
Экономика упущенных возможностей
Перефразируя крылатую фразу «Был бы человек, а дело всегда найдется», можно сказать, что была бы валюта, а вывезти из страны – дело техники. По моему разумению, проблема выкачки из России валюты – дело сугубо государственное и входит в компетенцию специальных органов.
Можно долго и бесцеремонно критиковать руководство бывшего СССР, особенно дедушек, но цифры упрямая вещь. Внешний долг России в 1985 году – 28 млрд долл., или 38 % от экспорта. В 2007 году -440 млрд, или 130 % от экспорта товаров.
Думаю, что наши дети и внуки долго будут помнить «народное» правительство России 2000–2007 годов.
Таблица 9
ТОВАРНАЯ СТРУКТУРА ИМПОРТА РОССИЙСКОЙ ФЕДЕРАЦИИ
(в фактически действовавших ценах)


Таблица 10
ТОВАРНАЯ СТРУКТУРА ЭКСПОРТА РОССИЙСКОЙ ФЕДЕРАЦИИ
(в фактически действовавших ценах)


Таблица 11
ЗАВИСИМОСТЬ ИМПОРТА ТОВАРОВ ОТ КУРСА НАЦИОНАЛЬНОЙ ВАЛЮТЫ (ПО МЕТОДОЛОГИИ ПЛАТЕЖНОГО БАЛАНСА)


Опубликовано в № 1–2 2008 года
Россия – страна с привлекательным инвестиционным климатом
Прежде чем рассмотреть вопрос, относящийся к благоприятному инвестиционному климату нашей страны, немного о предыдущей статье, которая была опубликована в № 1 журнала, – «Радужные перспективы платежного баланса России». У наших читателей материал вызвал определенный интерес. На ее основании было составлено и разослано письмо практически всем руководителям страны, прямо или косвенно отвечающим за успешное развитие российской экономики (адресаты и письмо – в конце статьи). Не скрою, что некоторым людям после прочтения материала становилось, мягко говоря, дурно. Кто-то хватался за голову, кто-то говорил, что все не так плохо и наше правительство не допустит очередного краха национальной валюты, и т. д. В общем, мнения были разные. Перед тем как перейти к дополнительным пояснениям к ранее опубликованной статье и рассмотреть российскую экономику как одну из экономик с привлекательным инвестиционным климатом, мне бы хотелось озвучить причины, по которым наше издание поднимает столь серьезные вопросы и на основании которых рассылает письма руководителям государства, тем самым отрывая их от насущных проблем.
Зачем мы об этом пишем? Стратегическая задача – чтобы у российских граждан было право выбора. Прежде чем прийти к данному условию, необходимо пройти промежуточные стадии. Их несколько. Наше издание пытается «закрыть» вопрос, связанный с получением информации, повышением общего уровня знаний в области экономики и финансов и всего того, что с этим связано. Следствие этой работы – разумное обращение с финансовыми средствами конкретного человека, семьи, организации и, частично, государства. Именно с наличием достаточного количества денежных средств у человека (организации) возникает право выбора. Появляется возможность заниматься любимым делом, работать в том месте, где комфортно, у кого комфортно и с кем комфортно, а также посещать различные страны, использовать позитивный опыт других народов и что-то привнести свое. Одним словом, заниматься самореализацией и быть полезным обществу. К тому же мы стараемся, чтобы российские граждане больше думали и рассуждали не только на финансовые темы. Можно сказать, что журнал пытается исправить (частично) генетическую особенность советского человека, сформированную десятилетиями советской власти и, возможно, более раннем периодом – крепостным правом. Нет особого смысла рассуждать о прошедших временах, как было хорошо или плохо. Были свои плюсы и свои минусы. Но один из недостатков прошлого заключается в том, что людей полностью отучили думать и осознанно принимать самостоятельные решения, а значит, самим заботиться о завтрашнем дне. Есть руководство страны, оно все знает и все за нас сделает. Другими словами, инициатива человека в большой степени была уничтожена. Но дело в том, что мир меняется, и на современном этапе развития общества способность самостоятельно мыслить и принимать решения – это необходимое условие выживания и конкретного индивидуума, и всего государства. Но это тема отдельного разговора.
