
Рынок облигаций. Анализ и стратегии

Приведенная стоимость номинала в $1000, который будет получен через 40 полугодовых периодов, дисконтированная по 5 %, равна, согласно формуле:

Цена облигации, таким образом, составит:

Ценообразование облигаций с нулевым купоном
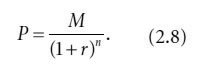
Некоторые облигации не предполагают никаких периодических купонных выплат. Инвестор получает процентный доход за счет разницы между номинальной стоимостью и ценой покупки. Облигации этого типа носят название облигаций с нулевым купоном. Цена облигации с нулевым купоном вычисляется путем подстановки нуля вместо С в формулу (2.6):

Формула (2.8) показывает, что цена облигации с нулевым купоном – это приведенная стоимость номинала. Заметим, однако, что при подсчетах такой приведенной стоимости число периодов, используемое для дисконтирования, равно не количеству лет до погашения облигации, а количеству лет, умноженному на 2. Дисконтная ставка в этом случае равна половине требуемой годовой доходности. Так, цена облигации с нулевым купоном и сроком до погашения 15 лет, номинал которой равен $1000, а требуемая доходность – 9,4 %, составит $252,12:

Связь цены и доходности
Одно из фундаментальных свойств облигации заключается в том, что цена всегда меняется в направлении, противоположном изменению требуемой доходности. Объяснение этому феномену следует искать в том факте, что цена облигации – это приведенная стоимость денежных потоков. Если требуемая доходность увеличивается, то приведенная стоимость денежных потоков падает; соответственно, падает и цена. И наоборот: падение требуемой доходности означает рост приведенной стоимости денежных потоков, а значит, и рост цены. Проверим справедливость этого утверждения на примере цены 20-летней 10 %-ной облигации в случаях, когда требуемая доходность составляет 11 %, 10 % и 6,8 %. В табл. 2.1 приводятся цены 20-летней облигации с 10 %-ным купоном при разных требуемых доходностях.
Таблица 2.1. Связь цены и доходности для 20-летней облигации с 10 %-ным купоном

Изобразив связь цены и доходности любой облигации без встроенного колл-опциона графически, мы обнаружим, что график имеет характерную изогнутую форму, показанную на рис. 2.1.

