % и зависит от их месторасположения и уровня цен. Если же он ниже 50 %, то обычно такая недвижимость приносит убытки. В варианте со сдачей квартиры в аренду вы рискуете тем, что она будет простаивать, а значит, вам придется нести постоянные расходы на ее содержание, не получая ни копейки дохода. Так что в зависимости от уровня цены, которую вы запросили за аренду квартиры, и текущей рыночной ситуации вам необходимо определить уровень использования недвижимости и учитывать его при расчете ожидаемой среднегодовой доходности аренды.
Кстати, обычно цена за аренду гостиничного номера рассчитывается как одна тысячная от его себестоимости.
Классическая формула определения стоимости коммерческой недвижимости:

где R – сумма чистых ежегодных доходов от сдачи в аренду (за вычетом всех налогов и расходов на содержание объекта, кроме затрат на капитальный ремонт);
x% – ставка дисконтирования.
Ставка дисконтирования для самых высококлассных объектов класса А составляет обычно 4–8 % в развитых странах и 8–12 % – в развивающихся. Для объектов класса B она колеблется между 6–10 % и 10–14 %. В хорошие для экономики и особенно рынка коммерческой недвижимости времена ставка дисконтирования снижается, а в плохие растет.
Рассмотрим весьма упрощенный пример расчета стоимости бизнес-центра, который приносит $100 000 ежегодно.

Очевидно, что от того, какую ставку дисконтирования мы применим, стоимость бизнес-центра может составить и $1,7 млн (при ставке дисконтирования 6 %), и $0,7 млн (15 %). Естественно, ставка дисконтирования может быть и меньше 6 %, и больше 15 %, что еще больше увеличивает вариативный разброс стоимости недвижимости. Причин для изменения ставки дисконтирования может быть масса – от инфляции до изменения кредитного рейтинга страны, где находится эта коммерческая недвижимость.
Еще важнее зависимость стоимости жилой недвижимости от величины арендных ставок. А поскольку они прямо пропорциональны личным доходам человека, то между доходами населения и стоимостью жилой недвижимости тоже существует прямая зависимость. Причем обычно именно стоимость последней зависит от доходов населения. И только в периоды бумов на рынке недвижимости появляется обратная связь, отражая эффект виртуального богатства. Например, взлет стоимости личного дома вселяет в его владельца уверенность в том, что он стал богаче. Чем более состоятельным ощущает себя человек, тем больше он тратит. В худших своих проявлениях такой «разбогатевший» гражданин наращивает свою кредитную линию под залог подорожавшего дома и проедает эти деньги. Но когда бумажное богатство оказывается нереальным, а долги остаются, такой человек рискует оказаться вообще без крыши над головой. В подобной ситуации периодически оказываются многие люди по всему миру, живущие в странах с развитой кредитной экономикой. Например, последний яркий пример подобного поведения и последствий наблюдался в Латвии в 2006–2008 гг. Банки активно подыграли своими кредитами построению личных потребительских пирамид, основанных на спекулятивном росте стоимости недвижимости. Однако затем сами же оказались пострадавшими – с массой проблемных кредитов и обесценившихся залогов.
Стоимость коммерческой недвижимости зависит и от доходов компаний. Если экономика слабая, что отражается в падении прибыльности бизнеса, то, соответственно, сокращается спрос и на аренду.
Когда оцениваешь стоимость недвижимости, прогноз будущей величины арендной платы намного важнее текущего ее уровня. Ведь если сегодня рынок не насыщен, т. е. предложений о сдаваемой в аренду недвижимости недостаточно, значит, уровень арендных ставок завышен. Со временем, когда будут построены новые площади, он упадет, а это приведет к снижению цен на недвижимость.
Вопрос № 4. Выберите, какая инвестиция лучше – покупка квартиры для сдачи в аренду или банковский депозит.
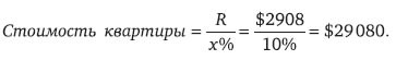
Задано два варианта – аренда квартиры и депозит.

В результате проведенных расчетов видно, что размещение денег на депозите при прочих равных условиях (в первую очередь по надежности) выгоднее. Это обусловлено высокими депозитными ставками и высокой (относительно арендной платы) стоимостью недвижимости. Вот если последняя упадет, то более выгодной инвестицией может стать аренда.
На основании этого примера и уже известной нам формулы можно вычислить справедливую стоимость квартиры.