Как показала практика, после перехода экономики на рыночные механизмы российский народ оказался совершенно не готовым к такому повороту событий и не смог воспользоваться благоприятной ситуацией для улучшения своего материального благополучия. Мало того, что российские граждане не покупали акции отечественных предприятий, стоившие в свое время буквально копейки (естественно, речь идет о тех, у кого была данная возможность), потеряли существенные средства на девальвации рубля, в различных пирамидах, строительных инвестиционных контрактах и других аферах. Помимо этого, если бы они удосужились как минимум раз в квартал изучать платежный баланс страны, внимательно изучать договоры, периодически читать специализированную литературу, то убытки были бы сведены к минимуму. Необходимо раз и навсегда запомнить, что при капитализме спасение утопающих – дело рук самих утопающих. Также нужно осознать, что ни один из руководителей страны не скажет перед девальвацией или другим кризисным явлением, что необходимо делать рядовым гражданам. Это аксиома рыночной экономики. В лучшем случае будет произнесено: «Сограждане, мужайтесь! Мы великая страна и преодолеем любой кризис! Я вместе с вами!». Но следует помнить, что руководитель любого государства, как правило, «войдет» в кризис не с пустыми руками, и его дети и внуки по-прежнему будут ходить в элитную школу и ездить на отдых за границу.
Зачем мы написали письма руководителям страны? Основное – очередной раз сказать, что не все так хорошо, как кажется. Сегодня и завтра все замечательно, но послезавтра могут возникнуть проблемы, с которыми очень сложно будет бороться. Знают ли об этой угрозе наши руководители? Думаю, что знают. Но российские граждане не имеют представления о том, что управители собираются в этой связи делать. За счет каких механизмов и инструментов финансового (административного) регулирования будет продолжен экономический рост, с одной стороны, и устранены валютные риски – с другой?
Все дело в том, что Россия официально не в «схеме» мирового капиталистического развития, не входит в нее на правах полноценного партнера, так как не согласна с ролью, которую ей хотели бы отвести. А если учитывать тот факт, что благополучие открытой отечественной рыночной экономики полностью зависит от конъюнктуры на мировых сырьевых биржах, то вопрос о платежном балансе страны является сверхактуальным. Таким образом, рядовые граждане (инвесторы в том числе) хотят знать, как правительство будет решать проблему отрицательного счета текущих операций, которая в любом случае возникнет в конце 2009 – начале 2010 годов. Чиновники обязаны озвучить, а экономисты должны проанализировать предложенные пути решения данной проблемы. Возможно, лет через 30–40 мы будем частично полагаться на мнение правительства, но в настоящий момент, исходя из практики прошлых лет, хотелось бы вначале внимательно выслушать чиновников. Но время идет, и все молчат, а решения необходимо было принимать вчера! А то получится, как с инфляционным всплеском в конце 2007 года. Бегают, шумят, возмущаются, ищут виновных, прибегают к директивным решениям, а толку никакого. Как говорит мой знакомый, поздно пить «Боржоми», когда почки отказали. Вот и сегодня – проблемы накапливаются, а конкретных действий со стороны властных структур не наблюдается. В общем, наша задача – обратить внимание на проблему, а задача руководителей страны – либо принять к сведению, либо делать вид, что ничего серьезного не происходит. Во втором случае это уже их личные проблемы. Скажу больше, чтобы некоторые чиновники не расслаблялись. Как минимум 3–4 письма попадут лично в руки некоторым товарищам из списка адресатов. Соответственно, определенным советникам по экономике придется давать по данному вопросу дополнительные разъяснения и предложения.
