
Как читать мир

Острый.

Тупой.
Два угла у которых одна прямая общая, а две других являются дополнительными лучами называются смежными:

Тригонометрические функции – это основа на которой держится вся геометрия и не упомянуть их было бы не совсем верно с моей стороны. Дела в том, чтобы разобраться в них и зачем они нужны.
Тригонометрические функции – это простые фундаментальные функции нужные для определения сторон треугольника высоты или хорд. Это простые отношения катетов к гипотенузе треугольника также зависимость при острых углах к гипотенузе.
Рассмотрим самые основные из функций. Подразделяются на две категории прямые производные и обратные тригонометрические функции.
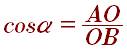
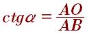
Для того чтоб лучше понять будем использовать треугольник AOB.

Прямые:
Синус (sin) – это отношение величины противолежавшего катета к величине гипотенузе;

Косинус (cos) – это отношение величины приближающегося катета к гипотенузе;

Производные:
Тангенс (tg) – это отношение противолежавшего катета к прилежавшему катету;

Котангенс (ctg) – угла это отношение прилипающего катета к противолежавшему катету;

Есть ещё такие функции как секанс и косеканс. Также обратные арксинус арккосинусу, но мы их разбирать не будем нам достаточно и четырёх.
С помощью выше указанных формул можно найти синус косинус острого угла. Вы мире чаше всего встречаются случайные углы и нам необходимо узнать их определять. Правила, применяемые к прямоугольному треугольнику в реальном мире применять гораздо труднее, и более не способная чем следующий методика который мы разберём.
Окружность более совершенная фигура не же ли треугольника, у которого три угла определённого градуса, а окружности разворот на 360°.
Окружность тригонометрическая это координата с точкой 0 в центре и радиусом 1. Центр второй обозначается точкой О. Где «Ox» это абсцисса, а «Oy» это ордината.
пусть дана точка на окружности проведём прямую из центра к точке, а получится прямую Оа.
по определению всегда косинус – это абсцисса, а синус это ординат.
Данный отрезок соединяет центр и окружность так что образуется острый угол и если сравнивать с прямоугольным треугольником, то катетами у нас в данном случае будут acosa и ocosa. Опушенная вертикальная штриховка acos это катет прямоугольного треугольника. Прямоугольники треугольник как бы вписан в четверть окружности.

Это правило можно распространит на все четверти данной окружности.



Самое главное, когда мы находим углы знать где начинать и в данном случае мы начнём с поля второй будет расположен так как на письме;
абсцисс 0 равна (1 cos 0 = 1)
ординат 0равна (0 sin 0 = 0)

Угол sin π/6 = 30°.
Угол, а в задаче 30° значит по правилу катетов противолежавши катет будет равен половине гипотенузы. Вертикальный катет равен 1/2.

Чтоб найти горизонтальный катет можно применить теорему Пифагора основу геометрии и тригонометрии. самая главная теория ну в школьной программе точно гласит она так: сумма квадратов длин катетов равна квадрату длины гипотенузы.

Также для вычисления можно использовать основное тригонометрическое тождество:

Для того чтоб вычислить нужно преобразовать формулу:



Всё опирается на углы треугольников в случае с углом π/6 треугольником является равносторонний треугольник которого разделили пополам высотой выходящим из верхней точки. Который образует два прямоугольных треугольника с острым углом 30° гипотенузой 2 и катетом 1.
Угол, π/4 = 45
Когда за основу берётся треугольник равнобедренный. В таком случае cos и sin угла 45° будут равны и их придётся отмечать через x.

Откуда x= √2/2. Что говорит о том:


Полная тригонометрических окружность выглядит так.
Разобрать всё тонкости углов в этой книге мы не сможем для этого есть целая наука тригонометрия. Которая изучает углы и функции.
наша задача состояло в том, чтоб упомянуть важные характеристики для тебя обычного человека который наукой интересуется для саморазвития.
Используя эти правила можно даже определять углы на глаз. То есть для по дороге домой ты можешь определить угол расположения разных объектов ментально представления фигуры. Но для этого надо тренироваться.
Глава 3. Физические характеристики
Механика
Приступаем более грандиозным характеристикам мира более великим. Ибо геометрия встречается в человеческом мире и чем больше и дальше от человеческого мира, тем меньше геометрических фигур только шар встречается часто.
Даже в человеческом мире геометрические характеристики занимают второй план по сравнению с физическими. почему в таком случае я расположил их в третьем уравнении, во-первых, физические характеристики особа не заметны видны производные явления то как мы живём как существуем на этой планете мы об этом не так часто, как о геометрических фигурах думаем. например о силе тяготения мы не задумываемся в повседневной жизни ну какой же формы смартфонов изредка, но всё же думаем.
В мире много объектов разного происхождения. Но все они сводятся, а одному единому фундаментальному. Самая важная физическая характеристика в классическом и квантовом мире – это масса. ведь массой обладает все без массы невозможно привычное существование материи. Единственное что не обладает массой в покое это элементарных частицы переносчики энергии взаимодействия, но даже они в движении имеют массу.
масса в привычном мире физическая величина скалярная определяющая инертные и гравитационные свойства тел.
Вернёмся к нашей легенде про яблоко. Чтоб яблоко упало нужна масса тела.
Так как без массы тела не могут гравитационное взаимодействовать друг с другом. Вернёмся чуть позже к этому факту.
Масса, характеристика которая связанна с движением и силой.
Чтоб вы понимали на сколько сильно масса связана с движениями я приведу пример.
мы в этой книге разбираем квантовую и классический мир вместе как одно целое в главе "Один единый мир с разными представлениями" я расскажу почему я так считаю. так вот если опускается в глубь мира, то всё частицы Ладе в стоячем теле двигаются потом эти частицы состоят из более мелких частиц, которые тоже двигаются и передают взаимодействие, то есть энергию.
по отдельности массу разбирать смысла не имеет, а вот в купе всех характеристик да.
Везде и повсюду мы можем наблюдать движение каждый объект каждый атом каждая частица в этом мире двигается. Без движения нет жизни.
Механическое движение – это векторное физическая величина характеризующий изменение положение тела относительно пространства с течением времени. Механический вид движения самый простой вид движения в мире.
Самым простым видом движения оно считается из-за одного направления перемещения легко определит по отношению с другими телами.
Виды движения бывают разные. Когда каждая точка тело перемешается в одном направлении такой вид движения называется поступательное движение.
Поступательное движение – это самая распространённый вид движения в механике. Чтоб понять в чем принцип данного движения мысленно надо провести прямую через двинувшийся объект. В результате чего после изменения положения тела данная прямая будет параллельно сама себе.
Вращательное движение физическая величина при котором тело и его точки вращаются по определённой окружности.
В данном случае прямая будет перемешается по окружности что говорит о об одном центре откуда исходит это движение.
Колебательное движение это когда всё точки тела перемещаются на определённое расстояние и возвращаются в центр начала движения. От вращательного отличается тем что колебательное движение движется переменная в двух взаимно противоположных направлениях.
Поступательное и вращательное движение считают самыми простыми в механике.
Движение механическое можно рассматривать для различных механических объектов.
движение материальной точки определяется благодаря тому, что меняются координаты точки в пространстве за определено время.
Изменение положения тела в пространстве называется траекторией. Так как тело движется по линии, которая представляет собой множество точек в пространстве в которых будет находится или находился тело.
Траектория рассматривается как физическая данность даже если на ней нет объекта и имеет определённый смысл.
Траектория объекта неотрывно связанна с системой отчёта. Система отчёта определяет вид траектории.
Система отчёта – это неподвижные тела отчёта, то есть тела относительно друг друга по отношению к которым рассматривается движение тела в системе координат и времени.
Движение можно рассмотреть на проекционной плоскости. Летящая пуля перекрывает больше пространства обзора точно также уходящие в дальнейшем объекты уменьшаются на проекционной плоскости.
По первому закону Ньютона существует инерционная система отчёта она говорит о том, что движется тела сохраняет своё состояние равномерном прямолинейном движении, либо покоятся.
Движение можно делить по траектории движения тела в физике материальной точки выделяют два вида движения:
по прямолинейной траектории и по криволинейной траектории
тут всё просто если траектория прямая, то прямолинейное если кривая, то криволинейное движение. Траектория такого движения прямая или кривая линия.
Определённый взятый участок траектории материальной точки в физике называется путём и обозначает буквой S.
Изменение положения тела в пространстве с течением времени относительно выбранной системы отчёта называется перемещение. Примирительно к движению перемещение – это вектор характеризующее изменения. Обозначается s вектор на верху.
Всё что движется не может двигается постоянно с одним и тем же темпом для этого вели понятие скорость.
Скорость – это векторное физическая величина, характеризующая быстроту изменения перемещения и направления движения объекта относительно выбранной системы отсчета. обозначается маленькой буквой v. и измеряется в системе СИ в метрах в секунду м/с.
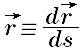
формула скорости включает в себя пройдённый путь S, который делится на время t. В данной формуле r это радиус вектора.

