
Что случилось с климатом

Рис. 1.12. Упрощенная схема крупномасштабной циркуляции атмосферы. Вращение Земли вокруг оси приводит к формированию трех ячеек циркуляции в каждом полушарии. Это затрудняет эффективный перенос тепла от экватора к полюсам. В реальности картина существенно сложнее, в частности из-за неравномерного нагрева суши и океана
У поверхности Земли тропическая циркуляция образует постоянную систему ветров, дующих из области высокого давления в субтропиках в зону низкого давления в районе экватора и благодаря эффекту Кориолиса отклоняющихся на запад. Эти ветра называются пассатами. Они дуют постоянно между 15 и 10 градусами с северо-востока в Северном полушарии, и с юго-востока – в Южном. Вблизи 30-го градуса широты в районе нисходящей ветви ячейки Хэдли над океаном формируются зоны высокого давления – здесь преобладают субтропические антициклоны. В центрах антициклонов, как правило, наблюдается безветренная погода. В эпоху парусных кораблей моряки называли эти широты конскими, потому что корабли, перевозившие лошадей через Атлантику, часто попадали в штиль в этих широтах и из-за нехватки воды и корма были вынуждены выбрасывать лошадей за борт. Штилевой пояс также располагается в районе экватора во внутритропической зоне конвергенции.
В высоких широтах формируется полярная ячейка циркуляции с нисходящей частью у полюсов и восходящей – в субполярных широтах около 60°. Между ней и ячейкой Хэдли иногда изображают ячейку с обратным направлением циркуляции – ячейку Ферреля, но она значительно менее выражена, чем тропическая и полярная ячейки. В умеренных широтах преобладают западные ветра, не столь устойчивые по силе и направлению, как пассаты.
1.6. Океан в движении
Движение вод в океане вызвано тремя причинами: силами тяготения Луны и Солнца; ветрами; различиями в плотности вод, которая зависит от солености и температуры.
Когда ветер дует над поверхностью океана, он приводит в движение и поверхностный слой воды. Вода движется медленнее, чем ветер. Если бы Земля при этом не вращалась, то движение воды по направлению совпадало бы с ветром. Но сила Кориолиса отклоняет воду вправо от направления ветра в Северном полушарии и влево – в Южном.
Это явление обнаружил норвежский полярный исследователь Нансен во время знаменитого дрейфа «Фрама». Он заметил, что движение корабля, вмерзшего в дрейфующий лед, отклоняется вправо на 20–40° от направления ветра. Объяснение этому явлению дал шведский океанолог Вагн Экман (1874–1954). Поверхностный слой воды приводится в движение ветром. Движется он медленнее, чем ветер, а значит, отклоняется силой Кориолиса сильнее. Верхний слой воды приводит в движение слой нижележащий, тот – следующий, благодаря чему отклонение от первоначального направления с глубиной усиливается (рис. 1.13).
До глубины 100–150 м спираль Экмана делает примерно пол-оборота. Здесь направление движения воды противоположно направлению на поверхности, но скорость уже слишком мала – около 4 % от поверхностной. Результирующий перенос воды происходит под углом 90° к первоначальному направлению ветра.
Энергия ветра передается лишь верхним 100–200 м воды. Однако экмановский перенос приводит к тому, что в некоторых зонах океана происходит подъем уровня поверхности, в других, напротив – понижение (рис. 1.14). Разность уровней приводит к перепаду давлений и, как следствие, к движению воды. Градиент давления уравновешивается силой Кориолиса, и движение воды происходит вдоль линий, соединяющих точки с равной высотой, – такое течение называется геострофическим. К геострофическим близки по природе основные течения Мирового океана, такие как Гольфстрим, Куросио, Агульяс, Антарктическое циркумполярное и другие. Геострофические течения достигают глубин до 2 км.

Рис. 1.13. Спираль Экмана
Экмановский перенос в сочетании с влиянием континентов приводит к образованию замкнутых систем циркуляции в океанах (рис. 1.15). В центре океанических круговоротов уровень поверхности повышается примерно на 1 м относительно среднего уровня. Вода движется по часовой стрелке в Северном полушарии и против часовой – в Южном. Западная часть системы круговоротов, называемая западными пограничными течениями, переносит теплую воду от экватора в более высокие широты. К ним относятся упомянутые выше Гольфстрим, Куросио, Агульяс. Западные пограничные течения более быстрые, узкие и глубокие, чем восточные. Асимметрия возникает из-за вращения Земли. Средняя скорость Гольфстрима 6,4 км/ч, ширина около 100 км. Гольфстрим переносит в 100 раз больше воды, чем все реки планеты. В действительности схема океанских течений выглядит существенно сложнее, чем показано на рис. 1.15, так как движение океана – процесс хаотический, в нем возникают меандры и вихри (рис. 1.16). Иногда они могут достигать сотен километров в диаметре и существовать до нескольких лет.
В центрах основных круговоротов Мирового океана скапливается дрейфующий мусор, поступающий с континентов. На акватории в 1,6 млн км2 (это примерно 1/10 часть площади России) плавает около 100 тыс. т пластика. Почти наполовину этот мусор состоит из рыбацких сетей. Большая часть выловленных пластиковых объектов имеет маркировку на японском (30 %) и китайском (30 %) языках.
В апреле 2011 г. после землетрясения Тохоку, цунами и взрыва на Фукусиме автор этой книги в составе экспедиции на научно-исследовательском судне «Павел Гордиенко» на Дальнем Востоке изучал радиоактивное загрязнение акватории и атмосферы. За сотню миль за Сангарским проливом море было покрыто следами недавней трагедии: плавали куски пенопласта, покрышки, сколоченные между собой доски, резиновые мячики, ящики от шкафов. Скорее всего, часть этого мусора плавает и сейчас, пополнив Большое Тихоокеанское мусорное пятно – крупнейшее из скоплений мусора в Мировом океане. Землетрясение Тохоку вызвало увеличение площади пятна на 10–20 % от общего ее прироста с 2011 г. (Lebreton et al., 2018).

Рис. 1.14. Образование океанических круговоротов в Северном полушарии. В результате экмановского переноса в центре круговорота уровень океана поднимается, и формируется водяная линза. Вода движется под действием разности давлений из-за наклона поверхности и силы Кориолиса

Рис. 1.15. Замкнутые системы океанических течений. Упрощенная схема объединяет их в пять круговоротов: два – в Атлантике (в Северной и Южной), два – в Тихом океане и один – в Индийском

Рис. 1.16. Антициклонический вихрь (ринг) в океане размером примерно 150 км хорошо виден благодаря цветению фитопланктона. Он находится примерно в 800 км к югу от Южной Африки. По-видимому, вихрь отделился от течения Агульяс, направленного на юг вдоль восточного побережья Южной Африки. Вихри Агульяс – важная составляющая в переносе энергии и вещества из Индийского океана в Южный. Фото: NASA
Скопления мусора есть и в других круговоротах – в субтропической части Южной Атлантики (Ryan, 2014) и в южной части Тихого океана (Eriksen et al., 2013).
Течения, вызванные ветрами, затрагивают поверхностный слой океана и зону пикноклина (примерно до 1 км в глубину) и приводят в движение лишь небольшую часть (примерно 10 %) вод океана. Помимо ветров и приливных сил, существует еще один важнейший механизм, приводящий в движение весь океан. Это так называемая термохалинная циркуляция, которая связана с различиями в плотности воды из-за перепадов температуры и солености. В этот относительно медленный процесс вовлечена большая часть вод океана. Ключевым регионом, в котором запускается термохалинная циркуляция, является Северная Атлантика. Теплые воды Гольфстрима и его продолжения – Северо-Атлантического течения – движутся на север. Они передают тепло атмосфере, по мере испарения становятся все более холодными и солеными, постепенно тяжелеют и опускаются на глубину.
Почему именно в Северной Атлантике образуются глубинные воды? Это связано с неравномерным распределением соли в водах Мирового океана. Самые соленые поверхностные воды находятся в тропиках (15–30 градусов широты), где испарение превышает выпадение осадков. Оказывается, поверхностные воды в Атлантике существенно солонее, чем в Тихом океане. На одной и той же широте это различие составляет 1–2 г/л! Это результат взаимодействия преобладающих ветров с горными цепями Америки. В умеренных и субтропических широтах естественным барьером на пути западного переноса являются Кордильеры, тянущиеся от Аляски до Огненной Земли. Они не пускают влагу из Тихого океана вглубь континентов. Напротив, влага из Атлантики может проникать в Тихий океан с пассатами, дующими с востока на запад в тропиках, через понижение в центральной части Кордильер в районе Панамского перешейка. В результате влага, испаряющаяся в тропической Атлантике, проливается дождями в тропической части Тихого океана. Поскольку обратный перенос влаги затруднен, формируется разница в солености между Тихим и Атлантическим океанами. Эта разница и служит тем мотором, что приводит в движение глубинные воды Мирового океана. Работа его возможна лишь благодаря относительно небольшому разрыву в горной системе Кордильер.
В северной части Тихого океана глубинные воды не образуются – поверхностные воды здесь слишком распресненные, чтобы опуститься на дно. В Индийском океане они слишком теплые.
Важнейшую роль в циркуляции вод играет Южный океан. Через него глубинные воды Атлантики достигают Тихого океана. В Южном океане также происходит образование глубинных вод: в море Уэдделла в атлантическом секторе Антарктики и в море Росса (Rahmstorf, 2006). Механизм образования глубинных вод здесь иной. Когда море замерзает, растворенная соль большей частью вытесняется изо льда в воду. Это было хорошо известно полярным путешественникам прошлого, которые использовали многолетние морские льды как источник пресной воды. Поэтому при образовании морских льдов формируются тяжелые, обогащенные солью массы воды. Они опускаются вниз и заменяются менее плотными, тем самым внося вклад в циркуляцию океана (Kuhlbrodt et al., 2007). Важную роль в формировании глубинных вод в Южном океане играют полыньи, образующиеся под действием ветра, – через них происходит интенсивная потеря тепла. В Южном океане образуется примерно половина глубинных вод.
Термохалинная циркуляция – физический механизм, а не реально наблюдаемый процесс. Ее нельзя считать отдельным видом движения океана. Именно сочетание термохалинной циркуляции с поверхностными течениями и подъемом глубинных вод, так называемым апвеллингом[15], приводит к запуску Большого океанического конвейера, то есть к вентилированию всей водной толщи Мирового океана (рис. 1.17). Определение радиоуглерода в морской воде (подробнее см. главу 2) показало, что время жизни глубинных вод достигает 1 тыс. лет. Это среднее время, которое каждая частичка воды проводит в толще, прежде чем апвеллинг поднимет ее на поверхность.

Рис. 1.17. Схематическое изображение Большого океанического конвейера (Broecker, 1991)
1.7. Хаос в климатической системе: бабочка Лоренца против демона Лапласа
Она упала на пол – изящное маленькое создание, способное нарушить равновесие, повалились маленькие костяшки домино… большие костяшки… огромные костяшки, соединенные цепью неисчислимых лет, составляющих Время[16].
Рэй Брэдбери. И грянул громЭдвард Лоренц (рис. 1.18) составлял прогнозы погоды для авиации США. После Второй мировой войны он продолжал работать по заказам военного ведомства и одним из первых начал использовать математические модели для прогнозирования погоды. В его распоряжении был компьютер LGP-30. Это была новинка, она весила более 300 кг и стоила целое состояние – почти полмиллиона долларов на нынешние деньги. Начинку компьютера составляли сто с лишним радиоламп.

Рис. 1.18. Эдвард Лоренц (1917–2008) – отец теории хаоса. Само по себе рождение новой теории, не менее важной, чем квантовая механика или теория относительности, из-за ошибки округления можно рассматривать как проявление хаоса в действии
Лоренц описывал состояние атмосферы системой дифференциальных уравнений. Он задавал начальные условия, и компьютер рассчитывал, как будут меняться параметры системы со временем. Однажды он решил повторить расчеты погоды на два месяца вперед и ради экономии времени сделал это не с текущей, а с другой даты и ввел в качестве исходных данных цифры из распечатки, сделанной ранее компьютером. Лоренц с удивлением обнаружил, что машина при повторном вычислении выдала уже другой результат. Причем в первые четыре дня старый и новый график шли одинаково, затем они полностью разошлись. Лоренц не сразу догадался, в чем дело. Результаты выводились на печать с тремя цифрами после запятой, тогда как компьютер оперировал шестью знаками. Округлив число до третьего знака, Лоренц задал системе новые начальные условия, пусть незначительно, но отличающиеся от прежних. И это мельчайшее различие со временем полностью изменило результат.
Компьютер преподал исследователю урок: если состояние атмосферы описывается подобной системой уравнений, то долгосрочный прогноз в принципе невозможен. И не важно, сколько станций наблюдает за погодой, какие суперкомпьютеры применяются для обработки данных.
Из эксперимента следовали и более общие выводы. Выходило, что система, пусть даже однозначно заданная несколькими уравнениями, может вести себя хаотически. Согласно Лоренцу, хаосом называется нерегулярное, случайное поведение систем, в то же время детерминированных по сути. Сам он сформулировал это так (Lorenz, n. d.):
«Хаос – это когда настоящее определяет будущее, но приблизительное настоящее не определяет будущего даже приблизительно».
Коллеги к открытию Лоренца отнеслись скептически (Lorenz, 1963):
«Один метеоролог сказал мне, что если бы теория была верна, то одного взмаха крыльев чайки было бы достаточно, чтобы изменить погоду навсегда. Спор не решен окончательно, но самые последние данные, похоже, говорят в пользу чаек».
Позже Лоренц назвал одно из своих выступлений «Предсказуемость: может ли взмах крыльев бабочки в Бразилии вызвать торнадо в Техасе?». Лоренц не дает прямого ответа на этот вопрос. Метафора же бабочки, сменившей чайку, восходит к рассказу Рэя Брэдбери «И грянул гром». В мезозое гибнет бабочка – и вот уже в современном мире вместо президента-либерала к власти приходит диктатор. Выражение «эффект бабочки» принадлежит популяризатору теории хаоса Джеймсу Глейку, автору бестселлера «Хаос. Создание новой науки».
Лоренц в публичных выступлениях любил цитировать стихотворение:
Не было гвоздя —ПодковаПропала. Не было подковы —ЛошадьЗахромала. Лошадь захромала —КомандирУбит. Конница разбита —АрмияБежит. Враг вступает в город,Пленных не щадя,Оттого, что в кузницеНе было гвоздя[17].Всякий раз Лоренц делал оговорку – в мире хаоса пропавший гвоздь мог бы равновероятно привести и к трагическим, и к счастливым последствиям.
Это стихотворение куда старше теории хаоса – ему несколько столетий. Множество книг и фильмов обыгрывают ситуации, в которых, казалось бы, незначительные события приводят к грандиозным последствиям. Здесь можно вспомнить, например, Аннушку, разлившую подсолнечное масло. Она выступает как проводник хаоса. В то же время сам Булгаков является приверженцем детерминизма, и случайности у него – часть высшего замысла: «Меркурий во втором доме, Луна ушла…», «Кирпич ни с того ни с сего <…> никому и никогда на голову не свалится». И даже если большинство из нас придерживается иной точки зрения и принимает как должное проявления хаоса в повседневности, то в мире физических явлений мы все же не готовы с этим мириться. Еще со школьных задач, в которых поезд идет из пункта А в пункт Б, мы привыкли считать, что строгие, не знающие исключений законы определяют траектории объектов физического мира. Одним из апологетов детерминизма был маркиз де Лаплас. В работе «Аналитическая теория вероятностей» он писал:
«Мы можем рассматривать настоящее состояние Вселенной как следствие его прошлого и причину его будущего. Разум, которому в каждый определенный момент времени были бы известны все силы, приводящие природу в движение, и положение всех тел, из которых она состоит, будь он также достаточно обширен, чтобы подвергнуть эти данные анализу, смог бы объять единым законом движение величайших тел Вселенной и мельчайшего атома; для такого разума ничего не было бы неясного, и будущее существовало бы в его глазах точно так же, как прошлое».
Позже этот гипотетический разум назвали демоном Лапласа. Возможно, к своим взглядам Лаплас пришел, исследуя движение планет в Солнечной системе, казавшееся ему образцом гармонии. Маркиз бы, наверное, расстроился, узнав, что и движение планет хаотично.
Теория хаоса положила конец детерминизму. Оказалось, что значительная часть явлений нашего мира в принципе не может быть просчитана наперед. Главный вывод Лоренца в целом неутешителен (Lorenz, 1991):
«К сожалению, признавая систему хаотической, мы не узнаем того, чего хотели. И не можем предвидеть будущего поведения системы. Но этот факт говорит нам о том, что существует граница нашего предвидения, хотя и не известно, где именно она находится. Пожалуй, лучший совет, который может дать нам “теория” хаоса, – не делать поспешных выводов; неожиданности могут быть частью совершенно нормального поведения».
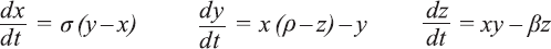
В качестве примера Лоренц рассмотрел (Lorenz, 1963) систему дифференциальных уравнений, упрощенно описывающих конвекцию в атмосфере:

Здесь x, y, z – переменные, описывающие состояние системы; t – время, независимая переменная; σ, ρ, β – числовые параметры. Каждому состоянию системы для определенного набора параметров σ, ρ, β соответствует набор значений (x, y, z) – точка в трехмерном пространстве. Изменение системы будет описываться трехмерной кривой, известной как аттрактор Лоренца (рис. 1.19). Аттрактор Лоренца наглядно демонстрирует поведение лоренцевской системы. В течение длительного времени система ведет себя квазипериодическим образом, а затем без видимой причины неожиданно переходит в другое состояние. В реальном мире подобной модели могут соответствовать два различных состояния климата, переход между которыми происходит резко и непредсказуемо.

Рис. 1.19. Так выглядит детерминированный хаос. Аттрактор Лоренца – решение приведенных выше уравнений. Система может существовать в двух состояниях, соответствующих двум спиралям, лежащим в разных плоскостях в трехмерном фазовом пространстве. Переход между состояниями происходит относительно нечасто. По форме аттрактор Лоренца напоминает крылья бабочки
«Порой существуют два разных набора состояний, к которым состояние системы в конечном счете сходится, и возмущения, кажущиеся незначительными, как потеря гвоздя, могут быть достаточными, чтобы направить систему по тому или иному пути»
Конец ознакомительного фрагмента.
Текст предоставлен ООО «Литрес».
Прочитайте эту книгу целиком, купив полную легальную версию на Литрес.
Безопасно оплатить книгу можно банковской картой Visa, MasterCard, Maestro, со счета мобильного телефона, с платежного терминала, в салоне МТС или Связной, через PayPal, WebMoney, Яндекс.Деньги, QIWI Кошелек, бонусными картами или другим удобным Вам способом.
Примечания
1
Перевод И. Бернштейн.
2
Перевод В. А. Жуковского.
3
Благодаря своему географическому положению на берегу реки Нигер и на южном краю Сахары Тимбукту играл важную роль как центр транссахарской торговли. В Средние века город стал также важным духовным центром ислама. Первым из европейцев Тимбукту посетил шотландец Александр Ленг в 1826 г. Однако он был убит вскоре после того, как покинул город. Через два года до Тимбукту добрался француз Рене Кайе. Город его не впечатлил: «У меня было иное представление о величии и богатстве Тимбукту. На первый взгляд город представлял лишь множество ветхих домов, построенных из земли». Кайе удалось вернуться домой и получить награду, обещанную Французским географическим обществом за достоверную информацию о Тимбукту.
4
К счастью, его биография издана на русском языке (Геншорек, 1985).
5
Подробнее об этом см. главу 3.
6
В этой книге часто будет идти речь о временных рамках тех или иных событий. Как указывать промежутки времени и что брать за начало отсчета временной шкалы? Вопрос не столь очевидный, как кажется. В нашей повседневной жизни мы привыкли использовать отсчет времени от Рождества Христова. Впрочем, дата эта была вычислена в VI в. монахом Дионисием Малым, по-видимому, с ошибкой в несколько лет. По мнению многих современных историков, Иисус Христос родился в 5 г. до Р. Х., как бы странно это ни звучало. В научной литературе чаще используют религиозно нейтральный синоним «наша эра». Но такой отсчет времени удобен лишь для относительно недавних событий, произошедших не более нескольких тысячелетий назад. Летоисчисление от Р. Х. используют историки и археологи, но палеонтологам, геологам и палеоклиматологам оно неудобно. Они чаще говорят о том, что то или иное событие произошло столько-то лет назад. В англоязычной литературе этому соответствует обозначение BP – before present, то есть до настоящего времени. Когда мы указываем промежуток времени, не важно, идет ли речь о летоисчислении от Р. Х. или до настоящего времени, мы указываем даты слева направо, то есть от начала промежутка к концу, например 200–150 тыс. лет назад, или 356–323 гг. до н. э., или 1799–1837 от Р. Х.
7
В дальнейшем не будем каждый раз повторять «усредненная по планете среднегодовая температура поверхностного слоя воздуха над сушей и океаном».
8
Слово синоптический происходит от греческих syn – вместе, и optomai – вижу. Синоптическая метеорология основана на одновременном наблюдении параметров погоды в разных местах. Эти данные наносятся на синоптические карты и служат основой для прогнозирования погоды.
9
Согласно закону Стефана – Больцмана мощность теплового излучения (во всей области спектра) пропорциональна четвертой степени температуры. Это соотношение позволяет рассчитать температуру, зная поток теплового излучения. Теория теплового излучения стала одним из важнейших достижений физики конца XIX в. и в итоге привела к рождению квантовой механики.
10
Содержание водяного пара быстро меняется и сильно различается от места к месту. Поэтому, когда говорят о газовом составе воздуха, обычно имеется в виду сухой воздух.
11
In situ – на месте (лат.).
12
От лат. albus – белый. Величина альбедо меняется от 0 до 1. Среднее планетарное альбедо Земли около 0,3. Это значит, что около 30 % излучения отражается Землей обратно в космическое пространство (см. рис. 1.4).
13
В англоязычной литературе используется термин forcing, который без перевода все чаще используется и в отечественной литературе. Форсинг представляет собой разность между энергией, приходящей от Солнца, и рассеиваемой Землей в пространство.
14
Перевод М. Е. Абкиной.
15
От англ. up – вверх, и well – колодец.