Кривая такой формы носит название выпуклой. Выпуклость кривой цена/доходность имеет важное значение при оценке инвестиционных характеристик облигации (подробнее об этом сообщается в главе 4).
Связь между купонной ставкой, требуемой доходностью и ценой
Рыночным доходностям свойственно меняться; единственная переменная, которая меняется, чтобы соответствовать новой требуемой доходности, – это цена облигации. Если купонная ставка равна требуемой доходности, цена акции будет равна ее номиналу – мы показали это на примере 20-летней облигации с купонной ставкой в 10 %.
Как только в данный момент времени рыночная доходность поднимается выше купонной ставки, цена облигации приспосабливается к новым условиям таким образом, чтобы инвестор, приобретающий облигацию, мог получить от покупки некую дополнительную выгоду. Если бы цена не менялась, инвесторы отказались бы от приобретения облигации, предлагающей доходность ниже рыночной. Таким образом, недостаток спроса приводит к падению цены и росту доходности облигации. Именно так на практике происходит падение цены ниже уровня номинала.
Прирост капитала, реализуемый путем удерживания облигации до даты погашения, – форма компенсации, предлагаемой инвестору, владеющему облигацией с купонной ставкой ниже требуемой доходности. Если облигация продается по цене более низкой, чем ее номинальная стоимость, говорят, что облигация была продана с дисконтом. Из приведенных выше расчетов видно, что в ситуации, когда требуемая доходность превышает купонные ставки, цена облигации всегда ниже номинала ($1000).
Если требуемая рыночная доходность меньше купонной ставки, облигация должна продаваться по цене более высокой, чем номинальная стоимость. Это происходит потому, что инвестор, приобрети он облигацию по номиналу, получил бы купонную ставку, превышающую справедливую рыночную доходность. В результате цена на облигацию со столь привлекательной доходностью пошла бы вверх. Цена может расти до тех пор, пока доходность облигации не совпадет с требуемой доходностью рынка. Про облигацию, цена которой превышает ее номинальную стоимость, говорят, что она продается с премией. Отношения между купонной ставкой, требуемой доходностью и ценой в общем виде можно записать следующим образом:
купонная ставка < требуемая доходность ↔ цена < номинал (облигация торгуется с дисконтом)
купонная ставка = требуемая доходность ↔ цена = номинал
купонная ставка > требуемая доходность ↔ цена > номинал (облигация с торгуется премией).
Связь между ценой облигации и временем при неизменных процентных ставках
Что происходит с ценой облигации, если в течение периода между приобретением облигации и датой погашения требуемая доходность не меняется? Для облигации, продающейся по номиналу, купонная ставка равна требуемой доходности. Дата погашения будет приближаться, но облигация по-прежнему будет продаваться по номинальной стоимости. Ее цена по мере приближения к дате погашения не изменится.
Цена облигации не останется прежней в случае, если облигация продается с дисконтом или с премией. В табл. 2.2 приведены данные о временно́м движении цены 20-летней облигации с купонной ставкой 10 %, продающейся с дисконтом, а также данные о той же самой облигации, продающейся с премией. Заметим, что цена облигации, продающейся с дисконтом, при условии неизменной требуемой доходности растет. Обратный процесс происходит с ценой облигации, продающейся с премией. Цена обеих облигаций в момент погашения равняется номинальной стоимости.
Причины изменения цены облигации
Изменение цены облигации можно объяснить одной или несколькими из приведенных ниже причин.
1. Наблюдается изменение требуемой доходности, связанное с изменением кредитного качества эмитента.
2. Цена облигации, продающейся с премией или с дисконтом, меняется не под влиянием требуемой доходности, остающейся неизменной, а растет или падает по мере приближения даты погашения.
3. Наблюдается изменение требуемой доходности, связанное с изменением доходности сравнимых облигаций (т. е. изменение доходности, требуемое рынком).
Причины 2 и 3 подробно описаны в этой главе. Умение предсказать изменение кредитного качества эмитента (причина 1) до того, как это изменение будет признано рынком, – одна из важных составляющих успешного управления инвестициями.
СЛОЖНОСТИ ПРИ ОПРЕДЕЛЕНИИ ЦЕНЫ ОБЛИГАЦИИ
Описывая ценообразование облигаций, мы исходили из предположений о том, что:
1) следующая выплата купона состоится ровно через шесть месяцев;
2) денежные потоки известны;
3) соответствующая требуемая доходность может быть определена;
4) все денежные потоки дисконтируются по одной ставке.
Рассмотрим каждое из приведенных положений применительно к реальной практике.
Таблица 2.2. Данные о временно́м движении цены на 20-летнюю облигацию с купонной ставкой 10 %, продающуюся с дисконтом и с премией

Следующая выплата купона состоится раньше, чем через шесть месяцев
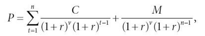
Если инвестор приобретает облигацию, купонная выплата по которой должна состояться раньше, чем через полгода, цена облигации может быть вычислена следующим образом:

где:

Обратите внимание на то, что при v = 1 (т. е. в случае, когда следующая выплата купона состоится ровно через шесть месяцев) формула (2.9) сводится к формуле (2.6).
Денежные потоки могут быть неизвестны
Для облигаций без встроенного колл-опциона, эмитент которых не потерпел дефолта, денежные потоки известны. Между тем для большинства облигаций размер денежных потоков не может быть установлен с точностью. Причина – возможность отзыва облигаций эмитентом до наступления даты погашения. Для облигаций со встроенным колл-опционом денежный поток в первую очередь зависит от уровня текущих процентных ставок в сравнении с величиной купонной ставки. Так, эмитент, скорее всего, воспользуется своим правом на досрочное погашение облигаций, если процентные ставки упадут существенно ниже купонных и ему будет выгоднее выкупить облигационный выпуск, не дожидаясь даты погашения, а затем выпустить новые облигации с более низкой купонной ставкой. (Другой пример – ценные бумаги, обеспеченные ипотеками, подробно описанные в главах 11 и 12; индивидуальный заемщик имеет право предоплаты всех ипотечных обязательств или их части вне установленного графика.)
Таким образом, денежные потоки облигаций, которые могут быть выкуплены до даты погашения, зависят от текущих рыночных процентных ставок.
Выяснение соответствующей требуемой доходности
Для всех требуемых доходностей эталоном являются доходности, предлагаемые казначейскими ценными бумагами, речь о которых пойдет в главе 5. Аналитический принцип, которым мы руководствуемся в книге, – разложение требуемой доходности облигации на составляющие, описание которых читатель найдет в следующих главах.
Одна дисконтная ставка для всех денежных потоков
Анализируя ценообразование облигаций, мы до сих пор исходили из предположения о том, что все денежные потоки дисконтируются с помощью одной дисконтной ставки. В главе 5 мы покажем, что любая облигация может рассматриваться как пакет облигаций с нулевым купоном, причем в каждом случае для определения приведенной стоимости конкретного денежного потока должна использоваться особая дисконтная ставка.
ЦЕНООБРАЗОВАНИЕ ОБЛИГАЦИЙ С ПЛАВАЮЩЕЙ КУПОННОЙ СТАВКОЙ И ОБЛИГАЦИЙ С ОБРАТНОЙ ПЛАВАЮЩЕЙ КУПОННОЙ СТАВКОЙ
Ни для ценной бумаги с плавающей ставкой, ни для ценной бумаги с обратной плавающей ставкой денежный поток заранее неизвестен: он зависит от поведения референсной ставки в будущем.
Цена облигации с плавающей ставкой
Купонная ставка ценной бумаги с плавающей ставкой равна сумме референсной ставки и некоторого спреда или маржи. Купонная ставка облигации с плавающей ставкой может быть получена, например, при сложении ставки трехмесячного казначейского векселя (референсная ставка) и 50 базисных пунктов (спред).
Цена облигации с плавающей ставкой определяется двумя факторами: 1) величиной спреда и 2) ограничениями, которые могут быть наложены на перерасчет купона. Так, облигация с плавающей купонной ставкой может иметь максимальную купонную ставку, называемую верхней планкой (cap), или минимальную купонную ставку – нижнюю планку (floor). Цена облигации с плавающей ставкой будет приближаться к номинальной стоимости, если: 1) справедливый рыночный спред остается неизменным и 2) не достигается ни верхняя, ни нижняя планка[9].
Если требуемый рыночный спред будет увеличиваться (уменьшаться), цена облигации будет опускаться ниже (подниматься выше) номинала. Если купонная ставка не будет равна сумме референсной ставки и спреда из-за ограничений, налагаемых верхней планкой, облигация с плавающей ставкой будет торговаться по цене более низкой, чем номинал.
Ценообразование облигации с обратной плавающей купонной ставкой
Как правило, облигация с обратной плавающей ставкой создается на основе ценной бумаги с фиксированной ставкой[10].
Ценная бумага, с помощью которой создается облигация с обратной плавающей ставкой, носит название обеспечения. На основе обеспечения создаются две облигации: одна – с обычной плавающей купонной ставкой, другая – с обратной плавающей купонной ставкой. Процесс образования таких облигаций представлен на схеме внизу (рис. 2.2).

