
Инвестиционная стратегия населения на рынке российских акций
Исходя из общей модели возникновения финансовых и экономических кризисов в России на протяжении последних двадцати лет, можно с уверенностью определить ряд негативных экономических факторов (показателей), которые являются одними из основополагающих моментов, способствующих созданию критических ситуаций в отечественной экономике: внешний долг; несбалансированная структура платежного баланса; бесконтрольная утечка капитала.
Глава 2
Финансовые факторы формирования и развития фондового рынка в России
2.1. Структура платежного баланса, внешний долг и утечка капитала как основные факторы, негативно влияющие на устойчивый экономический рост и положительную динамику акций в России
Данная глава посвящена вопросу, связанному именно с факторами, негативно влияющими на позитивное развитие не только фондового рынка, но и всей российской экономики. Исследования будут полезны не только частным инвесторам, специалистам, занимающимся инвестиционной деятельность, но и чиновникам, ответственным за разработку общей экономической политики государства. К сожалению, события второй половины 2008 г. отчетливо показали, что знания властей, ответственных за экономику и финансы, оставляет желать лучшего.
До недавнего времени в России присутствовал только ряд необходимых факторов и предпосылок для экономического роста, к тому же уже имеющиеся факторы используются во многом неэффективно, в связи с чем экономика развивается темпами, не соответствующими потенциалу РФ. В последние годы в российской экономике сформировались все факторы, способствующие созданию условий для ее долгосрочного роста. Также нельзя не обратить внимание на тот факт, что некоторые отрицательные моменты (износ промышленного оборудования; низкие показатели различных товарных групп на душу населения – кв. метров жилой площади, количества автомобилей, телевизоров и т. д.) при умелой организации являются и положительными моментами (огромный отложенный спрос как на инвестиционные продукты, так и на потребительские).
На сегодняшний день правительство не использует в полной мере все многообразие способов экономического воздействия; нередко применяются ошибочные подходы к экономическому регулированию. Это и является одной из основных причин кризисных явлений конца 2008—начала 2009 г., а также неудовлетворительного экономического роста в предыдущий период, который был обусловлен в большей степени ростом мировых цен на сырьевые ресурсы российского экспорта.
Основная недоработка курса экономических реформ в России заключается в полном копировании западной «монетаристской» экономической политики, без учета текущей российской ситуации.
Учитывая национальное богатство и особенности нашей страны (исторические, географические, ментальные), считаем, что экономический курс должен иметь особенности и приоритеты, присущие исключительно России.
Важнейшей целью экономической политики государства должен стать переход России к постиндустриальному обществу. Место нашей страны в мировом экономическом пространстве – а мы все еще выступаем в качестве сырьевого придатка – не соответствует общему потенциалу государства.
В ходе реализации экономической стратегии России в обязательном порядке необходимо в качестве приоритетов учитывать: экономическую и продовольственную безопасность страны; развитие экспортно ориентированных отраслей, связанных с производством готовой высокотехнологичной продукции, и интеграцию в единое экономическое сообщество без ущерба для интересов российских производителей.
На наш взгляд, высокие показатели экономического роста, увеличение ВВП, а также рост благосостояния граждан России достижимы посредством воздействия на расширение производства и предложения товаров и услуг через активизацию и стимулирование совокупного спроса (общей покупательной способности), а также посредством увеличения инвестиций.
Рассуждая о текущем состоянии отечественной экономики, необходимо выявить факторы (причины), которые не позволяют развиваться стране с заложенным потенциалом. Несмотря на то что российское правительство допускает стратегические ошибки в элементарных экономических вопросах (от постановки целей и задач до их конкретного исполнения), останавливаться на них не будем. Нас интересуют более глубинные проблемы, которые создают сложности для любой управленческой команды.