Вектор скорости каждый момент времени определяется как производная по времени радиуса вектора текущего положения этой точки.

Где –

Проекция вектора скорости на направление упомянутого единичного вектора, равная производной дуговой координаты по времени и именуемая алгебраической скоростью точки. Если алгебраическая скорость не меняется с течением времени, то такое движение называется равномерным.
Величина, которая определяет быстроту изменения скорости тела называется ускорением.
если ускорение не меняется со временем, то такой вид движения называют равноускоренным.


Точки траектория движения ускорения на малом участке называют плоскими.
точки равноускоренное движение всегда плоское, а твёрдое тело поступательными.
Вид движения, когда равноускоренное движение направленно наоборот называется равнозамедленной скорость направлена по одной прямой. Равно замедленное движение представляет собой одномерную.
Выходит, она от производной скорости на время, то есть вот так.

Рассмотрим пример движение поезда. В момент нахождения поезда на станции его скорость равняется нулю, как только водитель начинает движение скорость, медленно постепенно растете тем самым достигая своего пика, когда подъезжает к следующей станции поезд останавливается соответственно ускорение работает в обратном порядке, то есть замедляется и скорость в момент остановки равняется нулю.
Разбираем ещё один пример брошенный мяч подаёт с определённой высоты в момент пика самой высшей точки мяч стоит значит скорость мяча 0 как только на мяч начинает действовать сила притяжения земли мяч летит к центру Земли, то есть пряма вниз и, если не считать сопротивления воздуха мяч будет ускорятся и ускоряться до последнего и есть определённая постоянная 9,8 средняя по земле, но на полюсах будет по меньше, ускорение свободного падения называется. Скорость мячик в нашем случае увеличивает на 9,8 м/с^2 за секунду. Ускорение свободного падения численно равна силе тяжести действуем на данное тело единичной массы.
м/с^2 принятое в СИ единица исчисления ускорения. Обозначается ускорение свободного падения маленькой буквой g.
У каждого космического объекта есть свая ускорение свободного падения.
луна, например, имеет ускорение в 1,62 м/с^2. солнце умеет ускорение аж 273,1 м/с^2.
Но как же находят ускорение свободного падения не ужели экспериментально увы нет никто на солнце с секундомером и датчиком движения не летал. на земле эксперимент проводился и этого достаточно для теоретической базы чтоб понять эту тему нам надо будет пройти следующие понятия.
Ускорение, которое направлено к центру из-за движения тела по окружности называется центростремительное ускорением.
Есть линейная скорость при ускорении данной скорости по окружности происходят изменения в направлении скорости это и характеризует центростремительное ускорение.
На тело, которое двигается по круговой орбите всегда действует центростремительная сила. Которая тянет объекты к центру.
Ускорение и сила вместе перпендикулярно направлены к центру от скорости, то есть ускорение вызывает силу.
Скорость всегда направлено от центра по касательной окружности, а ускорение к центру.
почек скорость направленно по касательной? Зададутся таким вопросом некоторые из вас я тоже задался. Объяснение таково вектор – это определённый отрезок с началом и концом наш мир состоит в теории из бесконечно большого количества точек так вот круг и есть бесконечно большое количество точек, то есть определённое бесконечно малое расстояние между точками в виде отрезка. Движения объекта происходит по этим отрезкам, а скорость направлено прямо от этих отрезков потому что движение, имеющее одно направление других иметь не может движение всегда осуществляется по маленьким отрезкам легче сказать по точкам. Объект может любой величины, но отрезки те же самые и когда огромный обет движется по этим маленьким отрезкам условное продолжение – это скорость, но из-за действия центростремительного ускорение тело не идёт прямо, а как бы поворачивает и меняет отрезки. Скорость направлено прямо значит есть ещё одна сила которая действует от центра в случае пресыщения которого будет срыв объекта с окружности. Как например искры от электропилы по металлу.
Так что это такое центробежная сила. Сила, возникающая при котором тело, получает силу в противоположном направлении центру. Связанна она с третьим законом ньютона каждой силе действующей на объект есть сила противодействия.
Существует нормальное центростремительное ускорение – это быстрота изменения вектора скорости по окружности.
При равномерном движении которая часто встречается в техническом мире зная линейную скорость можно вычислить центростремительное ускорение.
Формула, следующего вида:

Линейная скорость.

