
Информатика и ИТ. Нейросети
К элементарным логическим функциям относятся:
Логическое отрицание – инверсия (логическая функция НЕ). Логическим отрицанием переменной x называется такая булева функция f1 (x), которая имеет значение 1, когда x = 0 и значение 0, когда x = 1. Булева функция НЕ обозначается в виде f1 = x и читается: «f1 есть (эквивалентно) не x».
Логическое умножение – конъюнкция (логическая функция И). Конъюнкция двух (или любого другого числа) переменных x1 и x2 принимает значение 1 только на наборе, в котором все переменные имеют значения 1. На остальных наборах эта функция имеет значение 0.
Логическое сложение – дизъюнкция (логическая функция ИЛИ). Дизъюнкция двух (или любого другого числа) переменных x1 и x2 имеет значение 0 только на наборе, в котором все переменные имеют значение 0. Если хотя бы одна из переменных равна 1, функция будет иметь значение 1.
Элементарные логические функции НЕ, И, ИЛИ являются основными логическими функциями.
Весьма значимой также является еще одна булева функция: сложение по модулю 2
Сложение по модулю 2 – строгая дизъюнкция (исключающее ИЛИ). Эта функция переменных x1 и x2 имеет значение 0 на наборе, в котором переменные равны. Иначе говоря, результат равен 0, если оба операнда равны; во всех остальных случаях результат равен 1.
Приведем пример суммирования по модулю 2 двух двоичных чисел:

Вопросы для самопроверки
– Дайте определение системы счисления.
– Что называется основанием позиционной системы счисления?
– Число записано как 677,42 без указания основания системы счисления. В каких системах счисления могло быть записано это число?
– Какое число будет следующим за 10110012?
– Какое число будет предшествовать числу 1008?
– Перевести число 208.12 из десятичной системы счисления в двоичную.
– Перевести число 242 из десятичной системы счисления в шестнадцатеричную.
– Перевести число 1001.0012 из двоичной системы счисления в десятичную.
– Перевести число 10F.6A16 из шестнадцатеричной системы счисления в двоичную.
– Перевести число 10101.012 из двоичной системы счисления в десятичную.
– Представьте в стандартном виде числа: 12, 34; 0,0987; 100,1.
– Почему для хранения чисел в компьютере используют форматы целых и вещественных чисел?
– Запишите в экспоненциальном виде числа: 456, 789; 65,321; 0,753.
– К каким операциям сводят все арифметические действия в двоичной арифметике?
– Какие элементарные логические функции являются базовыми для построения логических выражений?
– Переведите в обратный код число 10000002.
– Переведите в дополнительный код число 10000012.
– Выполните операцию двоичного вычитания с использованием дополнительного кода (в двухбайтовом формате) 1101011101102 – 101110112.
– Какие элементарные логические (Булевские) функции Вы можете назвать?
– Выполните операцию двоичного сложения: 1110110 +10101010.
– Выполните операцию двоичного сложения по модулю 2:
11010110 и 1010111.
– Выполните операцию двоичного вычитания с использованием дополнительного кода 11000001 – 1011101.
Глава 3
Представление информации в компьютере
Аналоговые и дискретные сигналы. Дискретное представление информации.
Информационное взаимодействие в природе носит волновой характер, так звук – это акустические (механические) волны, свет – электромагнитные волны, люди видят предметы в отраженном от них свете. Потребность в сохранении и передаче информации привела к возникновению письменности – преобразовании звуковой волны в символьные коды – буквы.
Изобретение фонографа, а потом и магнитофона дало возможность сохранять и воспроизводить звук. Люди научились записывать и воспроизводить видеосигналы.
Появление компьютерной техники и использование универсальной цифровой системы кодирования открыло перед человечеством новые широкие возможности записи, сохранения и воспроизведения информации.
Информация в компьютере может быть представлена с помощью сигналов двух видов.
Аналоговые – сигналы, величина которых сохраняется непрерывно на каком-то отрезке времени, аналогичные порождающим процессам.
Дискретные – сигналы, величина которых сохраняется в виде значений в определенные моменты времени и принимающие фиксированные значения уровня.
Непрерывные сообщения можно преобразовывать в дискретные, применяя дискретизацию и квантование по уровню.
Дискретизация (англ. discretisation) – устранение непрерывности (пространственной или по времени) волновых информационных сигналов.