Исходя из анализа причин возникновения экономических, политических и финансовых кризисов, можно остановиться на нескольких важнейших проблемах, которые являются факторами повышенного риска российской экономики. Речь идет о структуре платежного баланса, общей суммы накопленного внешнего долга и утечки капитала. Кроме этого, существует еще один немаловажный фактор, на который ни один из экономистов и экспертов по функционированию отечественной экономики не обращает внимания, несмотря на то, что он является одним из важнейших негативных моментов, который не позволяет осуществлять эффективную денежно-кредитную политику, – существенная зависимость экономики от СКВ.
Одним из основных рисков российской экономики является невозможность в среднесрочном плане сохранить приток валюты в страну на приемлемом уровне, позволяющем успешно реализовать основные поставленные цели не только в области экономики, но и в социальной сфере. Соответственно, вопросы, связанные с общей структурой платежного баланса, выходят на первоочередные позиции. Значение сбалансированного счета текущих операций играет важнейшую роль для развития российской экономики. Удовлетворительной можно считать ситуацию, при которой на ближайшие десять лет значение данного показателя будет превышать 20 млрд долл, в год. Снижение указанной величины до нулевого значения является негативным моментом. Критическим значением можно считать выход данного показателя в отрицательную зону.
Предположение ряда экономистов, что отрицательное значение счета текущих операций можно компенсировать притоком капитала, является ошибочным. В среднесрочном плане, не говоря уже о долгосрочном, оно несет в себе системные риски для оптимального функционирования всей экономики. Замещение отрицательного счета текущих операций притоком иностранного капитала могут себе позволить страны, у которых: национальная валюта является резервной; стабильный объем экспорта с тенденцией к постоянному росту; привлекательный инвестиционный климат; низкий уровень внешнего долга, выраженного в иностранной валюте; комфортные условия проживания граждан.
Влияние сокращения счета текущих операций на отечественную экономику можно продемонстрировать следующими моментами (исходя из текущих показателей экономики). Рост профицита счета текущих операций как минимум создает условия для стабильности национальной валюты. Стабильная национальная валюта влияет на уровень процентных ставок и общий объем инвестиций. В то же время при прогнозируемом курсе рубля появляется возможность осуществлять проекты с заданной нормой рентабельности в СКВ, что в свою очередь создает предпосылки для притока внешних инвестиций и, как следствие, увеличения спроса на национальную валюту. При разумном финансовом механизме трансформации внешних инвестиций в российскую экономику происходит существенное увеличение ЗВР и общего баланса между краткосрочными активами и пассивами, выраженными в СКВ. В результате данных мероприятий возрастает уровень производства и в конечном счете происходит увеличение производительности труда. При разумной протекционистской политике не создается завышенного спроса на импортную продукцию, и, как следствие, появляется дополнительный фактор устойчивости не только платежного баланса страны, но и всей экономики в целом. Громадный отложенный инвестиционный спрос и низкие процентные ставки позволяют запустить «длинные» инвестиционные проекты по производству инвестиционных продуктов, что в конечном счете позволит полностью модернизировать значительную часть российской экономики и, как следствие, создаст производственную базу для замещения импорта.
В случае ухудшения сальдо счета текущих операций в экономической системе страны запустится деструктивный механизм. Угроза ослабления рубля создаст предпосылки для оттока внешних портфельных и прочих инвестиций. При существующем уровне монетизации экономики (менее 30 % от ВВП) значительные оборотные средства организаций будут потрачены (в лучшем случае по умеренно растущему валютному курсу СКВ) на возврат ранее взятых займов и их обслуживание. Данное действие вызовет дополнительный отток капитала (боязнь девальвации рубля и в конечном счете – роста инфляции), что повлечет за собой ухудшение финансовых показателей компаний, сокращение оборотных средств. Давление на рубль вызовет девальвацию национальной валюты, что приведет к росту уровня инфляции и процентных ставок. Рост процентных ставок уменьшит количество инвестиционных проектов (количество проектов будет неконкурентоспособным [рост срока окупаемости]), и, соответственно, произойдет спад промышленного производства. Далее, как следствие, рост уровня безработицы. На период девальвации рубля существенная часть инвестиционного капитала переместится в СКВ.