где –

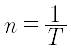
частота вращения или обороты за единицу времени.
Также вычислять центростремительное ускорение можно через угловую скорость.
Угловая скорость – это численное отношение угла поворота к тому интервалу времени за которое этот поворот произошёл. измеряется в рад/с.

Отношения скорости и ускорения следующее

Вид движения, когда вектор ускорения совпадает с вектором скорости называется прямолинейной.

Где, а ускорение, s пройденный путь телом, ϑ² и ϑ² начальная и конечная скорость.
Соотношения для определения свободного падения по Всемирному закону тяготения следующая.

Где G – гравитационная постоянная равняется (6,67×10-¹¹м³×с-²×кг-¹), М – это масса космического объекта, связанного с данным телом, r – радиус планеты. будет кое-кто, когда плотность вещества сферически симметрично.
На определённом расстоянии от поверхности Планеты гравитационное ускорение можно вычислить по формуле

Движения по окружности кроме центростремительного ускорения ещё выделяют тангенциальное или касательное (a_r).
Является составляющий параллелью вектора ускорения с вектором мгновенной скорости. Характеризуется изменением скорости по модулю.

Движение – это изменение положения относительно других тел системы отчёта, но если для системы отчёта есть свая система отчёта в частности лабораторная то такой вид движения называется сложной. для сложного движения есть свой вид ускорения.
абсолютный вид движения равна сумме переносного и кориолисовского видов движения.

Вектора произведения угловой скорости вращение движущейся системы и скорость материальной точки в движущей системы находится в транскрипции.
Тела, которое остаётся в какое или равномерном прямолинейном движении в определенной системе отсчёта при отсутствии внешних сил называется инерцией. об этом гласит первый закон термодинамики.
В реальном мире всё гораздо труднее благодаря инертной массе она сопротивляется воздействию внешних сил.
Самый простой пример это когда вы ездите в автобусе стоя, когда он тормозит вас отбрасывает вперёд сохраняет своё движение, но силы, оказываемые вами и весом тяжести, не дают вам вылететь в окно.
По второму закону Ньютона можно определить формулу для донного понятия.

Кроме движений в механике ещё можно выделить часто встречаемые движения в жидкостях и газа. Турбулентная и ламинарная.
Ламинарная это когда частицы воды движутся упорядочено и в одном направлении, а турбулентное, когда они движутся хаотично и в разные стороны.
Каждый объект обладает массой, но вот тела находящиеся на определённой поверхности, на планете обладают весом.
Вес сила с которой воздействуют на определённую опору препятствующий падению, возникающий в поле веса тяжести. Самое главное тут это сила тяжести.
Сила тяжести – это сила которое действует на любое тело в близи космических объектов.
Образуется она благодаря гравитационному притяжению и центробежной силы инерции вызываемое его суточным вращением.
Разбираемся сперва что такое сила, а потом перейдем к силе тяжести.
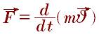
Сила – это векторное физическая величина является мерой воздействия на объект со стороны других тел или полей.
Приложенная сила выявляется путём изменения положения или деформации объекта. Обозначается буквой F.
если смотреть на мир глазами нам покажется что воздействия тел происходит на прямую вы чувствуете, как касаетесь. на самом деле касания никого нет есть поля, которые взаимодействуют между собой.
Второй закон Ньютона и сила взаимосвязаны до такой степени что у них одна формула.

Вернёмся к силе тяжести. Сила тяжести, действующая на тело в близи поверхности, выводится по следующей формуле.

Первый наш пример падения яблока на прямую связанна с следующим видом силы.
Сила Всемирного тяготения мы затрагивали эту тему, когда разбирали ускорение свободного падения – вот очередь дошла и до тяготения. Это самое фундаментальное что есть в классической физике и одна из самых распространённых законов физики.
Сила всемирного тяготения есть закон Ньютона и гласит она так: два любых тела притягиваются друг к другу с силой, прямо пропорциональной массе каждого из них и обратно пропорциональной квадрату расстояния между ними.

G – гравитационная постоянная (6,674), m_1 и m_2, массы разных тел, разделённые r расстоянием. Сила притяжения гравитации распространяется мгновенно в Нью тоновой теории так как зависит от их расположения в данный момент времени.