Квантование (англ. quantization) – преобразование диапазона всех возможных значений входного сигнала в конечное число выходных элементов
Передачу практически любых сообщений можно свести к передаче их отсчетов, следующих друг за другом с интервалом дискретизации t.
Для абсолютно точного представления информации в общем случае необходимо бесконечное число разрядов. На практике же в этом нет необходимости, так как получатели информации (органы чувств человека, механизмы и т.д.) обладают конечной разрешающей способностью, то есть не замечают незначительной разницы между абсолютно точным и приближенным значениями воспроизводимого.
С учетом этого можно подвергнуть дискретные отсчеты квантованию. Интервал между соседними разрешенными уровнями называется шагом квантования. На практике чаще применяется равномерное квантование, при котором шаг квантования постоянный. На рис.3.1 представлена схема дискретизации и квантования звукового сигнала, где ΔА – шаг квантования устанавливает сохраняемые уровни значения амплитуды звуковой волны; Δt – шаг дискретизации звука (интервал снятия значений амплитуды звуковой волны по времени).

Рис.3.1. Дискретизация и квантование акустического сигнала
На рис.3.2 показана схема пространственной дискретизации. Изображение (слева) разбивается на геометрические элементы с шагом дискретизации Δl, в пределах которого значение цветовой характеристики может считаться неизменным. Результат применения шкалы квантования цвета по уровням градации с шагом ΔС показан справа на рисунке.



Рис. 3.2. Схема пространственной дискретизации
Достоинством дискретного представления информации является, в первую очередь, возможность автоматизации передачи и обработки сигналов с помощью компьютеров. Современный персональный компьютер позволяет работать с разнообразными данными: числами, символьными данными (текстом), графическими данными, звуковыми данными, и все данные в компьютере представлены в двоичном цифровом коде.
Формы представления чисел в компьютере и кодирование числовой информации рассматривались в предыдущей главе. Важными источниками информации являются кроме числовых текстовые, звуковые и графические данные.
Для записи слов была изобретена дискретная система кодирования – алфавит, но она не подходит для хранения и автоматической обработки в вычислительной технике. Двоичное кодирование символьных данных производится с помощью кодовых таблиц, в которых каждому символу соответствует двоичный код.
Для представления изображений используют два способа – растровый и векторный. Оба они используют двоичный код для хранения цветовых и пространственных характеристик.
Для представления звука в виде цифрового кода сигнал дискретизируют по времени и квантуют по уровню с помощью аналого-цифрового преобразователя.
3.1.Компьютерное представление текстовой информации
Текстовые данные являются важнейшим источником информации. Для записи слов человечеством были изобретены буквы, для указания оттенков речи – знаки препинания. Все это – символы, символьный способ хранения изначально дискретен, и способ компьютерного представления сводится к кодированию символов численным способом.
Все используемые способы представления символов в памяти компьютера, так или иначе, сводятся к нумерации символов алфавита и хранения полученных кодов как целых чисел. Этому коду драйвер видеокарты ставит в соответствие начертание символа (тем или иным шрифтом).
Такое кодирование производится размещением кодовых таблиц в оперативной памяти компьютера, по которым каждому символу ставится в соответствие двоичный код.
При кодировании языков, использующих алфавитную (не иероглифическую) письменность, достаточно 127 символов (в английском языке 26 букв +26 прописных «заглавных» +10 цифр + знаки препинания и арифметические знаки). Следовательно, для кодировки достаточно по 7 бит на каждый символ, этот принцип использует самая распространенная система кодирования латиницы – ASCII (American Standard Code for Information Interchange – американский стандартный код для обмена информацией). Код ASCII был разработан в 60-х годах XX века для любых видов передачи информации (телеграфа, телетайпа) и поэтому в нём, кроме информационных символов, используются символы-команды для управления связью. Эти символы: Начало текста, Конец текста, Звуковой сигнал, Горизонтальная табуляция и т. д. ныне вышли из употребления. Их коды являются служебными и трактуются большинством форматов как управляющие команды. Они занимают первые 31 позиции в таблице.
Таблица 3.1.
Таблица символов ASCII (128 – 255)

С 1981 г. в таблице ASCII для представления 1 символа используется 1 байт, т.е. таблица может описывать 28=256 символических кодов.