Перейдем к существу вопроса. В той или иной форме мы постоянно будем возвращаться к российской экономике, так как она непосредственно влияет на инвестиционные решения. В этом номере мне бы хотелось дополнительно поделиться своими мыслями по данному поводу, поскольку некоторые читатели достаточно негативно (пессимистично) восприняли опубликованную информацию. Я не рекомендую читать дальше тем гражданам, у которых слабое сердце и бурное воображение. В любом случае валидол не помешает.
Первое. Я не вижу ничего смертельного в том, что позитивное развитие российской экономики существенным образом зависит от счета текущих операций. Так исторически сложилось, не более того. Останавливаться на причинах, которые «привязали» благоприятное развитие нашей страны к стоимости сырья на мировых рынках, не будем, так как это тема отдельного исследования. С позиции государства, на мой взгляд, необходимо создавать условия, позволяющие уменьшить данную зависимость. С позиции инвестора (гражданина) следует быть более внимательным и не строить воздушных замков. В общем, надо приспособиться к этой особенности.
Второе. Несмотря на то, что в предыдущие два периода, когда, в России (СССР) счет текущих операций уходил в отрицательную зону, наступали всевозможные кризисы. Ситуация наряду с ярко выраженными негативными проявлениями настоящего времени имеет ряд существенных преимуществ: объем накопленных ЗВР, авторитарный режим правления, позитивная динамика развития экономики. При достижении отрицательной величины счета текущих операций для удержания курса национальной валюты от существенной девальвации накопленных валютных ресурсов (определенной части) хватит на несколько лет, в зависимости от политики Центрального банка и общей рыночной конъюнктуры. В том случае, если Центральный банк примет решение о плавном снижении курса рубля, можно смело говорить о запасе прочности лет на пять. Но еще раз отмечу: многое зависит от факторов, которые невозможно спрогнозировать.
Например, никто не знает, как будут себя вести западные инвесторы, какой будет объем экспорта и импорта в ближайшие несколько лет, каким станет уровень процентных ставок, как сложится общая ситуация в мировой экономике и т. д. Необходимо помнить и о негативных моментах, которые в разы превосходят отрицательные факторы прошлого периода, – объем накопленного внешнего долга; экономический рост (двоякий фактор), который стимулирует потребление импорта и внешние заимствования; излишнее укрепление национальной валюты; аномально высокий уровень экспорта, превышающий в разы средние показатели за последние 10, 20, 30 и 40 лет, а также открытость экономики. В директивной экономике закупки импортной продукции регулировались с учетом объема экспорта. В рыночной экономике данный процесс регулирует платежеспособный спрос, которому абсолютно нет дела до того, что будет завтра. Есть деньги – покупают. Финансовых средств не хватает – покупки ограничиваются. Плюс высокая стоимость активов (недвижимость, акции), есть что продавать, и т. д.
Третье. Состояние платежного баланса любой страны влияет на курс национальной валюты. В моем понимании, с учетом особенностей нашей страны, работает следующая причинно-следственная связь. Активный счет текущих операций способствует притоку валютных средств. Приток валютных средств благоприятно сказывается на стоимости активов, номинированных в долларах США. Соответственно, доходность, выраженная в валюте, увеличивается. В том случае, когда отток валюты превышает приток, инвесторы не могут в среднесрочном плане рассчитывать на получение приемлемой доходности, рассчитанной в СКВ. Элементарная математика показывает, что в случае реализации за национальную валюту активов и дальнейшей конвертации рублевой выручки при текущем валютном курсе на всех долларов не хватит. Следовательно, происходит обесценивание курса национальной валюты. По этим причинам снижается вся оценка актива, номинированная в СКВ. Инвестору некомфортно, так как он в качестве кредитов привлек именно валютные средства (см. накопленный внешний долг России). Далее, если невозможно за период заимствования денежных средств рассчитывать на исправление платежного баланса, то инвестор как минимум начнет частично закрывать позиции. Закрытие ранее открытых позиций создаст избыток предложения на рынке (вне зависимости от характера активов) и приведет к возросшему спросу на валюту. Происходит одновременное снижение стоимости активов и национальной валюты. Круг замкнулся. Задача инвестора – определить временной интервал, когда крупные инвесторы начнут закрывать ранее открытые позиции. Так как с экономическим ростом в нашей стране все в порядке (обеспечен как минимум года на три), то основные риски – валютные. Единственным источником, позволяющим оценить (спрогнозировать) валютный курс, является платежный баланс страны.
Четвертое. Уважаемый читатель! Мне стыдно признаться, но я вынужден констатировать одну существенную деталь, относящуюся ко всем ранее написанным статьям относительно перспектив платежного баланса России. Дело в том, что я по своей глупости считал, что средства ЗВР и Стабфонда – это разные деньги. Когда я говорил о наличии существенной подушки безопасности у нашей страны, то я эти две разные величины складывал. Например, на 01.01.2008 средства ЗВР – 474 млрд долл, и 150 млрд долл. – объем Стабфонда. У меня получалось 624 млрд долл. Но все дело в том, что в объеме ЗВР уже «сидят» средства Стабилизационного фонда. К сожалению, я поздно начал читать журнал «Портфельный инвестор». Приношу свои извинения. Таким образом, ситуация складывается еще хуже, нежели я ожидал. Кстати, об этом факте никто не говорит. Практически во всех официальных выступлениях и комментариях ЗВР и Стабфонд преподносятся именно как две разные составляющие. Мы были вынуждены обратиться в ЦБ РФ за разъяснениями. В результате чего я узнал эту новость. Лучше поздно, чем никогда.
Пятое. К ранее опубликованному прогнозу относительно счета текущих операций и всему, что с ним связано. Я намеренно не стал в первом номере журнала останавливаться на данном вопросе, так как хотел, чтобы читатели сами (кому это интересно) пофантазировали. Смею вас заверить: для фантазии поле деятельности обширное. Но все по порядку.
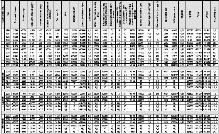
Благоприятный сценарий. Все внешнеэкономические показатели изменяются согласно заданной траектории. Счет текущих операций (СТО) входит в отрицательную зону в третьем-четвертом кварталах 2009 года. Это говорит о том, что количество средств (без учета движения капитала), уходящих из страны, превышает общее количество средств, приходящих в страну. Значит, общее сальдо по притоку/оттоку валюты либо компенсирует этот отток, либо усиливает его. В нашем случае СТО (-26,5) млрд долл. Для того чтобы ЗВР остались на прежнем уровне, сальдо движения капитала должно быть как минимум 26,5 млрд долл. Прошу заметить, что в реальности все несколько сложнее. Например, существуют курсовые разницы по ЗВР, не возврат экспортной вы- ручки. Эти нюансы мы не учитываем, так как данные показатели сложно прогнозируемы. В 2010 году СТО составляет уже (-100) млрд долл. Все, что ниже чистого притока капитала, будет уменьшать ЗВР. В 2011 году СТО снижается до (-170) млрд долл. Возможный чистый приток капитала 50 млрд долл, в любом случае вызовет снижение ЗВР.
Таблица 1
ПРОГНОЗНЫЕ ПОКАЗАТЕЛИ ПЛАТЕЖНОГО БАЛАНСА РОССИИ

Очень важный момент – это снижение СТО до (-50) млрд долл. По моему мнению, российская экономика не может себе позволить данной величины. И думаю, что власти будут снижать курс рубля, с основной целью уменьшения импортного потребления по всем статьям (оттока валюты). Таким образом, о (-100) млрд долл, не может быть и речи. Теоретически возможно все, но это будет глобальной стратегической ошибкой, так как будет либо наращиваться внешний долг, либо снижаться ЗВР. Вне зависимости от развития ситуации валютные риски резко возрастают.
Умеренный сценарий. Счет текущих операций входит в отрицательную зону во втором-четвертом кварталах 2009 года, но со значением, в два раза превышающим цифры в благоприятном сценарии. В дальнейшем рассуждения аналогичные.
Неблагоприятный сценарий. Счет текущих операций входит в отрицательную зону в четвертом квартале 2008 года. Если не девальвировать национальную валюту, с учетом чистого притока капитала в размере 50 млрд долл., ЗВР тают на глазах.
Вывод. Динамика счета текущих операций позволяет определить период времени, при котором отток валюты из страны будет превышать приток. Дальнейшие последствия полностью зависят от политики ЦБ РФ и внешних инвестиций. Показанная динамика говорит о том, что в конкретный период времени ситуация с валютой может сложиться определенным образом и в случае бездействия чиновников возможны кризисные явления. Кто-то может уповать на приток капитала, кто-то – на рост стоимости экспорта, а кто-то вообще может сказать, что все будет хорошо. Время покажет.
Далее рассмотрим не менее актуальный вопрос под условным названием «А был ли мальчик?» либо «Где деньги, Зин?», или «Где ваша совесть, господа?». Переходя от ерничества к обыденному русскому языку, скажу, что на повестке дня вопрос о привлекательности российской экономики. Это миф или реальность? Чиновники утверждают, что реальность. Можно сказать что угодно и кому угодно, но как в народе говорят, «денежки любят счет». Деньги, между прочим, немалые. Вот мы и займемся арифметикой.
Прежде чем бессовестным образом клеймить нынешних руководителей страны, совершим небольшой экскурс в историю. Так сложилось, что практически любой новый глава государства, приходя на смену предыдущему правителю России, пытался что-то найти, кого-то разоблачить, вывести на чистую воду и т. д. Возможно, это не относится в полной мере к нынешнему Президенту, особенно на ранней стадии его правления. Один из мифов перестроечного периода: коммунисты «скачали» на Запад более 250 млрд долл. Временные рамки не назывались. Возможно, речь шла не о коммунистах, а о демократах, но это не имеет особого значения. Отдельно будут взяты разные периоды времени.
Таблица 2
ПОКАЗАТЕЛИ ПЛАТЕЖНОГО БАЛАНСА РОССИИ, 1970–2007 ГГ.

Сколько денег вывезли коммунисты? Окончание периода – 1991 год. Думаю, это корректно. Прежде чем ответить на этот вопрос, необходимо указать источники вывоза средств за пределы нашей Родины. Их несколько.
Первый. Кто-то что-то кому-то поставил (продали на экспорт), валюта в Россию не пришла, задолженность осталась. По разным оценкам, на период распада СССР общий долг Союзу был не более 170 млрд долл. В дальнейшем практически все долги списали. Можно предположить, что страны-кредиторы частично поделились с благодетелями. Возможно, так и было, но практически все должники – это страны третьего мира и государства, которые в лучшем случае «занесли» бы не более 10 %. Российским гражданам внушили, что все поставки – это большая политика бывшего СССР. Вероятно, так могло случиться, но в любом случае данный показатель нельзя считать утечкой капитала. Это прямые убытки, не более того. Кто-то заработал на поставках, кто-то – на списании.
Второй источник. Непосредственный вывоз валюты. Здесь самое интересное. Сколько, в принципе, можно вывезти СКВ? Думаю, будет справедливым предположение, что вывоз валюты из страны равен «чистым» остаткам после удовлетворения всех обязательств. Другими словами, это величина, близкая к сумме счета текущих операций платежного баланса страны. Особого смысла рассуждать, как вывозится капитал (чемоданы, переводы), нет. Важна общая величина. Следует заметить, что мы не рассматриваем вариант вывода капитала через контракты на закупки импорта (товары и услуги). Это трудоемкий процесс, который требует скрупулезного анализа всех заключенных контрактов на предмет их исполнения. Остановимся на том, что первый этап расчета утечки капитала будет считаться следующим образом. Общая сумма за период: счет текущих операций; ЗВР; накопленный внешний долг. На втором этапе сделаем ряд допущений и предположений.
