
Социальная психология знания
Проблема обусловленности экономических достижений человеческими способностями и умениями исследуется с двух сторон: экономистами и психологами. Экономисты Чикагской школы Т. Шульц и Г. Беккер вывели на передний план понятие человеческого капитала (Becker, 1964; Schultz, 1968). Шульц обратился к этому понятию в контексте проблемы слаборазвитых стран, улучшение благосостояния которых, по его мнению, зависит не столько от земли, техники или даже усилий, сколько от знаний, умений и способностей. Способности он делил на врожденные и приобретенные, а приобретенные ценные качества, которые могут быть усилены соответствующими вложениями, обозначил как человеческий капитал. В понимаемый таким образом человеческий капитал можно инвестировать время, силы, деньги, что впоследствии приносит отдачу в виде возросших доходов. Отсюда возникает возможность работы с этим понятием в духе принципов максимизации полезности: вложения средств в образование, здравоохранение, миграцию и другие виды деятельности производятся на рациональной основе – ради получения доходов в будущем.
Исследования человеческого капитала, за которые Шульц и Беккер были удостоены Нобелевских премий, сыграли существенную роль тем, что впервые привлекли внимание к экономике сфер жизни, где происходят вложения в человека: образования, здравоохранения, семьи. Тем не менее теоретический потенциал понятия человеческого капитала не исчерпывается теми возможностями, которые реализуются с помощью идеи максимизации полезности. Сила этого понятия в том, что оно фиксирует неоднородность человеческого труда в связи с разнообразием людей, участвующих в производственном процессе. Разнообразие людей и неоднородность их труда сказываются на результатах деятельности. Отсюда возникает много интересных вопросов о том, как эти различия влияют на оплату труда, на экономические достижения фирм, регионов и стран; возникают ли они из природных способностей или же семейной или образовательной среды и т. д. В этом плане были предложены различные идеи. Так, образование рассматривалось как передаточное звено от природных способностей к профессиональному успеху и доходу (П. Тобмен, Р. Хернстайн) и даже как маркер пригодности человека к профессиональной деятельности, за который надо платить, причем способный платит меньше, чем неспособный (П. Уилс).
По сравнению с экономистами козырь психологов в отношении проблемы человеческого капитала – возможность эмпирически оценивать когнитивные способности людей и на этой основе исследовать их генетическую и эпигенетическую обусловленность, роль семейной и образовательной среды в их развитии, соотносить их с достижениями в образовании и профессиональной деятельности и многое другое. Р. Линн, инициировавший работы по изучению связи интеллекта с различными социально-экономическими переменными, убедительно продемонстрировал, что хотя понятие интеллекта уходит корнями в психологию и даже биологию, его «крона» проникает в социально-экономическую сферу.
Линн начинал с данных, касающихся связи экономического развития регионов различных стран с интеллектом их населения. На примере США впервые было показано, что средний интеллект регионов (штатов) коррелирует с подушевым доходом (Davenport, Remmers, 1950). Линн получил аналогичные данные и для различных регионов западноевропейских стран. Корреляции составили r = 0,73 для 13 областей Великобритании, r = 0,61 для 90 департаментов Франции и r = 0,65 для 48 районов Испании (Lynn, 1979, 1980, 1981).
В 2002 г. Линн и финский политолог Т. Ванханен выпустили книгу «Коэффициент интеллекта и благосостояние наций», в которой утверждалось, что интеллект населения стран является существенным фактором, оказывающим влияние на состояние их экономик (Lynn, Vanhanen, 2002). Авторы составили список среднего интеллекта для 81 страны мира на основании опубликованных данных исследований интеллекта. Они обнаружили высокую корреляцию посчитанного ими национального интеллекта как с доходом на душу населения в этих странах (корреляция составила примерно 0,7), так и с экономическим ростом в периоды 1950–1990 и 1976–1998 гг. (корреляция 0,6–0,65). Эти корреляции лишь незначительно уменьшались, если из списка, например, выводились африканские страны.
Важный, но пока не объясненный результат Линна и Ванханена заключается в том, что связь национального интеллекта с подушевым доходом нелинейна. Она хорошо аппроксимируется квадратичной зависимостью. При этом среднее отклонение от регрессионной зависимости для стран примерно пропорционально среднему интеллекту в стране.