Коды с десятичными номерами 0—127 образуют основную страницу таблицы. В основной странице располагаются управляющие команды для принтеров (0—31 – возврат каретки, перевод строки и т.д.), затем спецсимволы (#$%&*@ пр.), цифры и латинские буквы, прописные и строчные.
Коды с номерами 128—255 (табл. 3.1) отданы под знаки национальных алфавитов и символов псевдографики (псевдографика широко использовалась в 80-е годы). Вид символов, имеющих значение кода больше 127, зависит от выбранного шрифта.
С распространением компьютеров, программных продуктов и использования информационных ресурсов по миру выяснилось, что во многих странах Юго-Восточного региона 128 кодов под национальные символы не хватает, и в 1991 г. был принят стандарт ISO-10646-1 (иначе UNICODE-3). Для этого стандарта на кодирование символа отводится 3 байта.
В Юникоде первые 128 символов тоже совпадают с соответствующими символами ASCII. Далее размещены основные алфавиты современных языков. В целом, UNICODE-3 описывает алфавиты всех известных (в том числе и «мертвых» языков; в кодировку внесены все математические и иные научные, и символьные обозначения, и даже придуманные языки – письменность эльфов и Мордора.
В современных компьютерах используется укороченная, 16-битовая версия UNICODE. По этой системе каждый символ кодируется двухбайтовым числом, следовательно, таблица описывает 216=65536 кодов, этой емкости вполне хватает для алфавитов современных широко используемых языков. Текстовые документы, созданные по такой таблице кодировки, имеют в два раза больший объем, по сравнению с кодировкой ASCII, но при современных технических средствах это не представляет особых проблем и затруднений.
Существуют и другие таблицы кодирования.
UTF (Unicode Transformation Format) – применяется в UNIX-подобных операционных системах, кодировка с переменным количеством байт/символ.
CP1251 – «Code Page 1251» – однобайтовая кодовая страница кодировки ОС Windows
Для представления русского варианта кириллицы были разработаны несколько кодовых таблиц, наиболее распространенной была КОИ-8 (Код Обмена Информацией, 8-ми битный).
3.2.Компьютерное представление графической информации
На сегодняшний день компьютерную графику по способу формирования и хранения изображений в памяти компьютера принято подразделять на растровую и векторную.
Растровое изображение формируется цветовыми точками. Растровые графические данные, в зависимости от способа сжатия, выбора глубины цветовой палитры, возможности хранения слоев и прочих возможностей при кодировании подразделяются по форматам стандартных способов записи файлов.
Векторное изображение формируется из набора объектов, описываемых с помощью математических формул.
Векторную графику, в свою очередь, по методу отображения можно разделить на большие категории:
– 2D-графику (плоскостную);
– 3D-графику (объемную);
– фрактальную графику (создание регулярных структур).
Изображения векторной графики также имеют собственные стандарты форматов хранения файлов.
По назначению компьютерную графику можно разделить на:
– Конструкторскую (инженерную) графику;
– Полиграфическую;
– Web-графику и т. д.
В таком делении учитываются требования области применения: для конструкторских работ важна точность отображения, но не слишком велики требования к цветовым характеристикам; для полиграфии – наоборот, точная цветопередача является основным требованием; в Web-графике существуют ограничения по объему файлов, к тому же, во всемирной паутине весьма ограничены цветовые палитры.
Цветовые модели. Разрешение
Для каждой точки растрового изображения (или для каждого объекта векторного изображения) должна сохраняться цветовая характеристика.
Если изображение монохромное (черно-белое) то хранить нужно только один признак цвета – есть цвет или нет, т.е. достаточно одного бита на каждый пиксель (объект) изображения.
Для описания градации одного цвета применяется обычное кодирование, в котором номер обозначает градацию. Чем больше значение, тем сильнее проявляется цвет. Таким образом, появляется возможность задавать оттенок цвета. Чтобы получить реальные полутона (для монохромного изображения), для хранения каждой цветовой точки нужно отводить большее количество разрядов. В этом случае черный цвет будет представлен нулевым значением, а белый – максимально возможным числом. Например, при восьмибитном кодировании получится 256 разных значений яркости (оттенки серого, Grayscale).
В более сложных случаях, когда речь идет о кодировании сложного цвета с большим количеством оттенков, рассматривают разложение цвета на несколько отдельных компонентов, которые, смешиваясь (т.е. действуя в одной точке), образуют заданный цвет.