Допущения. В связи с тем, что платежный баланс СССР являлся закрытым источником информации, показатели счета текущих операций близки к сальдо торгового баланса России. ЗВР с 1970-го по 1985 год остановились на цифре 5 млрд долл. За аналогичный период показатель по внешнему долгу – 7 млрд долл.
Таблица 3
РАСЧЕТ ПОКАЗАТЕЛЕЙ ПРЕДПОЛАГАЕМОЙ УТЕЧКИ КАПИТАЛА

Рассуждения при расчете показателя «Возможная утечка капитала». Счет текущих операций отражает остаток валютных средств государства после производства всех расчетов по внешнеторговым операциям (подробно см. структуру счета текущих операций). Если к ней прибавить сальдо между внешним долгом на начало периода и конец периода, то получится сумма валютных средств, которую теоретически можно вывести. Например, долг на начало периода 10 млрд долл., на конец периода – 20 млрд долл. Соответственно, 10 млрд долл, инвестировано дополнительно в страну. Данные средства прибавляются к счету текущих операций, и получается общий потенциал вывода средств. Далее делается корректировка на изменение ЗВР (при увеличении данного показателя сумма финансовых средств, на которую возросли ЗВР, вычитается, при снижении – прибавляется). Не учтены нюансы, но они не учтены во все периоды. Что у нас получилось? С 1970-го по 1991 год предполагаемая утечка капитала составила 124 млрд долл. Между тем в период «глубокого» и циничного тоталитарного прошлого за 16 лет было выведено 47 млрд долл. Для расчета общей величины вывода валютных средств из России за более ранний период необходимо как максимум прибавить по 0,5 млрд долл, в год. Весь российский экспорт с 1950-го по 1970 год составил не более 100 млрд долл. Импорт за аналогичный период находился в тех же пределах.
Подробно комментировать полученные результаты не буду, так как каждый должен сам сделать вывод. Отмечу лишь несколько важных моментов. Когда были получены «голые» цифры, я покачал головой и подумал: «Как я и предполагал, худшие показатели будут в период с 1999 по 2007 год». Так оно и вышло. Но добавив оценочные показатели, я несколько изменил свою позицию. Что получается: худшие показатели для экономики наблюдались в период 1985–1991 годов, когда отклонение достигло (-10) млрд долл. Другими словами, предполагаемая утечка капитала происходила за счет займов. Валюту брали взаймы и наглым образом ее вывозили, оставляя кредиторскую задолженность внутри страны. Это близко к преступной халатности руководства государства. В настоящий момент, несмотря на громадные средства по утечке капитала, вывозится часть «прибыли». Естественно, создаются проблемы, но таковы особенности «сильного» платежного баланса любого государства. Данное явление наблюдается практически во всех странах мира с рыночной экономикой.
Общий вывод. Можно ли говорить, что российская экономика стала более привлекательной с точки зрения внешних инвестиций? Думаю, что лучше бы об этом умолчать, так как отток средств из страны довольно существенен и за период 1999–2007 годы составляет 285 млрд долл. А если учесть тот факт, что основная часть займов приходится на страны офшорного характера, то вывод напрашивается сам собой: глобальных инвестиций не наблюдается, а общий приток капитала является частью из ранее выведенных средств. Как можно говорить о привлекательности экономики, когда собственные граждане на протяжении многих лет не верят в собственную экономику?! Чем больше свободных валютных средств генерирует российская экономика, тем больше СКВ вывозится. Как говорил неоднократно, если государство не создаст условия (в первую очередь за счет резкого снижения налогов) для отечественных инвесторов и не ужесточит политику по движению капитала, особенно незаконного, через несколько лет все будет очень печально.