Отсутствие понятного объяснения для столь выразительных данных подчеркивает недостаточную теоретичность этих работ на сегодняшний день. В целом хотя экономический и психологический подходы позволили высветить многие существенные аспекты проблемы, они тем не менее оставляют серьезные лакуны. Например, не проработан вопрос о том, почему в одних странах человеческий потенциал задействован в полной мере, а в других остается маловостребованным. Из данных Линна и Ванханена вытекает, что в странах с высоким интеллектом разброс экономических достижений намного больше, чем в странах с низким интеллектом. Это наводит на размышления о механизмах, которые позволяют человеческому капиталу работать в полной мере или, напротив, не позволяют этого делать. Этот вопрос не может не быть существенным для России, где социально-экономические достижения не соответствуют величине человеческого капитала.
Модели экономического роста предполагают, кроме человеческого капитала, различные условия, в том числе – финансовые и институциональные. Эти условия как бы «запускают» или наоборот «выключают» человеческий труд, который в конечном счете и производит новый продукт. Однако в контексте человеческого капитала важно, какие механизмы позволяют включать именно высококвалифицированный труд. Факт большого разброса показателей высокоинтеллектуальных стран заставляет подозревать, что механизмы востребованности высококвалифицированного труда, а значит – человеческого капитала, отличаются от механизмов востребованности низкоквалифицированного труда.
С понятием человеческого капитала в науку вошло признание индивидуальных различий в возможностях людей, были описаны условия их возрастания, показана их роль в экономическом росте, созданы средства эмпирической оценки и многое другое. Однако до сих пор не существует ясной теории механизмов «востребования» человеческих способностей экономикой. Между тем именно актуализация человеческих ресурсов является конечным основанием экономического роста, для которого инвестиции, социально-экономические институты и пр. всего лишь создают условия.
В настоящее время теоретическое осмысление проблем человеческого капитала основывается на недифференцированной и редко рефлексируемой ввиду ее очевидности предпосылке, что чем способнее, работоспособнее, образованнее человек, тем лучший результат даст его деятельность. Как статистически действующая закономерность это справедливо, однако столь абстрактный ответ не может прояснить, почему способные и образованные люди в определенных странах и в определенные исторические моменты не могут двигать экономику вперед так, как этого можно было бы ожидать, исходя из их образования и талантов.
Чтобы глубже понять эти механизмы, необходимо ввести в сферу научного рассмотрения промежуточное звено, процессы, которые лежат между человеческими способностями и экономическими достижениями. В качестве этого промежуточного звена мы предлагаем рассматривать понятие решения когнитивных задач. Создание товаров и услуг предполагает решение ряда задач, относящихся в первую очередь к их проектированию, изготовлению или организации производства. С одной стороны, успешность решения когнитивных задач зависит от интеллекта и компетенций людей. С другой – успешность решения отдельных задач складывается в социально-экономические достижения общества. То, каким образом задачи решены, определяет качество и количество произведенных товаров и услуг. Таким образом, именно решение задач оказывается промежуточным звеном между человеческими способностями и экономической успешностью.
Однако еще важнее то обстоятельство, что понятие решения задач позволяет моделировать, каким образом общество, выбирая для решения те или иные задачи, создает или не создает условия для полноценной реализации человеческого капитала. Совокупность человеческих способностей и компетенций, которыми располагает общество, может быть применена к решению различных задач. При данном человеческом капитале выбор разных задач приводит к разному результату в стоимостном выражении.
Для данной совокупности способностей и компетенций может существовать оптимальный набор задач, который позволяет максимизировать результаты труда людей, обладающих этими способностями и компетенциями[2]. В том случае, если общество ставит перед людьми подходящий набор задач, оно достигает хороших экономических результатов. Микроскоп не полезнее молотка, если задача заключается в забивании гвоздей. Для того чтобы извлечь преимущество из владения микроскопом, следует заниматься решением тех задач, для которых он необходим. Экономическое развитие, с этой точки зрения, определяется не человеческим капиталом самим по себе, а тем, в какой степени для решения выбираются такие задачи, которые востребуют когнитивный потенциал общества.
Высказанные выше общие положения необходимо развернуть, конкретизируя основные понятия.
Компетенции людей и результаты решения экономических задач
Ключевое предположение заключается в том, что при решении различных задач компетентность людей проявляется в результатах труда в разной степени. Следует различить по крайней мере два предельных типа задач. Задачи порогового типа предполагают некоторый минимальный порог компетенций, благодаря которому их решение становится возможным. Например, в первом приближении привинчивание гайки на конвейере может привести к двум вариантам результата – удовлетворительному и неудовлетворительному. Если работник завинчивает гайку удовлетворительным образом, дальнейшее повышение его компетенций уже не приводит к улучшению результата и потребительских качеств товара.
Работа нотариуса, например, по оформлению доверенности или завещания, конечно, предполагает значительно более высокий уровень квалификации, чем завинчивание гаек. Однако по достижении уровня, который позволит безошибочно оформить документ, дальнейшее его повышение не ведет к улучшению результатов труда.
Таким образом, обе задачи предполагают минимальный порог компетенций, который позволяет обеспечить удовлетворительное решение, причем в некоторых случаях требуется более высокая компетентность, чем в других.
Задачам порогового типа противостоят задачи открытого типа, в которых продукты труда у разных работников существенно варьируют по качеству. Например, работа маляра может уже существенно различаться по степени равномерности нанесения краски. Но есть профессии, где индивидуальность играет решающую роль и не существует верхнего предела для совершенства получаемого продукта. Футболист, автомобильный дизайнер, ученый или поэт имеют результатом своей деятельности продукт, который до начала деятельности определен только в общих чертах и свойства которого всегда зависят от его автора. Например, при заказе проекта здания архитектурной мастерской оговариваются лишь некоторые самые общие характеристики здания, но достоинства созданного проекта определяются талантом и трудом архитекторов и могут достичь высот совершенства вплоть до лучших образцов Гауди или Мельникова.
Таким образом, субъекты экономической деятельности располагают выбором из множества задач, успешность выполнения которых разным образом связана с компетенциями людей. Эти различия и делают выбор задач важным экономическим фактором.
Компетенции и их формирование
Прежде всего следует оговорить, что слово «компетенция» здесь используется в очень широком смысле. Под компетенцией мы понимаем все те способности, знания, умения субъектов, т. е. совокупность их внутренних возможностей, которые позволяют им решать задачи. В этом широком смысле слова компетенция – это условие как забивания гвоздя, так и создания поэтического или музыкального шедевра.
Решение реальных задач требует от людей различных качеств, в том числе, например, таких как сила и выносливость. Но все же наиболее многочисленные задачи в экономике имеют когнитивный характер, т. е. основаны на переработке информации субъектами. Другими словами, основные задачи связаны с созданием идеальных моделей различного рода объектов. Действия по материальному воплощению этих моделей при этом, конечно, тоже сохраняют свою роль. В некоторых случаях эта роль является решающей, как, например, в балете или футболе. В других случаях она может быть вообще полностью передана техническим устройствам (станки с числовым программным управлением). Однако же во всех случаях работа с идеальными моделями оказывается центральной в современной жизни, поэтому особую роль приобретают когнитивные способности, или интеллект.
Задачи в современной экономике решаются не при помощи интеллекта как такового, а при помощи специфических компетенций. Высокий интеллект сам по себе недостаточен для решения специальных задач, например, в инженерии, управлении финансами или программировании. Для этого нужны специфические компетенции. В то же время, как показали многочисленные психологические исследования, компетенции формируются на основе интеллекта как психологического свойства, имеющего частично генетическую, а частично средовую природу. Высокие компетенции ученого, инженера, писателя и т. д. могут сложиться только у человека, обладающего достаточными для этого когнитивными способностями.
Компетенции приобретаются в образовании в широком смысле этого слова, однако природные способности человека помогают ему пройти более или менее длинный путь образования и влияют на конечный уровень компетенций. Приобретение компетенций происходит главным образом через решение задач. Решая задачи, субъекты овладевают схемами и стратегиями, необходимыми для решения также и других задач, входящих в тот же класс. Таким образом, субъекты овладевают методами решения целых классов сходных задач. Так, школьник, решая некоторые арифметические задачи, усваивает методы решения других задач, а ученик токаря, вытачивая деталь, приобретает необходимые навыки для вытачивания других деталей.
Человечество постоянно производит новые компетенции, которые образуются в процессе решения ранее неизведанных задач. Решение принципиально новой задачи открывает новые возможности в двух направлениях. Во-первых, оно позволяет решать многоступенчатые задачи, где оно выступает одним из элементов. Например, решение задач по созданию компактных и мощных электроаккумуляторов открывает новые возможности по разработке электромобилей, электронных девайсов и т. д. Создание дифференциального исчисления открыло путь для развития других математических областей, таких, например, как функциональный анализ. Во-вторых, решение задач создает методы, которые позволяют решать другие задачи того же класса. Например, открытие новых подходов в живописи Клодом Моне и Пьером Огюстом Ренуаром легло в основу работы многих импрессионистов.
Области решения принципиально новых задач могут далеко отстоять от областей непосредственного потребления. Чистый пример этого дает фундаментальная наука, где между открытием и его практическим внедрением могут проходить десятилетия, если не столетия. Однако аналогичное распределение функций можно наблюдать и в других областях, например, в искусстве: вспомним высказывание В. Маяковского о В. Хлебникове: «Поэт не для потребителя, поэт для производителя».
Вновь возникшие способы решения задач часто публикуются и становятся общедоступными, как, например, в фундаментальной науке. В некоторых случаях, однако, они составляют тайну, например, корпоративную, и соответствующие компетенции, осознаваемые как коммерческая или иная ценность, передаются только вместе с принадлежностью к определенной социальной группе. Накапливаемые таким образом компетенции составляют специфический капитал.
Разные группы задач требуют для своего решения различных компетенций. Однако существует одно обстоятельство, позволяющее соизмерять компетенции – частота их встречаемости. Компетенции в сфере забивания гвоздей распространены очень широко, компетенции в сфере заверения нотариальных документов – существенно реже, а компетенцией играть в футбол на уровне Лионеля Месси или петь, как Чечилия Бартоли, возможно, кроме этих людей, никто из живущих в настоящее время на Земле не владеет. Логично предположить, что редкость компетенции определенного уровня может иметь существенные экономические последствия, в том числе служить основой закономерностей типа тех, что описаны Линном.
Механизмы выбора и постановки экономических задач
Выбор и постановка задач для решения – функция предпринимателей в широком смысле слова. Именно предприниматели ставят задачи и привлекают людей с теми или иными компетенциями для их решения. Слово «предприниматель» здесь употребляется для обозначения людей, которые выбирают экономические задачи и привлекают субъектов к их решению. В этом плане такую функцию выполняют не только бизнес-предприниматели, но и, например, ученые, принимающие решение заниматься той или иной областью науки, а также топ-менеджеры и т. д.
Товар или услуга, которые усовершенствованы решением задач на более высоком уровне, могут обладать лучшими потребительскими качествами и, соответственно, дороже продаваться. Отсюда можно ожидать, что рыночные механизмы заставят предпринимателей ставить сложные задачи и больше платить за высококвалифицированный труд.
Однако в действительности работа этого механизма возможна только при выполнении ряда условий. Понятно, что к этим условиям относятся достаточные объемы инвестиций, функционирование необходимых социально-экономических институтов и т. д. Однако здесь необходимо подчеркнуть условия, связанные с деятельностью предпринимателей. Во-первых, предприниматель должен предвидеть результат в отношении как полезности товара, так и реализуемости его путем решения задач. На практике, безусловно, бизнесменам бывает трудно это предвидеть и они ошибаются. Особенно характерен в этом смысле высокорисковый венчурный бизнес, который, однако, имеет особое достоинство в плане открытия возможностей для решения принципиально новых видов задач. Во-вторых, механизмы рынка, стремление к максимизации прибыли могут рассматриваться предпринимателями в качестве механизма оптимизации набора задач для реализации когнитивного потенциала общества в той степени, в какой прибыль извлекается из человеческого труда, а не из, например, природной ренты.
В рамках перечисленных теоретических положений можно создать значительное количество конкретных моделей для описания различных сторон экономики. Ниже мы описываем разработанную нами модель, основная цель которой – оценить, в какой степени механизмы свободного рынка могут привести к формированию зависимостей между интеллектом и подушевым доходом, как их описал Р. Линн.
При создании модели был принят ряд упрощений.
Описание модели
Рассмотрим имитационную модель рынка рабочей силы и производимых товаров в стране с одним входным параметром – средним уровнем компетентности населения Ii в данной стране i и выходным параметром Di – ВВП на душу населения в стране i. Основной гипотезой, которую призвана проверить модель, является идея о том, что экономика сообщества тем успешнее, чем выше средняя компетентность вовлеченных в нее людей (Lynn, Vanhanen, 2002). Под уровнем компетентности подразумевается умение эффективно решать задачи в определенной профессиональной сфере. Способности индивида (в первую очередь интеллектуальные) положительно влияют на уровень его компетентности, т. е. более высокие интеллектуальные способности (IQ) благоприятствуют приобретению более высокого уровня компетентности (Ушаков, 1997, 2000). Предположим, что уровень компетентности каждого индивида может быть оценен одним числом. Из числа индивидов случайным образом выбирается множество предпринимателей (бизнесменов), каждый из которых располагает своим бюджетом. Предприниматель выбирает из множества задач (например, производство товара[3]) одну и подбирает работников из числа индивидов для ее осуществления. Результатам осуществления задачи (например, производства товара) приписывается два параметра: количество и качество. Количество определяет число произведенных товаров и зависит от бюджета бизнесмена, а качество определяется типом задачи и уровнями компетентности работников, нанятых для выполнения работ. Результаты осуществления задач предлагаются на рынке товаров всем индивидам, где и определяется их цена. Деньги, вырученные от продажи результатов осуществления задач – товаров – пополняют бюджет предпринимателей, и после этого процедура осуществления задач каждым из предпринимателей (производства) повторяется снова. Совокупная стоимость всех проданных товаров на текущем этапе определяет успешность экономики данной страны.
Предложенная имитационная модель рассматривает успешность экономики страны как успешность в решении задач, на которую напрямую влияет уровень компетентностей (способности) нанятых для этого работников. Полученные результаты имитационной модели сравниваются с данными по экономическим показателям стран (характер зависимости IQ/ВВП).
Общий алгоритм работы имитационной модели
Имитационная модель воспроизводит взаимодействие бизнесменов и работников в дискретные такты времени. На начальном этапе фиксируются множества бизнесменов Bi и работников Ei в стране i. Каждый бизнесмен j на временном такте t обладает бюджетом Kj(t), для каждого из работников k задана оценка его компетенции ek. Множество оценок компетентностей работников в стране i распределено согласно нормальному закону с математическим ожиданием Ii и одинаковой для всех стран дисперсией. Бизнесмен в момент времени t осуществляет задачу tki(t) (производство товаров), выбранную им случайно исходя из равномерного закона распределения на множестве всех возможных задач. Задача определяется набором коэффициентов (α1, α2, …, αkj(t), θ1, …, θmj(t)) необходимых для расчета уровня качества товара (подробнее см. ниже, в следующем разделе); здесь kj(t) – число работников, решающих подзадачи открытого типа в задаче, выбранной бизнесменом j в момент времени t; mj(t) – число работников, решающих подзадачи закрытого типа в задаче, выбранной бизнесменом j в момент времени t. Для осуществления задачи в каждый момент времени t бизнесмен i нанимает работников с соответствующими уровнями компетенций {ei,1, ei,2, …, ei,ki(t), ei,ki(t)+1, …,ei,ki(t)+mi(t)}. В случае, если на все рабочие позиции удается найти работников, производится товар с уровнем качества, рассчитываемым по формуле

[4]
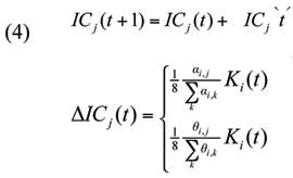
Если количество товара, проданного бизнесменом i, обозначить как Qi(t), а совокупный размер сбережений у потребителя j в момент времени t – ICj(t), то динамика параметров модели частично описывается совокупностью соотношений (1) – (4).

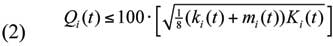
Количество проданного бизнесменом i товара ограничено количеством товара, который был произведен:

Здесь в правой части представлена производственная функция Кобба – Дугласа с коэффициентами эластичности по труду и по капиталу, равными ½. Номер самого малообеспеченного индивида из купивших товар i определяется как

Накопленные средства работника j изменяются согласно правилу

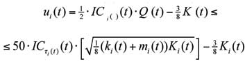
Прибыль бизнесмена i в момент t равна

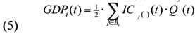
Совокупный ВВП страны i – GDPi(t) в момент времени t определяется суммарной стоимостью проданного товара и равен

Основной процесс выполнения алгоритма (рисунок 1) определяется последовательным повторением процедур найма бизнесменами работников для производства товаров (реализации выбранных бизнесменами задач), выплаты зарплаты работникам после выпуска товара в соответствии с ценностью их должности и продажи товаров на рынке. Деньги от продажи товаров используются бизнесменами для производства следующей партии. Каждый тип товара (реализованной задачи) характеризуется уровнем качества zi(t), зависимым от компетентности работников, выполнивших данную работу. ВВП на душу населения на каждом временном такте определяется как Di = GDPi/|Ei ∪ Bi| (суммарная стоимость проданного товара в стране i, разделенная на число индивидов в данной стране). Далее, поскольку величина |Ei ∪ Bi| остается постоянной для всех стран, то величины GDPi и Di всегда отличаются в фиксированное число раз. Значит, все результаты измерений для GDPi иллюстрируют соотношение значений Di в имитационной модели.