Для цветных изображений нужно закодировать яркость и оттенок точки. Для получения наивысшей точности цветопередачи необходимо иметь по 256 значений для каждого из основных цветов (вместе это дает 23*8 – более 16 миллионов оттенков).

Рис. 3.3 Пространство цветов в модели RGB
Цветовое пространство характеризуют количеством битов, отводимых на сохранение цвета. Чаще всего используются режимы TrueColor (24 бита, в соотношении 8:8:8) и HighColor (16 бит, в соотношении 5:6:5).
Компоненты цвета и способ образования из них видимого оттенка образуют цветовую модель.
Теория цвета построена на особенностях зрения человека. Считается, что в глазу имеются сенсоры «колбочки», воспринимающие красный, зеленый и синий цвета, их отнесли к базовым (Red – красный; Green – зеленый; Blue – голубой). Остальные цвета получаются как смешение долей цвет. Белый – смешение максимального значения цветовых каналов, черный – отсутствие свечения по всем каналам. Эта модель цветового пространства названа аддитивной (суммирующей) и именуется RGB. Мониторы работают именно в этой системе, т.к. физически монитор излучает именно эти цвета.
Распространена и другая – субтрактивная (разделяющая) модель цветового пространства, получаемая вычитанием из белого базовых цветов. В итоге получены голубой, пурпурный и желтый цвета. Cyan – голубой; Magenta – фиолетовый; Yellow – желтый. При смешивании в равных максимальных долях они должны давать черный цвет. Поскольку на практике точного черного цвета при смешивании не получается, то в модель добавляется компенсирующий четвертый компонент – blacK, поэтому модель носит название CMYK. В этом пространстве работает большинство печатающих устройств.
Говоря о любом виде компьютерной графики нельзя не упомянуть о разрешении – понятии, которое применяется в очень разных смыслах:
Разрешение экрана – свойство видеоподсистемы, и настроек ОС, определяет размер изображения на экране; единицы измерения – PICSEL.
Разрешение электронного изображения – свойство файла, задается при создании (при сканировании, фотографировании и т.д.), определяет размер самого изображения; единицы изменения PPI – PICSEL PER INCH.
Разрешение печатного изображения – свойство принтера, количество точек, которые могут быть напечатаны на участке заданной длины, определяет качество изображения при заданном размере; единицы измерения DPI – DOTS PER INCH.
Чем больше разрешение – тем выше качество изображения, но и больше места требует сохраняемый графический файл. Для экранного отображения достаточно разрешения 70—75 ppi, для качественной распечатки на струйном/лазерном принтере потребуется 150—200 dpi, полиграфическим считается разрешение более 250 dpi.
Растровая графика
Растровые изображения формируются цветовыми точками, называемыми пикселями (PICSEL – PICtureS ELement). Из них создается двумерный массив (матрица).
Растровая графика – основное средство представления и обработки фотографических изображений, стилизованных художественных рисунков, с помощью именно этого способа представления информации строятся современные человеко-машинные интерфейсы. Но, несмотря на универсальность, этот способ представления информации имеет целый ряд недостатков. К ним относятся: зависимость качества изображения от его объема, трудность выделения и манипуляции отдельными элементами, существенное снижение качества изображения в результате геометрических преобразований (масштабирования, поворотов).
Устройствами, создающими растровое изображение, помимо собственно компьютера с растровым графическим редактором, являются:
– сканер;
– цифровая фото- и видео- аппаратура;
– программы – захватчики кадров теле- и видео- программ;
– программы создания растровой графики.
Сканеры и цифровая аппаратура используют светочувствительные элементы, при попадании на которые световой или лазерный луч передает характеристики точек. Эти характеристики в цифровом формате сохраняются на элементах памяти и, тем самым, достигается возможность передать изображение в компьютерную обработку.
Из-за разнообразия типов изображений и областей из использования существует огромное количество разнообразных графических форматов. Для того, чтобы программы понимали файлы разных форматов, существуют конвертеры – программы, переводящие файлы из формата в формат. Существует несколько наиболее употребительных форматов:
– .bmp – для хранения и передачи изображений в среде Windows;
– .jpg – для хранения изображений с применением сжатия (удаления избыточной информации);
– .gif – для хранения сжатых изображений с фиксированным количеством цветов, разрабатывался для применения в Интернете;
– .tif – предназначен для хранения изображений высокого (полиграфического) качества, имеется возможность перенесения на другие аппаратные платформы и т.д..
Векторная графика
Векторные изображения формируется из набора математически представленных геометрических объектов.
Рисунок хранится как набор координат, векторов и других чисел, характеризующих набор примитивов. Наиболее распространенными примитивами являются: отрезки, прямоугольники и их производные (со сглаженными углами), эллипсы и их части, кривые Безье (математические кривые третьего порядка, задаваемые 4 точками), а также составленные из них сложные контуры.
Линии – это кривые разных порядков, при этом прямая рассматривается как частный случай кривой; они обладают свойствами – толщиной, цветом, начертанием (сплошная, штриховая). Из минимальных объектов-линий создаются контуры. Каждый контур имеет 2 или более опорные точки-узлы. Если 1-ая точка совпадает с последней – конур замкнут, и приобретает свойство заполнения (цветом, рисунком-текстурой, градиентной заливкой).
Большим преимуществом векторного представления графики является значительно меньший объем файлов по сравнению с растровой – изображение описывается не битовой картой, а несколькими формулами, при этом объем файла не зависит от размеров изображения. Еще одно достоинство векторного представления – его объектность: объекты легко выделять, при всех трансформациях (уменьшение, увеличение, искажение) качество не ухудшается и не зависит от разрешения.
Недостатком этой формы представления относится большая сложность создания фотореалистичных изображений и высокие требования к ресурсам вычислительной системы, необходимым для пересчета координат объектов при трансформации.
Устройством ввода векторного изображения является дигитайзер (сколка). Механическое воздействие на панель этого устройства позволяет фиксировать координаты точек, а сила нажатия – определять толщину линии между точками.
Распространенными форматами хранения векторных изображений являются:
– .wmf – формат хранения векторных изображений в Windows;
– .ai,.cdf – собственные форматы векторных редакторов AdobeIllustrator и CorelDraw, совместимые друг с другом.
– .dwg – формат файлов конструкторского программного пакета AutoCad.
3.3.Компьютерное представление звука
Звук – это продольная механическая волна, распространяемая в воздухе или другой среде во всех направлениях от источника колебаний.
Всякий звук (игра музыкальных инструментов, голос человека) – это своеобразная смесь многих гармонических колебаний с определенным набором частот. Как и любая волна, звуковая волна характеризуется двумя основными параметрами – амплитудой и частотой.
Частота – это количество звуковых колебаний в секунду; измеряется в герцах (Гц). Чем выше частота, тем выше тон звука.
Амплитуда колебаний определяет громкость звука и зависит в первую очередь от мощности источника звука.
Абсолютную величину звукового давления измеряют в паскалях (Па). Порогом слышимости обладают звуки, имеющие амплитуду около 20мкПа (2*10—5 Па). Уровень болевого порога слышимости около 200 Па, т.е минимальное и максимальное значения отличаются на 6—7 порядков. Из-за большого разброса величин абсолютными значениями пользоваться неудобно, и используют логарифмическую шкалу децибелов.
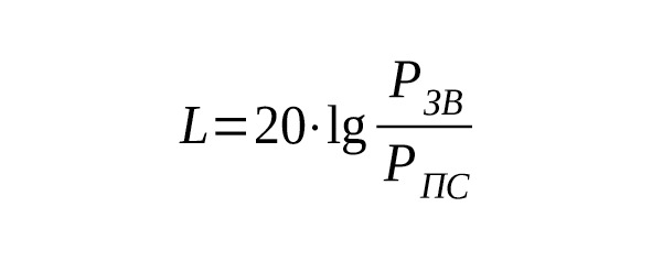
Десятичный логарифм отношения некоторой величины к ее эталонному значению (порогу слышимости) называется белом (Б), а его десятая часть – децибелом (дБ).
,

где L – уровень звука в дБ
РЗВ – измеряемое звуковое давление
РПС – звуковое давление порога слышимости
Звук можно представить в виде кривой, которая показывает зависимость звукового давления от времени. Замеряя напряжение через равные промежутки времени и сохраняя полученные численные значения можно дискретизировать (оцифровать звук). При этом сохраняются мгновенные значения звукового сигнала в определенные моменты времени (выборки). Чем чаще берутся выборки, тем точнее цифровая копия звука.
Частота следования отсчетов называется частотой дискретизации, а диапазон значений отсчета определяется разрядностью его двоичного представления.