Существует еще ряд подобных причинно-следственных связей между положительным сальдо платежного баланса и развитием российской экономики, но приведенного примера достаточно, чтобы данной проблеме уделять должное внимание. Именно из-за неудовлетворительного платежного баланса происходили различные кризисы в отечественной экономике (1991, 1998, 2008 гг.).
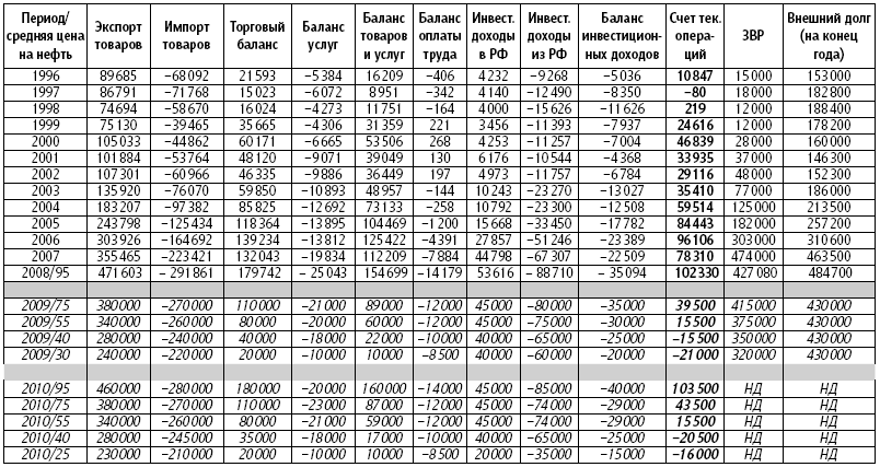
Структура платежного баланса Российской Федерации
Платежный баланс России. Основная проблема – неудовлетворительная структура отечественной экономики (существенно развит сырьевой сектор – см. табл. 4 и 5), чем обусловлена тенденция к хроническому снижению сальдо счета текущих операций с перспективой выхода его в отрицательную зону. С одной стороны, факт отрицательного счета текущих операций не является в мировой практике аномальным явлением, но, с другой стороны, предыдущие два периода, когда счет текущих операций имел отрицательное значение, – привели в 1998 г. к финансовому кризису и в 1991 г. к полному распаду советской империи. По итогам 2009 г., в случае стоимости нефти на мировых биржах не более 50 долл/баррель сальдо платежного баланса балансировало в районе нулевой отметки (от —20 до +40 млрд долл.). Только девальвация рубля позволила бы оставить данный показатель в плюсовой зоне.
Нельзя сравнивать состояние экономики сегодня и в прошлые периоды (в настоящий момент ряд показателей несравненно лучше), но вместе с тем некоторые сформировавшиеся факторы, которые, на первый взгляд, можно оценить как удовлетворительные (в сопоставимых показателях), оказываются значительно хуже. Рассмотрим данные показатели (табл. 4 и 5).
Экспорт товаров. Основная доходная статья платежного баланса. Структура экспорта товаров. Общий объем за последние несколько лет возрос в несколько раз (ПО млрд долл. – 2003 год, 472 млрд долл. – 2008 год). В общей сумме торгового экспорта 66 % (310 млрд долл.) приходится на долю нефти, нефтепродуктов и газа. Среднее значение данного показателя за последние десять лет находится на уровне не более 123 млрд долл.; за 17 лет – 85 млрд долл. Из этого следует, что с вероятностью более 50 % в ближайшие несколько лет сумма российского экспорта по данной категории товаров будет находиться на уровне 123–250 млрд долл. Если учитывать возможное снижение стоимости других товарных групп (до 30 %), то сумма товарного экспорта, относительно которой необходимо строить расчеты по окончательному балансу счета текущих операций, должна рассчитываться исходя из формулы: 200 млрд долл. + сумма, зависящая от стоимости сырья на мировых рынках исходя из 35–50 долл./баррель.
Таблица 4
Показатели внешней торговли Российской Федерации, баланс инвестиционных доходов и счет текущих операций (1974–2010 гг.)