Если справедливая стоимость ниже рыночных цен на квартиру, то эту разницу можно объяснить только спекулятивным спросом или другими, в том числе психологическими, причинами. Например, если люди доверяют недвижимости больше, чем банкам, то близким по уровню надежности для них будет другой инструмент, менее доходный. А как видно из формулы, чем меньше доходность альтернативного инструмента, тем выше стоимость оцениваемой квартиры. Но в период бума цены на рынке недвижимости под влиянием спекулятивной жадности и сверхожиданий его участников вырастают намного выше справедливой стоимости. Обычный человек пытается оседлать тенденцию спекулятивного взлета цен и покупает только потому, что недвижимость растет в цене. А если он мечтает заработать еще больше, то будет покупать в кредит. Банки такому обращению рады, ведь они получают в залог быстрорастущий в цене и «надежный» объект. Однако когда случается неизбежное падение, то теряют свои деньги почти все – и спекулянты, и банки, и строители, и риелторы. За исключением разумных инвесторов. Периодически все рынки недвижимости (например, Великобритании и США в 2007–2008 гг.), на которые имеют доступ массовые непрофессиональные инвесторы, переживают такие бумы и крахи.
Что в такой ситуации делает разумный человек? Он продает квартиры, которые стоят намного дороже справедливой стоимости, а после обвала цен откупает их назад, зарабатывая десятки, а то и сотни процентов годовых.
Кстати, в итальянской Флоренции в XVI в. аренда одного месяца жилой недвижимости примерно равнялась оплате 20 дней труда разнорабочего или семи дней труда мастера.
Свопы
Рассмотрим пример приобретения долларов США против японской иены. По этой паре долгое время наблюдались значительные положительные свопы, обусловленные более высокими процентными ставками в США по сравнению с Японией, где они, наоборот, были близки к нулю (рис. 1.8).

Рисунок 1.8. Динамика USD/JPY с 1999 по 2001 г.
За точку начала игры на свопах возьмем декабрь 2000 г., а последней расчетной датой будет декабрь 2001 г. Таким образом, общий период составит ровно один год.
Затем примем, что мы купили 1 млн долларов США против японских иен по курсу 113. Считается, что мы размещаем $1 млн на однодневные депозиты в американском банке, а иены в сумме 113 млн берем в кредит. Естественно, что и кредит, и депозит не подлежат дополнительному документальному оформлению, – все делает наш брокер.
В течение 2001 г. процентные ставки по федеральным фондам (Fed Funds), устанавливаемые Федеральной резервной системой США, претерпели сильное снижение – если в начале периода они составляли 6,4 %, то в конце года уменьшились до 1,75 %. Средний уровень процентных ставок, таким образом, составил 4,1 %. В то же время следует учитывать, что купленные доллары США мы будем размещать на депозитах, а обычно уровень ставок по однодневным депозитам в долларах ненамного ниже среднего уровня процентных ставок по американским федеральным фондам. Примем, что в среднем за год мы размещали на депозитах купленные нами доллары под 3,5 % (на 60 базисных пунктов ниже среднего уровня процентных ставок Fed Funds).
В Японии уровень процентных ставок за рассматриваемый нами период практически не изменился, и поэтому мы примем за данность, что кредит в японских иенах обошелся нам в 1,5 % годовых.
По депозитам в долларах, таким образом, мы получим $35 000 ($1 млн × 3,5 %), а за кредит в иенах заплатим 1695 млн японских иен (113 млн иен × 1,5 %). Если бы курс иены не изменился, то за иеновый кредит мы бы заплатили $15 000.
Таким образом, за год мы бы накопили свопы, которые, кстати, начисляются ежедневно, в сумме $20 000.
Данную величину можно грубо оценить, если просто взять разницу процентных ставок (3,5 % – 1,5 %) и умножить ее на сумму депозита ($1 млн).
На самом же деле, так как курс японской иены за этот период сильно упал, прибыль по свопам оказалась выше, достигнув приблизительно $21 000.
Согласитесь, весьма неплохая «прибавка к пенсии».
Если предположить, что мы держали под залогом для проведения транзакции по покупке спот-контракта 1 млн долларов США против японских иен с кредитным рычагом 1 к 100 всего $10 000, то полученный только по свопам доход превысил 200 % годовых! Данный процент можно также грубо рассчитать более простым способом – разницу процентных ставок (3,5 % – 1,5 % = 2 %) умножить на величину кредитного рычага (100).
Конец ознакомительного фрагмента.
Текст предоставлен ООО «ЛитРес».
Прочитайте эту книгу целиком, купив полную легальную версию на ЛитРес.
Безопасно оплатить книгу можно банковской картой Visa, MasterCard, Maestro, со счета мобильного телефона, с платежного терминала, в салоне МТС или Связной, через PayPal, WebMoney, Яндекс.Деньги, QIWI Кошелек, бонусными картами или другим удобным Вам способом.
Примечания
1
Аннуитет (от лат. Annuitas) – денежный поток, в котором все суммы одинаковы и возникают через одинаковые промежутки времени. Также иногда он называется рентой.
2
Библия, Евангелие от Луки, 18:24–25.
Приобретайте полный текст книги у нашего партнера:

