
Физика без преград. Увлекательные научные факты, истории, эксперименты

Валерия Черепенчук
Физика без преград. Увлекательные научные факты, истории, эксперименты
© ИП Сирота, 2017
© Оформление. ООО «Издательство «Э», 2017
Важные физические открытия
№ 1
Из чего сделана Вселенная? Первые версии
Древнегреческие мыслители задавались вопросом о природе «первоначала»: из чего состоят все имеющиеся на земле предметы и вещества? Широкую известность приобрели теории Фалеса (624–547 гг. до н. э.), считавшего «первоначалом» воду. Он утверждал, что вода может «загустевать», образуя землю; испаряться, превращаясь в воздух, и так далее. Так рождались первые попытки научного объяснения мира.
В системе Демокрита (ок. 460 г. до н. э. – ок. 370 г. до н. э.) особое место заняло понятие «атом», то есть «неделимый». Так он именовал мельчайшую неделимую частицу вещества; все тела, по мнению Демокрита, – просто комбинации атомов, хаотично двигающихся в пространстве Вселенной и обладающих способностью соединяться, формируя материю. В своей основе эта идея была подтверждена спустя тысячелетия.
Аристотель (384 г. до н. э. – 322 г. до н. э.) ввел в научный оборот слово «физика» (от греческого «физис» – «природа»). Движение, по его мнению, вечно существует в мире и связывает воедино все сущее. А первопричиной этого движения является высшая сила – Бог. Познать природу, изучить физику – значит разобраться в причинах всего происходящего.

Происхождение Вселенной
Аристотель стоял на позициях геоцентризма, характерного для ученых Древней Греции, – считал, что Земля является центром мироздания. Многие выводы великого ученого (а в его книгах представлена практически вся система знаний того времени – логика, политика, физика, астрономия) впоследствии были опровергнуты, но это не умаляет его заслуг.
Аристотель ввел в научный оборот слово «физика» (от греческого – «природа»)
№ 2
Архимед и его ванна. Первый закон гидростатики
Легенда гласит, что однажды Сиракузский тиран Гиерон повелел Архимеду проверить работу придворного ювелира: владыка подозревал, что часть золота, отпущенная на изготовление венца, была заменена на более дешевый металл и осела в руках ушлого мастера. Архимеду предстояло для начала определить объем короны; в задумчивости он решил принять ванну. Она была наполнена до краев, и, залезши в воду, ученый часть ее расплескал по полу. Далее произошло то, что описано во множестве книг: Архимед выскочил из ванны и помчался по улицам, крича: «Эврика!» («Нашел!») А «нашел» рассеянный математик первый закон гидростатики. Он гласит: «Всякое тело при погружении в жидкость потеряет в весе столько, сколько весит вытесненная им жидкость». Или, в более современном варианте, «на тело, погруженное в жидкость или газ, действует выталкивающая сила, равная весу жидкости или газа в объеме погруженной части тела». Этот закон потом получил имя Архимеда… «Выталкивающая сила» – тоже. В виде формулы это выглядит так:
FA=ρgV,
где ρ – это плотность жидкости или газа, g – ускорение свободного падения (в среднем 9,8 м/с2), а V – объем тела.
Чем завершилась история с короной? Большинство сходится на том, что Архимед, погрузив ее в наполненный водой сосуд и замерив объем вылившейся воды, а потом повторив опыт с более легкими металлами, доказал: ювелир и в самом деле обманул Гиерона. О том, какова оказалась судьба нечистого на руку мастера и получил ли какую-либо награду Архимед, история умалчивает.
Всякое тело при погружении в жидкость теряет в весе столько, сколько весит вытесненная им жидкость
Архимед завещал нарисовать на своем надгробии шар, вписанный в цилиндр, чтобы потомки помнили: их объемы и поверхности соотносятся как 2/3.
№ 3
Дайте мне точку опоры… и зеркало. Наука и война
Еще до наступления нашей эры физика, объединившись с математическими методами исследования, сильно продвинулась вперед в разделах механики (изучение движения материальных тел) и оптики. Основные заслуги здесь принадлежат Евклиду (ок. 325–265 гг. до н. э.) и Архимеду. Последний, произнеся знаменитую фразу «Дайте мне точку опоры, и я переверну Землю!», заинтересовал своей самоуверенностью правителя Сиракуз. По приказу владыки на берег вытащили большой корабль и набили его трюм разнообразными грузами. Ученый же, соорудив систему блоков и рычагов, при помощи каната протащил громоздкую махину по берегу. Есть, правда, и другой вариант легенды: корабль никак не могли спустить на воду и лишь благодаря Архимеду справились с этой задачей.
В итоге Архимед формулирует закон равновесия сил на рычаге. (Рычаг – это твердое тело, которое может вращаться вокруг неподвижной опоры.) F1/F2 = l2/l1, при этом F1 и F2 – действующие на рычаг силы, а l2 и l1 – плечи этих сил. Рычаг находится в равновесии тогда, когда действующие на него силы обратно пропорциональны плечам сил. И если мы хотим меньшей силой уравновесить большую, нужно увеличить ее плечо.
По легенде, свои механизмы, способные поднимать и метать вдаль огромные валуны, Архимед применял во время осады Сиракуз римлянами, приводя в смятение врага. Древние историки описывают также удивительные машины, прозванные «когтями Архимеда». Судя по всему, внешне они напоминали подъемные краны и были предназначены для того, чтобы цепляться крюками за борта вражеских кораблей и переворачивать их.
Дайте мне точку опоры, и я сдвину землю!

Памятник Копернику в Торуне (Польша)
№ 4
Не сменить ли нам картину мира? Николай Коперник
В 1543 году в Нюрнберге увидела свет книга «О вращении небесных сфер», перевернувшая с ног на голову все представления об устройстве Вселенной. Ее автор – ученый Николай Коперник (1473–1543) заявлял: вовсе не Земля является центром Вселенной (как считалось на протяжении полутора тысяч лет), а Солнце, вокруг которого обращаются планеты. Его уверенность опиралась на десятилетия наблюдений, измерений и расчетов.
Труд Коперника нанес удар по авторитету церкви, поддерживавшей старую геоцентрическую систему. Выход книги «О вращении небесных сфер» считается началом научной революции, глобального пересмотра представлений о законах природы.
Надпись на памятнике Копернику в польском городе Торунь гласит: «Сдвинувший Землю, остановивший Солнце и небеса».
№ 5
И тут родился эксперимент! Идеи Николая Кузанского
Родоначальником эксперимента в физике считается философ, ученый, богослов и политик Николай Кузанский (1401–1464). Он ставил на первое место такие методы исследования, как измерение и взвешивание. Так, ученый взвешивал кусок дерева, затем сжигал его и, взвесив золу, выяснял, каковы были в дереве доли «первоэлементов».
Николай Кузанский, следом за античными авторами, считал, что зола аналогична «первовеществу» земли. Вычитая из первоначального веса деревянного бруска вес золы, ученый утверждал, что разница будет равна весу «испарившейся» воды. Наивно? Для нас – да. Но первые эксперименты, без которых ныне невозможно представить науку, были именно такими.
№ 6
Спор через века: Аристотель и Галилей
Итальянский физик и астроном Галилео Галилей (1564–1642) был известен как неутомимый пропагандист гелиоцентрической системы Коперника. К немалому списку его собственных заслуг относятся первое наблюдение в телескоп планеты Сатурн, открытие спутников Юпитера, гор на Луне и пятен на Солнце, изобретение термометра, исследование периодов колебания маятников.
В отличие от Аристотеля, утверждавшего, что тяжелые тела падают быстрее, чем легкие, Галилей считал, что при отсутствии сопротивления воздуха тела будут падать с одинаковым ускорением независимо от их массы. Опровергал он и другой тезис древнегреческого мыслителя – о том, что движение происходит, лишь пока имеется сила, «побуждающая» его. По мнению Галилея, в отсутствие каких-либо внешних сил тело будет либо покоиться, либо равномерно двигаться. Это заявление вошло в физическую науку как закон инерции.

Фронтиспис «Диалога о двух главнейших системах мира», 1635
Также, утверждал Галилей, в условиях свободного падения тела (когда на него действует только сила тяжести) ускорение будет постоянным, скорость будет нарастать пропорционально времени. Согласно легенде, Галилей сбрасывал с вершины Пизанской башни предметы разной массы, замеряя скорость их падения. На самом же деле он пользовался более компактным инструментарием наподобие деревянных желобов и скатывавшихся по ним шаров. Галилей обратил внимание, что скорость шарика, катящегося по наклонной плоскости, никак не зависит от угла наклона, но напрямую зависит от высоты, с которой шарик покатился. Масса же его роли не играет.
Бог не менее открывается нам в явлениях природы, нежели в речах Священного писания. – Галилео Галилей
№ 7
Яблоко упало. А дальше? Закон всемирного тяготения
История о том, как яблоко, упавшее на голову великому ученому Исааку Ньютону (1643–1727), спровоцировало очередное открытие, известна многим. Но в чем суть этого открытия?
Задолго до Ньютона ученый мир задавался вопросами: почему планеты, движущиеся по своим орбитам, строго соблюдают порядок и не разлетаются хаотично в разные стороны? Почему предметы, подброшенные вверх, неизменно падают на землю? Чем обусловлены эти закономерности?
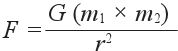
И еще в начале XVI столетия (например, Коперником) были высказаны предположения о существовании некоей божественной силы, от которой зависят форма планет и их взаимное расположение. Ньютон не просто обосновывает идею о том, что все небесные тела обладают способностью притяжения, но и сводит все теории к логичной и доступной формуле. Итак, закон всемирного тяготения Ньютона звучит следующим образом: «Сила гравитационного притяжения между двумя материальными точками массы m1 и m2, разделенными расстоянием r, пропорциональна обеим массам и обратно пропорциональна квадрату расстояния между ними»:

При этом G – так называемая гравитационная постоянная, равная 6,67384(80)10–11 м3/(кг с2).
Таким образом, зная массы тел и расстояние между ними, мы можем вычислить действующую на них силу притяжения! Но, конечно, более или менее заметна она будет лишь в отношении тел большой массы.
Гений – это терпение мысли, сосредоточенной в известном направлении. – Исаак Ньютон
Гравитация определяет высоту возвышенностей на планете. Поэтому земные горы не могут быть выше 15 километров.
№ 8
«Давящая атмосфера». Торричелли и его изыскания
В древности Аристотель утверждал: воздух не имеет веса. Но в XVII столетии ученик Галилея Эванджелиста Торричелли (1608–1647) доказал обратное!
Ему не давал покоя вопрос: почему в механизмах, оснащенных насосами, вода поднимается лишь до определенной высоты?
В 1644 году был поставлен опыт, вошедший во все учебники физики: в стеклянную трубочку длиной около метра была налита ртуть. Исследователь, «заткнув» пальцем открытый конец трубки, опустил его в наполненный ртутью сосуд и открыл отверстие. Ничто не препятствовало веществу вытекать из трубки, но уровень ртутного столба застыл на отметке 760 миллиметров. Стало очевидно, что окружающий нас воздух имеет вес: он давит на поверхность жидкости в сосуде и мешает выливаться той ее части, которая находится в трубке.
№ 9
Рождение света: версии от Ньютона до ХХ века
Что такое свет? Как и почему он возникает? – эти вопросы волновали еще античных исследователей. Но систематическое изучение природы света началось только в XVII столетии.
Исаак Ньютон выступил с так называемой корпускулярной теорией света, заявив, что свет состоит из крошечных частичек, которые испускает светящееся тело. Когда эти частички (или корпускулы) попадают в наш глаз, это заставляет нас увидеть источник света. Также, по мнению Ньютона, корпускулы имеют разные размеры. И в зависимости от того, какие корпускулы – большие или помельче – попали в глаз, мы увидим тот или иной цвет.
Почти одновременно с работами Ньютона вышел «Трактат о свете» голландского физика Христиана Гюйгенса (1629–1695), в котором утверждалось: свет – волновое явление. В окружающем «эфире» распространяются упругие импульсы: свет есть подобие электромагнитной волны.

Корпускулы или волны?
Об электромагнитной природе света писал Дж. Максвелл (1831–1879), а Х. Лоренц (1853–1928) утверждал, что электроны, являющиеся составной частью атомов, могут как поглощать, так и испускать свет. В самом начале ХХ века М. Планк (1858–1947) и А. Эйнштейн (1879–1955) обосновали квантовую теорию, согласно которой вещество излучает свет порциями, или квантами. В сегодняшней науке победила версия, согласно которой корпускулярная и волновая теории вполне могут быть совмещены.
А скорость света впервые измерил датский астроном Оле Рёмер (1644–1710): по его расчетам, она составляла около 220 000 км/с (современные данные несколько иные – около 300 000 км/с.)
Основная философская ценность физики в том, что она дает мозгу нечто определенное, на что можно положиться. – Дж. Максвелл
№ 10
«Круговорот» энергии: законы термодинамики
В прошлом «живой силой» именовали результат действия, производимого движущимся телом. Готфрид Лейбниц (1646–1716) определял эту величину как произведение массы тела на квадрат его скорости. Британский физик Томас Юнг (1773–1829) предложил вместо «силы» использовать термин «энергия» (от лат. «деятельность», «мощь»).
В XIX веке окончательно сложились два понятия: энергия кинетическая и энергия потенциальная. В первом случае энергия возникает при движении – например, текущая вода вертит жернова и превращает зерно в муку, работающее сверло станка заставляет его детали нагреваться. Во втором же речь идет о той энергии, которой обладают предметы в состоянии покоя: скажем, подвешенный на тросе груз, будучи сброшен на землю, может сделать в ней углубление.
В середине XIX века ученый Джеймс Джоуль (1818–1889), ставя опыты по получению тепла в ходе механической работы, сделал вывод: один вид энергии может переходить в другой. Так появилась термодинамика – раздел физики, изучающий возможности и способы передачи и превращения энергии. И первый ее закон (он же – закон сохранения энергии) гласит: энергия не возникает из ниоткуда и не уходит в никуда! В замкнутой системе ее количество остается постоянным. Второй закон, сформулированный Рудольфом Клаузиусом (1822–1888), констатирует: при любом энергетическом обмене или преобразовании (например, при кипячении воды) часть энергии будет потеряна.
Действительные богатства человечества – это искусства и науки. Это то, что отличает больше всего людей от животных и цивилизованные народы от варваров. – Готфрид Лейбниц

Механический калориметр Джоуля
С помощью этого прибора была определена зависимость между работой и теплотой
№ 11
«Янтарность» – это интересно. Явление электричества
Еще в VII веке до нашей эры греческий философ и ученый Фалес Милетский обратил внимание, что если потереть клочком шерсти кусок янтаря (его греки называли «электроном»), то он начнет притягивать к себе шерстинки и прочую мелочь. Но тогда ученые не пошли дальше констатации факта.
Во второй половине XVI столетия англичанин Уильям Гильберт (1544–1603) в своей книге «О магните, магнитных телах и большом магните – Земле» использовал термин «электричество» – то есть, дословно, «янтарность». Электрическими Гильберт именовал тела, которые подобно янтарю после натирания приобретали способность притягивать мелкие предметы. Также он предположил, что Земля по своей сути представляет большой магнит. Так была заложена основа для исследования неограниченных возможностей электричества.
В первой трети XVIII века английский ученый Стивен Грей (1666–1736) установил, что некоторые материалы способны не только «электризоваться», но и передавать полученный заряд на довольно большое расстояние. Так было открыто явление проводимости. Кроме того, Грей обратил внимание, что некоторые вещества этой способностью не обладают – таким образом, в науку были введены понятия проводника и изолятора.
Ярким проявлением электричества в природе служат молнии, электрическая природа которых была установлена в XVIII веке.
Французский естествоиспытатель Шарль Франсуа Дюфе (1698–1739) заметил, что иногда наэлектризованные предметы притягиваются друг к другу, а иногда – отталкиваются: так возникло представление о положительных и отрицательных зарядах.
Блаженство тела – в здоровье, блаженство ума – в знании. – Фалес Милетский
№ 12
Банки и столбы: сохранить электрический заряд!
В середине XVIII столетия исследования электричества шли во многих странах. Голландец Питер ван Мушенбрук (1692–1761) создал «лейденскую банку», способную накапливать электрический заряд, порождаемый трением. В России опыты с атмосферным электричеством проводили Михаил Васильевич Ломоносов (1711–1765) и Георг Рихман (1711–1753) – погибший от удара молнии при попытке «поймать» ее.
В 1800 году итальянский ученый Алессандро Вольта (1745–1827) предположил, что вещества могут являться не только проводниками, но и источниками тока, и создал первый в мире генератор: кружочки, изготовленные из двух разных металлов, складывались стопкой и переслаивались тканью или бумагой, пропитанными соленой водой либо солевым раствором. Если исследователь касался проволоки, соединявшей два конца «вольтова столба», он ощущал чувствительное покалывание. То есть химическая энергия превращалась в электрическую!

«Вольтов столб»

Алессандро Вольта
В начале XIX столетия появились первые исследования, заявившие о связи электричества и магнетизма: например, стрелка компаса отклонялась, когда рядом с ней замыкали цепь «вольтова столба». В 1820 году французский ученый Андре-Мари Ампер (1775–1836) доказал: интенсивность магнитного действия связана с интенсивностью электричества, и ввел понятия «электрический ток» и «сила тока». Суть электрического тока в том, что по проводнику от источника в сторону «потребителя тока» движется поток неких заряженных частиц.
Единица этой силы в честь исследователя была названа ампером.
Единица измерения электрического напряжения именуется «Вольт» – в знак признания заслуг Алессандро Вольты
№ 13
Поле, электромагнитное поле… Что это такое?
На протяжении многих лет исследователи наблюдали в лабораториях возникновение магнитного поля вследствие «работы» электричества. Но можно ли пойти по другому пути – получить электричество путем создания магнитного поля?
В 1831 году английский ученый Майкл Фарадей (1791–1867) доказал, что это возможно. Расположив проволоку между полюсами магнита, ученый наблюдал, как при приближении проволоки к полюсам в ней возникает ток. Он стал основоположником учения об электромагнитном поле: суть его в том, что магнетизм и электричество не только способны порождать друг друга, но и в целом представляют собой единую сущность, по-разному проявляющуюся в разных условиях. Чуть позже земляк Фарадея Джеймс Клерк Максвелл придал этим теориям завершенность, подробно описав большинство процессов в виде уравнений и формул.

Электромагнитное поле
№ 14
В нем есть изюминка! Джон Томсон о строении атома
Как уже говорилось выше, понятие «атом» существовало еще в Древней Греции, но идеи Демокрита, введшего в оборот этот термин, тогда не получили развития.
Михаил Васильевич Ломоносов писал, что любое вещество состоит из корпускул (так он именовал молекулы) и элементов (то есть атомов). Он также высказал предположение о том, что частицы находятся в «коловратном», то есть вращательном, движении.
В конце XIX века английский физик Джозеф Джон Томсон (1856–1940) заявил: атом не является наименьшей частицей вещества, как считалось ранее. Он выделил в составе атома еще более мелкие составляющие, которые получили название электронов. По мнению Томсона, отрицательно заряженные электроны располагаются в атоме, обладающем положительным зарядом, примерно так же, как изюминки в кексе.

Электроны
№ 15
В поисках ядер. Открытие Эрнеста Резерфорда
Эрнеста Резерфорда (1871–1937) именуют «отцом ядерной физики». Однажды он провел показательный опыт: направил поток радиоактивных альфа-частиц на лист золотой фольги. Результат оказался неожиданным: некоторые частицы отскакивали от листа; это явно свидетельствовало, что атомы не столь однородны, как ученые думали ранее.
Теория «кекса с изюмом» потерпела поражение: стало понятно, что внутри атома есть не только равномерно распределенные в нем электроны-«изюминки», но и некое плотное вещество – Резерфорд назвал его ядром. Ядро несет положительный заряд, тогда как электроны заряжены отрицательно. Они вращаются вокруг ядра, как планеты вокруг Солнца. Поэтому новая модель атома была названа «планетарной». На этом исследования атома не завершились: они вышли на новый уровень.

«Планетарная» модель атома
№ 16
Все относительно. Теория Альберта Эйнштейна
В начале ХХ столетия благодаря Альберту Эйнштейну (1879–1955) произошла очередная революция в науке: устоявшаяся картина мира, в которой время во всей Вселенной текло одинаково и пространство также измерялось по общим законам, претерпела значительные изменения.
Эйнштейн заявил: все относительно, пространство и время неразрывно связаны со скоростью. Чем быстрее вы будете двигаться, тем медленнее будет для вас тянуться время! Таким образом, космонавт, путешествовавший во Вселенной со скоростью, приближающейся к скорости света, по возвращении на землю будет моложе, чем его брат-близнец. Почему именно скорость света стала в теории относительности «точкой отсчета»? Установлено, что она одинакова в любой системе координат.
Получается, что если нам удастся достигнуть скорости, равной скорости света, то время для нас остановится совсем, а если превысить эту скорость, то оно повернет вспять! Насколько это реально?

E = mc2
Ответить на этот вопрос поможет самая известная в мире формула, также введенная в научный оборот Эйнштейном: E = mc2, где Е – энергия движущегося объекта, m – его масса, а с – скорость света в вакууме. То есть чем быстрее движется объект, тем тяжелее он будет. Соответственно, энергия Е, необходимая для того, чтобы обеспечить движение, тоже будет возрастать. При достижении скорости света масса станет бесконечной и потребуется столь же бесконечная энергия. Следовательно, двигаться со скоростью света может только сам свет, так как массы он не имеет.
Основы теории относительности были изложены в статье Эйнштейна «К электродинамике движущихся тел», вышедшей в 1905 году
Физика макромира
№ 17
Приливы, отливы… Что их вызывает?
И Солнце, и Луна воздействуют на все находящееся на Земле согласно ньютоновскому закону всемирного тяготения. Чем ближе к небесному телу участок земной поверхности, тем сильнее действует на нем сила притяжения. Соответственно, на этом участке вода как бы «стремится» к Солнцу либо Луне и начинается прилив. На той стороне нашей планеты, которая в это время максимально удалена, соответственно, в это время идет отлив.
«Солнечный» и «лунный» приливы могут совпадать или не совпадать (в зависимости от расположения Луны и Солнца): в случае совпадения прилив получается наиболее высоким. Как ни странно, Луна, несмотря на свои небольшие размеры, оказывает большее влияние, чем Солнце, – ведь она находится ближе к Земле!