Две облигации создаются таким образом, что: 1) общая купонная выплата по обеим облигациям в каждый из периодов меньше или равна купонной выплате обеспечения в тот же период и 2) общая номинальная стоимость двух облигаций меньше или равна номинальной стоимости обеспечения. Облигация с плавающей ставкой и облигация с обратной плавающей ставкой должны быть структурированы таким образом, чтобы денежный поток, поступающий от обеспечения, был достаточен для удовлетворения обязательств по обеим ценным бумагам.
Рассмотрим 10-летнюю облигацию с купоном, выплачиваемым раз в полгода и равным 7,5 %. Допустим, что такие облигации в объеме $100 млн используются в качестве обеспечения для создания облигации с плавающей ставкой номинальной стоимостью $50 млн и облигации с обратной плавающей ставкой номинальной стоимостью $50 млн. Предположим, что купон пересчитывается каждые шесть месяцев в соответствии со следующей формулой:
купон облигации с плавающей ставкой = референсная ставка + 1 %; купон с обратной плавающей ставкой = 14 % – референсная ставка.Напомним, что общая номинальная стоимость облигаций с обычной плавающей и обратной плавающей ставками равна номиналу обеспечения, т. е. $100 млн. Взвешенное среднее купонной ставки комбинации обеих облигаций равно:
0,5 × (референсная ставка + 1 %) + 0,5 × (14 % – референсная ставка) = 7,5 %.Итак, вне зависимости от размера референсной ставки, комбинированная купонная ставка для двух облигаций равна купону обеспечения, т. е. 7,5 %.
Приведенная формула страдает одним недостатком. Предположим, что референсная ставка превышает 14 %. В этом случае результат, полученный при подсчете купона облигации с обратной плавающей ставкой, будет отрицательным числом. Чтобы этого не произошло, на купонную ставку облигации с обратной плавающей ставкой налагаются ограничения. Как правило, нижняя планка устанавливается на нуле. Существование такой нижней планки приводит к необходимости ограничения купона облигации с обычной плавающей ставкой, поскольку купонные выплаты по обеим облигациям не должны превышать процентные выплаты обеспечения. В нашей гипотетической структуре максимальной процентной ставкой облигации с плавающей ставкой может быть 15 %. Таким образом, при создании на основе обеспечения облигаций с плавающей и обратной плавающей ставками, для одной из них (облигации с обратной плавающей ставкой) существует нижняя планка, а для другой (с обычной плавающей ставкой) – верхняя.
Влияние верхней и нижней планки на ценообразование облигации пока нами не рассматривается. Для нас важно, что цена облигации с обратной плавающей ставкой определяется исходя из цены обеспечения и цены облигации с плавающей ставкой. Процесс можно записать в виде следующей формулы:
цена обеспечения = цена облигации с плавающей ставкой + цена облигации с обратной плавающей ставкой,а значит:
цена облигации с обратной плавающей ставкой = цена обеспечения – цена облигации с плавающей ставкой.Заметим, что референсная ставка влияет на цену облигации с обратной плавающей ставкой постольку, поскольку она ограничивает процентную ставку облигации с плавающей ставкой. Этот вывод чрезвычайно важен для нас. Некоторые инвесторы ошибочно полагают, что при росте купонной ставки цена облигации с обратной плавающей ставкой будет расти, если референсная ставка падает. Это неверно. Для ценообразования облигации с обратной плавающей ставкой существенно влияние процентных ставок на цену обеспечения. Референсная ставка имеет значение только в качестве фактора, ограничивающего купон облигации с плавающей ставкой.
ОБОЗНАЧЕНИЕ (КОТИРОВКА) ЦЕНЫ И НАКОПЛЕННЫЙ КУПОННЫЙ ДОХОД
Обозначение цены
В этой главе мы выбрали в качестве образца для анализа облигацию с номиналом, равным $1000. Очевидно, что облигация может иметь номинал более высокий или более низкий, нежели $1000. Соответственно, обозначая цену, трейдеры котируют ее как процент от номинала.
Облигация, продающаяся по номиналу, котируется по 100, т. е. ее цена составляет 100 % номинальной стоимости. Котировка облигации, торгующейся с дисконтом, обозначается числом меньше 100; облигация, которая торгуется с премией, котируется выше 100. В приведенной ниже таблице показано, каким образом котировка цены может быть переведена в цену в долларах.

Накопленный купонный доход
Инвестор, приобретающий облигацию в момент между датами выплат купона, должен компенсировать продавцу купонный доход, накопленный за время, прошедшее со дня последней выплаты купона до дня сделки[11].
Эта сумма носит название накопленного купонного дохода. Вычисление накопленного купонного дохода проводится в зависимости от типа облигации. Для казначейских ценных бумаг (речь о них пойдет в главе 6) накопленный купонный доход рассчитывается исходя из реального числа дней, в течение которых продавец являлся держателем облигации. В случае корпоративных и муниципальных ценных бумаг вычисление накопленного купонного дохода ведется из расчета 360-дневного года и 30-дневного месяца.
Сумма, которую покупатель выплачивает продавцу, включает в себя как назначенную цену, так и накопленный купонный доход. Данная сумма часто называется полной ценой или грязной ценой. Цена облигации без учета накопленного купонного дохода носит название чистой цены.
РезюмеВ этой главе мы рассмотрели, как установить цену облигации без встроенного колл-опциона. Цена такой облигации – это приведенная стоимость ее предполагаемых денежных потоков. Дисконтная ставка равняется доходности, предлагаемой сравнимыми облигациями на рынке. Для облигации без встроенного колл-опциона денежные потоки состоят из купонных выплат и номинальной стоимости, выплачиваемой в дату погашения. В случае облигации с нулевым купоном купонные выплаты отсутствуют. Цена, таким образом, будет равна приведенной стоимости номинала, причем число периодов, используемое для вычисления приведенной стоимости, – это удвоенное число лет, а дисконтная ставка – доходность за полгода.
Чем выше (ниже) требуемая доходность, тем ниже (выше) цена облигации. Очевидно, что цена облигации меняется в направлении, противоположном изменению требуемой доходности. Если купонная ставка равна требуемой доходности, облигация будет продаваться по номиналу. Если купонная ставка ниже (выше) требуемой доходности, облигация будет продаваться по цене более низкой (высокой), чем номинал; в этом случае говорят, что она торгуется с дисконтом (премией).
С течением времени цена облигации, торгующейся с премией или дисконтом, будет меняться, даже если требуемая доходность останется неизменной. При условии, что кредитное качество эмитента не меняется, ценовые изменения всякой облигации частично зависят от колебаний требуемой доходности, частично – от приближения даты погашения.
Цена облигации с плавающей купонной ставкой будет близка к номиналу, если требуемый рынком спред остается неизменным и на купонную ставку не налагаются ограничения. Цена облигации с обратной плавающей купонной ставкой зависит, во-первых, от цены обеспечения, на основе которого облигация была создана, и, во-вторых, от цены облигации с обычной плавающей ставкой.
Вопросы1. Фондовый менеджер пенсионного фонда инвестирует $10 млн в долговое обязательство, которое в течение четырех лет должно приносить по 7,3 % ежегодно. Какова будущая стоимость этих $10 млн?
2. Предположим, что компания страхования жизни гарантировала пенсионному фонду выплату $14 млн через 4,5 года. Страховая компания получает от пенсионного фонда премию в размере $10,4 млн, которую может инвестировать на 4,5 года под годовой процент 6,25 %. Будут ли средства, полученные от данной инвестиции, достаточны для исполнения обязательства по выплате обещанных $14 млн?
3. а. Управляющий портфелем фонда, не подлежащего налогообложению, собирается инвестировать $500 000 в долговой инструмент, который в течение четырех лет будет выплачивать по 5,7 % годовых. По окончании четырехлетнего срока управляющий планирует реинвестировать полученные средства еще на три года и надеется, что в эти три года годовые процентные ставки для его инвестиции составят 7,2 %. Какова будущая стоимость данной инвестиции? b. Предположим, что управляющий портфелем из вопроса а получает возможность инвестировать свои $500 000 на семь лет в долговой инструмент, который раз в полгода должен выплачивать процентную ставку в 6,1 % годовых. Является ли эта инвестиция более выгодной, чем инвестиции из вопроса а?
4. Предположим, что управляющий портфелем приобретает восьмилетнюю облигацию с номиналом $10 млн и купоном 7 %, выплачиваемым раз в год. Первая выплата купона состоится через год. Какую сумму получит управляющий, если додержит облигацию до даты погашения и будет реинвестировать ежегодные купонные выплаты под годовой процент, равный 6,2 %?
5. а. Что происходит с ценой долгового обязательства, если дисконтная ставка, используемая для вычисления приведенной стоимости денежного потока облигации, растет? b. Пусть дисконтная ставка, используемая для вычисления приведенной стоимости денежного потока долгового обязательства, равна х %. Допустим, денежные потоки для данного долгового обязательства представляют собой $200 000 через четыре года и $200 000 через пять лет. Для какого из денежных потоков приведенная стоимость будет больше?
6. Обязательство корпоративного пенсионного фонда рассчитывается как приведенная стоимость будущих денежных выплат бенефициарам. Почему для проведения вычислений важно значение используемой для дисконтирования процентной ставки?
7. Управляющий пенсионным фондом знает, что у его фонда есть следующие обязательства по выплатам пенсий:

Предположим, что управляющий пенсионным фондом хочет инвестировать некую сумму денег, достаточную для исполнения обязательств фонда. Известно, что любая сумма денег, инвестированная в настоящий момент, может принести 7,6 % годовых. Сколько следует инвестировать сегодня, для того чтобы удовлетворить поток долговых обязательств?
8. Для каждой из облигаций вычислите цену номинальной стоимости, равной $1000, при условии купонных выплат, осуществляемых раз в полгода:

9. Рассмотрим облигацию, торгующуюся по номиналу $100 с купонной ставкой 6 % и сроком до погашения 10 лет.
а. Какова цена облигации, если требуемая доходность равна 15 %?
b. Какова цена облигации, если требуемая доходность с 15 % возросла до 16 %, и каково в этом случае процентное изменение цены?
с. Какова цена облигации, если требуемая доходность равна 5 %?
d. Какова цена облигации, если требуемая доходность возрастет с 5 % до 6 %, и каково в этом случае процентное изменение цены?
е. Проанализируйте результаты, полученные в пунктах b и d, и опишите волатильность цены облигации на рынке с высокими процентными ставками относительно ее волатильности на рынке, где процентные ставки низки.
10. Предположим, что три года назад вы приобрели долговое обязательство по номиналу в $100 000, причем срок до погашения составлял девять лет. Рыночная цена этого долгового обязательства в настоящее время равна $90 000. Назовите возможные причины падения цены, произошедшие в течение последних трех лет.
11. Вы просматриваете список цен облигаций и видите следующие значения цен (на $100 номинальной стоимости):

Вам кажется, что в таблице есть несколько ошибок. Не подсчитывая точное значение цены каждой облигации, скажите, цены каких облигаций указаны неверно и почему.