Источник: на основе данных Центрального банка России.
Экспорт услуг. Исторически сложилось, что баланс данного показателя является дефицитным в течение длительного времени (табл. 5). При росте номинальных валютных доходов населения отрицательное сальдо возрастает. Особое внимание следует уделить «сомнительным» платежам, которые являются скрытой формой утечки капитала.
Инвестиционные доходы. За последние несколько лет отрицательный баланс между доходами в Россию и доходами из России в силу ряда обстоятельств (огромные займы, ошибочное укрепление рубля, высокая реальная доходность капитала и др.) имеет тенденцию к увеличению, что в конечном счете отрицательно сказывается на общей величине сальдо платежного баланса. По итогам 2008 г. инвестиционные доходы из России составили чудовищную сумму – 92,7 млрд долл., при доходах к получению в размере 57,9 млрд долл. Решение данного вопроса напрямую зависит от позиции правительства в области движения внешнего капитала и общей кредитно-денежной политики.
Оставшиеся позиции счета текущих операций также являются дефицитными и имеют ярко выраженную негативную тенденцию.
Исходя из сложившейся динамики основных показателей платежного баланса России, можно констатировать, что в ближайшие несколько лет счет текущих операций будет стремиться к отрицательному значению. Важно учитывать тот факт, что это случится вне зависимости от снижения стоимости основных товарных групп российского экспорта. Сделанный прогноз указывает на то, что отрицательное сальдо счета текущих операций при стечении ряда факторов может составлять до 50 млрд долл, в год. Набор инструментов (действий, механизмов) по исправлению данной ситуации невелик: девальвация национальной валюты, продажа ЗВР, увеличение внешних займов и некоторые другие. Даже неэкономисту видно, что реализация вышеуказанных мероприятий вызовет ряд негативных явлений в экономике (окончание 2008 г. – начало 2009 г.). Вот некоторые из них.
Девальвация: увеличение долговой (выраженной в рублях) нагрузки организаций и сложности в ее обслуживании; снижение уровня жизни населения (см. объем импорта); рост процентных ставок и др.
Реализация ЦБР ЗВР: ухудшение относительных показателей платежного баланса и, как результат, увеличение рисков со всеми вытекающими последствиями (рост процентных ставок по внешним заимствованиям, сокращение притока капитала (возможен чистый отток), снижение стоимости рисковых активов и т. д.
Таблица 5
Платежный баланс Российской Федерации за 1996–2008 гг. (аналитическое представление) (млн долл. США)

Источник: на основе данных Центрального банка России.
Таблица 6
Фактические и возможные показатели платежного баланса РФ 1996–2012 гг. с учетом возможной стоимости энергоносителей (млн долл)

Источник: расчеты автора на основе данных Центрального банка России.
Внешние займы (приток капитала): любые заимствования будут ухудшать относительные показатели платежного баланса, создавать дополнительную базу для увеличения оттока капитала по статье «Инвестиционные доходы из России», что, в свою очередь, будет ухудшать сальдо счета текущих операций. К негативным последствиям нужно добавить возможный уход иностранного капитала из страны (краткосрочный внешний долг России на 01.01.2009 – более 100 млрд долл.).
Перечисленные негативные моменты являются только частью всех отрицательных последствий в российской экономике, которые в обязательном порядке возникнут в случае устойчивого среднесрочного отрицательного счета текущих операций.
Модель развития экономической ситуации была выстроена за 8—16 месяцев до начала кризисных явлений (табл. 6). Дальнейшие события, которые наблюдались в отечественной экономике в период обострения кризиса (вторая половина 2008 и 2009 г.) полностью подтвердили правоту сделанных предположений.
Динамика и структура внешних долгов и утечки капиталов из страны как главные отрицательные факторы в развитии фондового рынка в России
Накопленная сумма внешнего долга России на 01.01.2009 составляет 484,7 млрд долл. (табл. 7). Много это или мало? Если в рублях соотнести с сальдированным финансовым результатом российской экономики за 2008 г. (3 трлн руб.), – не много. Можно добавить еще несколько относительных показателей и на этом успокоиться. Однако для получения объективного представления о сумме внешнего долга страны необходимо сравнивать другие относительные показатели валютной части экономики: ЗВР, торгового экспорта, торгового сальдо по товарам и услугам. Кроме этого необходимо учитывать структуру внешнего долга, которая на 80 % номинирована в СКВ со сроком погашения по основной сумме долга не более пяти лет. Нет особого смысла говорить и об оценочных показателях. Проблема совершенно в другом: сможет ли российская экономика генерировать поступление экспортной выручки в тех же объемах, что и предыдущие несколько лет? На самом деле вопрос должен звучать несколько иначе: сможет ли российская экономика генерировать экспортную выручку с темпом роста не менее чем 20–30 % в год в течение ближайших десяти лет? Именно при данных результатах оценочные коэффициенты смогут остаться на прежнем (неудовлетворительном) уровне. Остановимся на базовых параметрах.
Таблица 7
Внешний долг России в 2000–2008 гг. (млрд долл. США)

Источник: на основе данных Центрального банка России.
Доходная часть. Как уже говорилось, основным источником поступления валюты в страну является экспорт товаров, составивший в 2008 г. 471,6 млрд долл., который в России обеспечивается сырьевой составляющей в размере 310,1 млрд долл, (нефть, газ и нефтепродукты без учета металлов). То есть не менее 65 % от всего экспорта товаров представляют собой неустойчивые доходы, которые в несколько раз выше среднегодовых показателей за 10 последних лет, не говоря уже о более долгом периоде (табл. 8, 9 и 10). Таким образом, существует большая вероятность снижения сырьевой составляющей российского экспорта товаров в 2–3 раза до ЮЗ-155 млрд долл. Оставшуюся часть российского экспорта также невозможно назвать устойчивой позицией.
Таким образом, с вероятностью не менее чем 50 % можно констатировать, что в ближайшие несколько лет величина экспорта российских товаров может варьироваться от 210 до 600 млрд долл. (500 млрд долл. – при среднегодовой стоимости нефти не ниже 110 долл, за баррель).
Для справки: общий уровень экспорта товаров в размере 110 млрд долл, был преодолен лишь в 2003 г. (74,5 млрд долл. – нефть, газ и нефтепродукты без учета металлов). Показатели российского экспорта и импорта с 1970 г. приведены в таблице 4. Именно на основе данных показателей необходимо строить модель не только приемлемости уровня внешнего долга, но и обеспечения устойчивости платежного баланса России. Однако следует заметить одну немаловажную деталь, которая в нашем случае не работает: если экспорт будет возрастать, то все замечательно. Следует помнить, чем выше показатели сегодня, тем выше риски в дальнейшем, так как экономика в общем плане (домохозяйства, организации) быстро привыкает к увеличенному импорту, который, в свою очередь, может поддерживаться только «крепким рублем».
Расходная часть. По всем остальным позициям счета текущих операций российский платежный баланс имеет отрицательное сальдо (табл. 5). Эту часть разумно разделить на две группы. Первая зависит от курса национальной валюты (способность потреблять) и является величиной переменной. Сюда также можно отнести заградительные барьеры, которые, в зависимости от тенденции, будут иметь характер, увеличивающий импорт (ВТО). Вторая группа – условно постоянная.
Не вдаваясь в подробности, отмечу, что накопленный внешний долг для российской экономики непомерно велик и не соответствует в среднесрочном плане экономическому развитию нашей страны. При ставке 8 % годовых обслуживание 450 млрд долл, обойдется примерно в 36 млрд долл, в год. Чем выше ставка и сумма долга, тем выше стоимость обслуживания. Причем независимо от курса национальной валюты эти платежи необходимо осуществлять ежегодно.
Что касается других импортных позиций (в широком плане), то нельзя забывать, что их снижение происходит только в случае девальвации национальной валюты и сокращения реальных располагаемых доходов населения, что, в свою очередь, автоматически вызовет снижение уровня жизни населения и существенно затруднит обслуживание внешнего долга (текущая ситуация).
Одной из острых проблем российской экономики является хроническая утечка капитала. В последнее время в связи с активным платежным балансом страны данный вопрос практически не поднимается, а между тем проблема с каждым годом становится все острее. Некоторые цифры (авторский расчет и методика приведены в таблице 11). Предполагаемая утечка капитала с 1991 по 2008 г. составила 588 млрд долл.; с 1999 по 2008 г. – 479 млрд долл.; с 2004 по 2008 г. – 386 млрд долл.
Таким образом, исходя из последних десяти лет, среднегодовая сумма утечки капитала составила 47,9 млрд долл. За последние пять лет данный показатель составил 77,3 млрд долл, в год. На наш взгляд, цифры просто ужасающие. О чем они говорят? В первую очередь они говорят о том, что участники предпринимательской деятельности значительную часть капитала выводят из страны. Если внимательно посмотреть на структуру внешнего долга, можно заметить некоторую синхронность по привлечению и выводу капитала. Кроме этого, основная сумма внешнего долга находится в разделе «Портфельные и прочие инвестиции». Если учитывать страну происхождения внешних поступлений, то вывод напрашивается сам собой: значительная часть внешних займов – ранее выведенные средства российских предпринимателей.
Думаем, будет справедливым утверждение, что таким образом бизнес пытается обезопасить капитал. В настоящий момент вывозится часть заработанной страной валютной выручки, но все дело в том, что в России (СССР) была ситуация (1985–1999 гг.), когда валюту вывозили из страны в момент острого дефицита СКВ (за счет наращивания внешних займов). Где гарантия, что в случае вхождения счета текущих операций в отрицательную зону данный факт не повторится? Не пора ли принимать решения, которые бы резко ограничили данную тенденцию?
Таблица 8
Экспорт Российской Федерацией сырой нефти за 2000–2008 гг. (по данным ФТС России и Росстата)

Источник: на основе данных Центрального банка России.
Таблица 9
Экспорт Российской Федерацией природного газа за 2000–2008 гг. (по данным ФТС России и Росстата)

Источник: на основе данных Центрального банка России.
Таблица 10
Экспорт Российской Федерацией нефтепродуктов за 2000–2008 г. (по данным ФТС России и Росстата)

Источник: на основе данных Центрального банка России.
По нашим оценкам, основной незаконный вывод валютных средств из страны происходит по счету платежного баланса: «Машины, оборудование и транспортные средства». По итогам 2008 г. общая сумма импорта по данному счету составила 140 млрд долл. За тот же период 2007 г. – 78,8 млрд долл. Успешное решение вопроса незаконной утечки капитала позволит при прочих равных условиях увеличить сумму золотовалютных резервов ЦБ РФ как минимум на 25–40 млрд долл, в год.
Особо следует заметить, что прослеживается тенденция: чем выше приток валюты в страну (по счету текущих операций и движению капитала), тем больше отток валюты, в том числе в основном по трем вышеперечисленным статьям платежного баланса. За данными событиями явно прослеживается отлично отлаженная схема вывода валюты из российской экономики.
С экономической точки зрения в момент активного платежного баланса данная «схема» является меньшим злом (в редких исключениях, например в период руководства страной М. С. Горбачева, когда утечка капитала имела в качестве источника финансирования внешние займы). При разумном функционировании экономики данный «вывод» излишка валюты должен быть подконтрольным государству и являться «подушкой безопасности», используемой в качестве притока капитала (инвестиции) при дефицитном счете платежного баланса страны. Практика последних месяцев показала, что выведенные ранее валютные средства не поступают в страну в момент их острой необходимости, значит, существующая схема вывода излишка СКВ из российской экономики используется не «по прямому назначению». Вывод напрашивается сам собой: либо это преступная халатность, либо отсутствие понимания серьезности проблемы, либо…

